Home / Publications / In situ EPR study of chemoselective hydrogenation of nitroarenes on Au/Al2O3 catalyst

In situ EPR study of chemoselective hydrogenation of nitroarenes on Au/Al2O3 catalyst

Stanislav Sergeevich Yakushkin
Alexey Leonidovich Nuzhdin 1
Alexey Leonidovich Nuzhdin
Ekaterina Andreevna Artiukha 1
Ekaterina Andreevna Artiukha
Pavel Evgen'evich Plyusnin 2
Pavel Evgen'evich Plyusnin
Galina Aleksandrovna Bukhtiyarova 1
Galina Aleksandrovna Bukhtiyarova
Oleg Nikolaevich Martyanov 1
Oleg Nikolaevich Martyanov
Published 2018-09-07
CommunicationVolume 28, Issue 5, 536-537
7
Share
Cite this
GOST
 | 
Cite this
GOST Copy
Yakushkin S. S. et al. In situ EPR study of chemoselective hydrogenation of nitroarenes on Au/Al2O3 catalyst // Mendeleev Communications. 2018. Vol. 28. No. 5. pp. 536-537.
GOST all authors (up to 50) Copy
Yakushkin S. S., Nuzhdin A. L., Artiukha E. A., Plyusnin P. E., Bukhtiyarova G. A., Martyanov O. N. In situ EPR study of chemoselective hydrogenation of nitroarenes on Au/Al2O3 catalyst // Mendeleev Communications. 2018. Vol. 28. No. 5. pp. 536-537.
RIS
 | 
Cite this
RIS Copy
TY - JOUR
DO - 10.1016/j.mencom.2018.09.029
UR - https://mendcomm.colab.ws/publications/10.1016/j.mencom.2018.09.029
TI - In situ EPR study of chemoselective hydrogenation of nitroarenes on Au/Al2O3 catalyst
T2 - Mendeleev Communications
AU - Yakushkin, Stanislav Sergeevich
AU - Nuzhdin, Alexey Leonidovich
AU - Artiukha, Ekaterina Andreevna
AU - Plyusnin, Pavel Evgen'evich
AU - Bukhtiyarova, Galina Aleksandrovna
AU - Martyanov, Oleg Nikolaevich
PY - 2018
DA - 2018/09/07
PB - Mendeleev Communications
SP - 536-537
IS - 5
VL - 28
ER -
BibTex
 | 
Cite this
BibTex (up to 50 authors) Copy
@article{2018_Yakushkin,
author = {Stanislav Sergeevich Yakushkin and Alexey Leonidovich Nuzhdin and Ekaterina Andreevna Artiukha and Pavel Evgen'evich Plyusnin and Galina Aleksandrovna Bukhtiyarova and Oleg Nikolaevich Martyanov},
title = {In situ EPR study of chemoselective hydrogenation of nitroarenes on Au/Al2O3 catalyst},
journal = {Mendeleev Communications},
year = {2018},
volume = {28},
publisher = {Mendeleev Communications},
month = {Sep},
url = {https://mendcomm.colab.ws/publications/10.1016/j.mencom.2018.09.029},
number = {5},
pages = {536--537},
doi = {10.1016/j.mencom.2018.09.029}
}
MLA
Cite this
MLA Copy
Yakushkin, Stanislav Sergeevich, et al. “In situ EPR study of chemoselective hydrogenation of nitroarenes on Au/Al2O3 catalyst.” Mendeleev Communications, vol. 28, no. 5, Sep. 2018, pp. 536-537. https://mendcomm.colab.ws/publications/10.1016/j.mencom.2018.09.029.

