Home / Publications / 1,4-Unsubstituted 2-phosphorylated vinylacetylenes as valuable phosphorus-containing dipolarophiles

1,4-Unsubstituted 2-phosphorylated vinylacetylenes as valuable phosphorus-containing dipolarophiles

2
Share
Cite this
GOST
 | 
Cite this
GOST Copy
Brel V. K. 1,4-Unsubstituted 2-phosphorylated vinylacetylenes as valuable phosphorus-containing dipolarophiles // Mendeleev Communications. 2018. Vol. 28. No. 6. pp. 653-654.
GOST all authors (up to 50) Copy
Brel V. K. 1,4-Unsubstituted 2-phosphorylated vinylacetylenes as valuable phosphorus-containing dipolarophiles // Mendeleev Communications. 2018. Vol. 28. No. 6. pp. 653-654.
RIS
 | 
Cite this
RIS Copy
TY - JOUR
DO - 10.1016/j.mencom.2018.11.031
UR - https://mendcomm.colab.ws/publications/10.1016/j.mencom.2018.11.031
TI - 1,4-Unsubstituted 2-phosphorylated vinylacetylenes as valuable phosphorus-containing dipolarophiles
T2 - Mendeleev Communications
AU - Brel, Valery Kuzmich
PY - 2018
DA - 2018/11/01
PB - Mendeleev Communications
SP - 653-654
IS - 6
VL - 28
ER -
BibTex
 | 
Cite this
BibTex (up to 50 authors) Copy
@article{2018_Brel,
author = {Valery Kuzmich Brel},
title = {1,4-Unsubstituted 2-phosphorylated vinylacetylenes as valuable phosphorus-containing dipolarophiles},
journal = {Mendeleev Communications},
year = {2018},
volume = {28},
publisher = {Mendeleev Communications},
month = {Nov},
url = {https://mendcomm.colab.ws/publications/10.1016/j.mencom.2018.11.031},
number = {6},
pages = {653--654},
doi = {10.1016/j.mencom.2018.11.031}
}
MLA
Cite this
MLA Copy
Brel, Valery Kuzmich. “1,4-Unsubstituted 2-phosphorylated vinylacetylenes as valuable phosphorus-containing dipolarophiles.” Mendeleev Communications, vol. 28, no. 6, Nov. 2018, pp. 653-654. https://mendcomm.colab.ws/publications/10.1016/j.mencom.2018.11.031.

