Home / Publications / Increase of polymeric chain conjugation length in UV irradiated monolayer of hydroxyalkadiynyl N-arylcarbamate derivative

Increase of polymeric chain conjugation length in UV irradiated monolayer of hydroxyalkadiynyl N-arylcarbamate derivative

Alexander Sergeevich Alekseev 1
Alexander Sergeevich Alekseev
Ivan Nikitovich Domnin 2
Ivan Nikitovich Domnin
Artem B Ivanov 1
Artem B Ivanov
Natalya Andreevna Arkharova 3
Natalya Andreevna Arkharova
Vera Vsevolodovna Klechkovskaya 3
Vera Vsevolodovna Klechkovskaya
Published 2018-11-01
CommunicationVolume 28, Issue 6, 635-637
4
Share
Cite this
GOST
 | 
Cite this
GOST Copy
Alekseev A. S. et al. Increase of polymeric chain conjugation length in UV irradiated monolayer of hydroxyalkadiynyl N-arylcarbamate derivative // Mendeleev Communications. 2018. Vol. 28. No. 6. pp. 635-637.
GOST all authors (up to 50) Copy
Alekseev A. S., Domnin I. N., Ivanov A. B., Arkharova N. A., Klechkovskaya V. V. Increase of polymeric chain conjugation length in UV irradiated monolayer of hydroxyalkadiynyl N-arylcarbamate derivative // Mendeleev Communications. 2018. Vol. 28. No. 6. pp. 635-637.
RIS
 | 
Cite this
RIS Copy
TY - JOUR
DO - 10.1016/j.mencom.2018.11.024
UR - https://mendcomm.colab.ws/publications/10.1016/j.mencom.2018.11.024
TI - Increase of polymeric chain conjugation length in UV irradiated monolayer of hydroxyalkadiynyl N-arylcarbamate derivative
T2 - Mendeleev Communications
AU - Alekseev, Alexander Sergeevich
AU - Domnin, Ivan Nikitovich
AU - Ivanov, Artem B
AU - Arkharova, Natalya Andreevna
AU - Klechkovskaya, Vera Vsevolodovna
PY - 2018
DA - 2018/11/01
PB - Mendeleev Communications
SP - 635-637
IS - 6
VL - 28
ER -
BibTex
 | 
Cite this
BibTex (up to 50 authors) Copy
@article{2018_Alekseev,
author = {Alexander Sergeevich Alekseev and Ivan Nikitovich Domnin and Artem B Ivanov and Natalya Andreevna Arkharova and Vera Vsevolodovna Klechkovskaya},
title = {Increase of polymeric chain conjugation length in UV irradiated monolayer of hydroxyalkadiynyl N-arylcarbamate derivative},
journal = {Mendeleev Communications},
year = {2018},
volume = {28},
publisher = {Mendeleev Communications},
month = {Nov},
url = {https://mendcomm.colab.ws/publications/10.1016/j.mencom.2018.11.024},
number = {6},
pages = {635--637},
doi = {10.1016/j.mencom.2018.11.024}
}
MLA
Cite this
MLA Copy
Alekseev, Alexander Sergeevich, et al. “Increase of polymeric chain conjugation length in UV irradiated monolayer of hydroxyalkadiynyl N-arylcarbamate derivative.” Mendeleev Communications, vol. 28, no. 6, Nov. 2018, pp. 635-637. https://mendcomm.colab.ws/publications/10.1016/j.mencom.2018.11.024.

Abstract

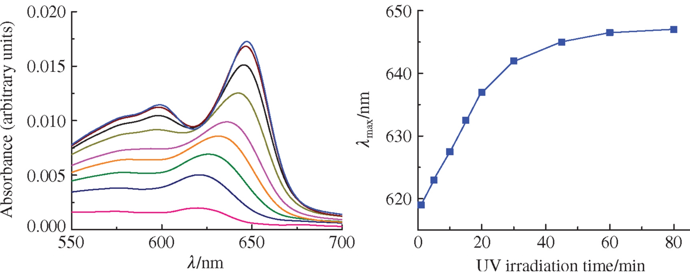
Photopolymerization of Langmuir–Schaefer monolayers of 12-hydroxy-7,9-dodecadiyn-1-yl N-(4-methoxyphenyl)carbamate molecules under long-term UV irradiation provided the new polymer material. The observed blue phase polymer absorption band shift (∼30nm) to the longer wavelengths during the sample UV irradiation corresponds to a continuous increase of the polymeric chain conjugation length. The morphology of mono-layers was determined by the scanning electron microscopy.

References

1.
10.1016/j.mencom.2018.11.024_bibe0010
Zuilhof
Supra-molecular Photosensitive and Electroactive Materials, 2001
3.
Polydiacetylenes. Synthesis, Structure and Electronic Properties, eds. D. Bloor and R. R. Chance, NATO ASI Ser., Ser. E, Martinus Nijhoff Publishers, Dordrecht, 1985.
5.
Polymer conversions in the γ‐ray polymerization of urethane‐substituted diacetylenes
Patel G.N., Khanna Y.P., Ivory D.M., Sowa J.M., Chance R.R.
Journal of Polymer Science Part C: Polymer Letters, 1979
7.
The red, purple and blue modifications of polymeric unsymmetrical hydroxyalkadiynyl-N-arylcarbamate derivatives in Langmuir-Schaefer films
Alekseev A., Ihalainen P., Ivanov A., Domnin I., Klechkovskaya V., Orekhov A., Lemmetyinen H., Vuorimaa-Laukkanen E., Peltonen J., Vyaz'min S.
Thin Solid Films, 2016
10.
Thermochromism in polydiacetylene-metal oxide nanocomposites
Patlolla A., Zunino J., Frenkel A.I., Iqbal Z.
Journal of Materials Chemistry A, 2012
12.
Shear-induced mechanochromism in polydiacetylene monolayers
Burns A.R., Carpick R.W., Sasaki D.Y., Shelnutt J.A., Haddad R.
Tribology Letters, 2001
13.
Chromatic polydiacetylene with novel sensitivity
Sun X., Chen T., Huang S., Li L., Peng H.
Chemical Society Reviews, 2010
14.
Polymerization of Modified Diacetylenes in Langmuir Films
Alekseev A.S., Viitala T., Domnin I.N., Koshkina I.M., Nikitenko A.A., Peltonen J.
Langmuir, 2000
15.
Solid state photopolymerization of modified amphiphilic diynes in multilayers
Alekseev A., Domnin I., Grudinin A., Lemmetyinen H., Nikitenko A.
Macromolecular Chemistry and Physics, 2000
16.
Stable blue phase polymeric Langmuir-Schaefer films based on unsymmetrical hydroxyalkadiynyl N-arylcarbamate derivatives
Alekseev A., Ihalainen P., Ivanov A., Domnin I., Rosqvist E., Lemmetyinen H., Vuorimaa-Laukkanen E., Peltonen J., Vyaz'min S.
Thin Solid Films, 2018
17.
Alekseev A.S., Domnin I.N., Ivanov A.B., Tereschenko N.A.
Mendeleev Communications, 2018