Abstract

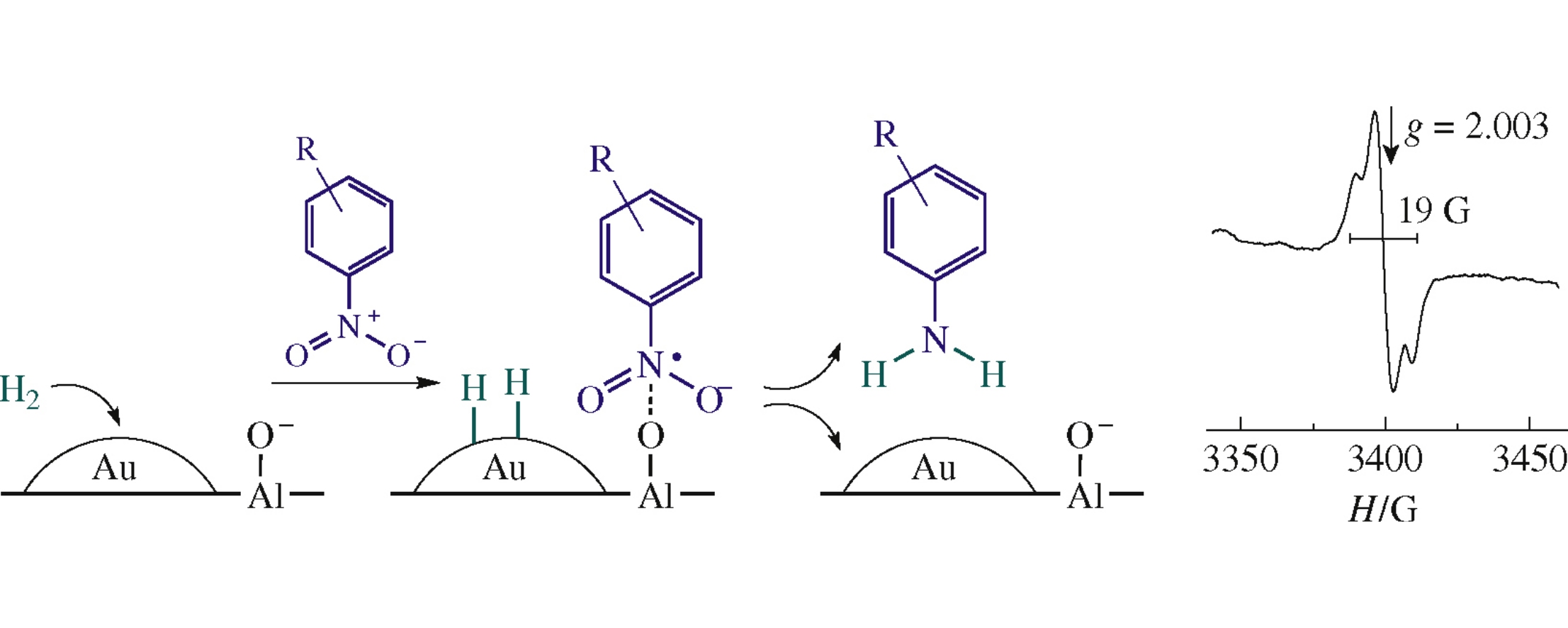
Detected by the in situ EPR spectroscopy immobilized nitro radical anions generated in the course of Au/Al2O3-catalyzed nitrobenzene hydrogenation demonstrate the abnormal hyper-fine splitting and serve as intermediates of the reaction.

References

4.
Selective Liquid-Phase Hydrogenation of a Nitro Group in Substituted Nitrobenzenes over Au/Al2O3Catalyst in a Packed-Bed Flow Reactor
Nuzhdin A.L., Moroz B.L., Bukhtiyarova G.A., Reshetnikov S.I., Pyrjaev P.A., Aleksandrov P.V., Bukhtiyarov V.I.
ChemPlusChem, 2015
5.
Study of Catalyst Deactivation in Liquid-Phase Hydrogenation of 3-Nitrostyrene Over Au/Al2O3 Catalyst in Flow Reactor
Nuzhdin A.L., Reshetnikov S.I., Bukhtiyarova G.A., Moroz B.L., Gerasimov E.Y., Pyrjaev P.A., Bukhtiyarov V.I.
Catalysis Letters, 2017
7.
Reducible Support Effects in the Gas Phase Hydrogenation of p-Chloronitrobenzene over Gold
Wang X., Perret N., Delgado J.J., Blanco G., Chen X., Olmos C.M., Bernal S., Keane M.A.
Journal of Physical Chemistry C, 2013
9.
In situ infrared monitoring of the solid/liquid catalyst interface during the three-phase hydrogenation of nitrobenzene over nanosized Au on TiO2
Richner G., van Bokhoven J.A., Neuhold Y., Makosch M., Hungerbühler K.
Physical Chemistry Chemical Physics, 2011
10.
Electron-transfer at alumina surfaces. Part 3.—Reduction of aromatic nitro-compounds
Flockhart B.D., Leith I.R., Pink R.C.
Transactions of the Faraday Society, 1970
11.
Electron magnetic resonance of aromatic radicals on metal oxide surfaces
Clarkson R.B., Mattson K., Shi W., Wang W., Belford R.L.
Molecular Engineering, 1994
12.
Characterization of electron donor sites on Al2O3 surface
Medvedev D.A., Rybinskaya A.A., Kenzhin R.M., Volodin A.M., Bedilo A.F.
Physical Chemistry Chemical Physics, 2012
14.
Nickel catalysis for hydrogenation of p-dinitrobenzene to p-phenylenediamine
Shuvalova E.V., Kirichenko O.A., Kustov L.M.
Russian Chemical Bulletin, 2017
15.
Hydrogen Spillover. Facts and Fiction
16.
Synthesis of unsaturated secondary amines by direct reductive amination of aliphatic aldehydes with nitroarenes over Au/Al2O3catalyst in continuous flow mode
Nuzhdin A.L., Artiukha E.A., Bukhtiyarova G.A., Zaytsev S.Y., Plyusnin P.E., Shubin Y.V., Bukhtiyarov V.I.
RSC Advances, 2016