Abstract

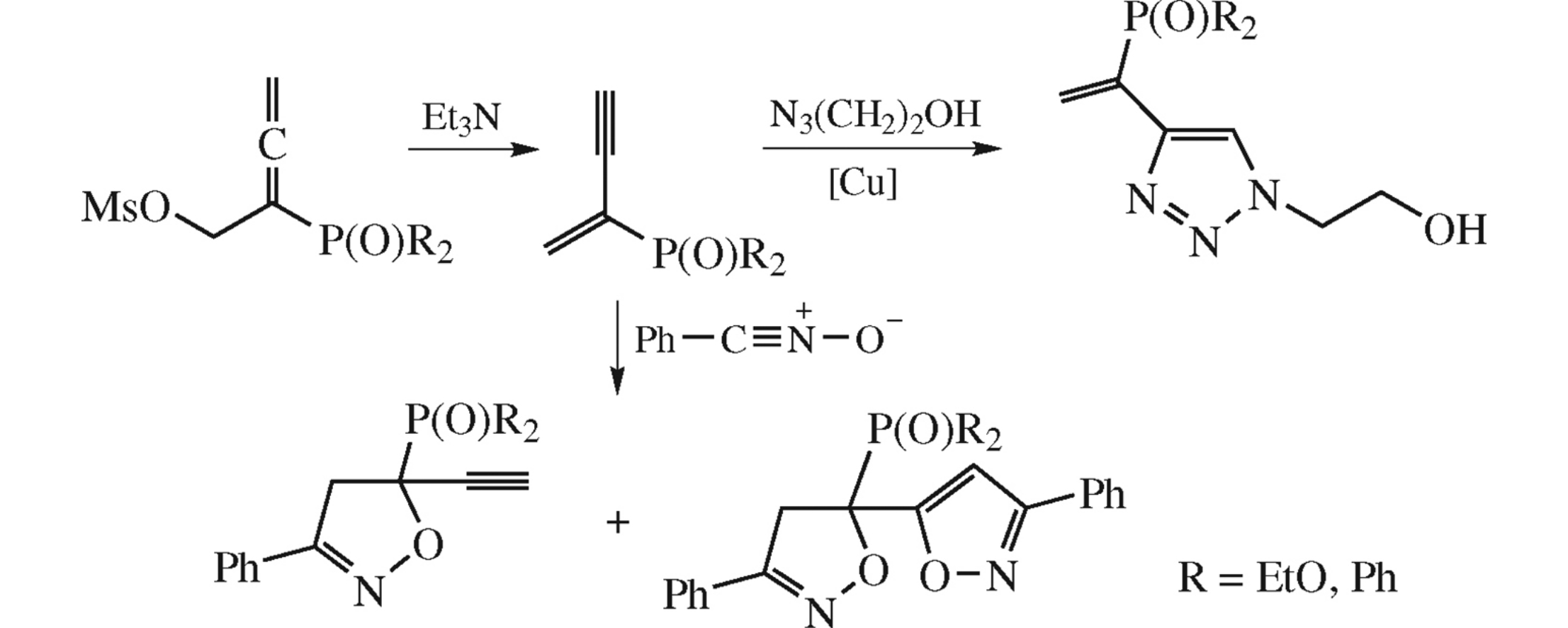
2-(Diethoxyphosphoryl)- and 2-(diphenylphosphoryl)but-2-en-3-ynes, accesible from 4-mesyloxy-3-phosphorylbuta-1,2-dienes, undergo [2+3] cycloaddition with benzonitrile N-oxide or azides to afford isoxazole or 1,2,3-triazole derivatives, respectively.

References

1.
Vinylphosphonates in Organic Synthesis
Minami T., Motoyoshiya J.
Synthesis, 1992
2.
Recent Synthesis and Transformation of Vinylphosphonates
Dembitsky V., Al Quntar A., Haj-Yehia A., Srebnik M.
Mini-Reviews in Organic Chemistry, 2005
3.
10.1016/j.mencom.2018.11.031_sbrefe0010c
Gaumont
2006
4.
8.
Ethynyl, 2-Propynyl, and 3-Butynyl C-Phosphonate Analogues of Nucleoside Di- and Triphosphates: Synthesis and Reactivity in CuAAC
10.
BF3·Et2O catalyzed intramolecular cyclization of diethyl 2-(dialkoxyphosphorylethynyl)-2-arylaminomalonates to 3-phosphonylated indoles
Egorova A.V., Viktorov N.B., Starova G.L., Svintsitskaya N.I., Garabadziu A.V., Dogadina A.V.
Tetrahedron Letters, 2017
11.
Synthesis of Tetrazole-Containing C-Phosphonoacetamidines
Svintsitskaya N., Dogadina A., Trifonov R.
Synlett, 2015
12.
Pd-Catalysed Suzuki coupling of α-bromoethenylphosphonates with organotrifluoroborates: a general protocol for the synthesis of terminal α-substituted vinylphosphonates
Zhang L., Fang Y., Jin X., Xu H., Li R., Wu H., Chen B., Zhu Y., Yang Y., Tian Z.
Organic and Biomolecular Chemistry, 2017
13.
α-Phosphonovinyl nonaflate: Their synthesis and cross-coupling reactions
Okauchi T., Yano T., Fukamachi T., Ichikawa J., Minami T.
Tetrahedron Letters, 1999
15.
Synthesis of 3-aryl-5-diethoxyphosphorylethyne-4,5-dihydroisoxazoles
16.
Synthesis and molecular structure of new acyclic analogues of nucleotides with a 1,2-alkadienic skeleton
Brel V.K., Belsky V.K., Stash A.I., Zavodnik V.E., Stang P.J.
Organic and Biomolecular Chemistry, 2003
18.
Asymmetric 1,3-dipolar cycloadditions of nitrile oxides using simple chiral auxiliaries
20.
10.1016/j.mencom.2018.11.031_bibe0035
Quilico
Rend. Ist. Lombardo Sci. Lettere, 1955