Home / Publications / Synthesis of H (type 4) trisaccharide, key structural fragment of globo-H and fucosyl-GM1 cancer-associated antigens

Synthesis of H (type 4) trisaccharide, key structural fragment of globo-H and fucosyl-GM1 cancer-associated antigens

Galina Valentinovna Pazynina 1
Galina Valentinovna Pazynina
Svetlana Vladimirovna Tsygankova 1
Svetlana Vladimirovna Tsygankova
Ivan Mikhailovich Ryzhov 1
Ivan Mikhailovich Ryzhov
Alexander Sergeyevich Paramonov
Published 2018-06-29
CommunicationVolume 28, Issue 4, 421-422
2
Share
Cite this
GOST
 | 
Cite this
GOST Copy
Pazynina G. V. et al. Synthesis of H (type 4) trisaccharide, key structural fragment of globo-H and fucosyl-GM1 cancer-associated antigens // Mendeleev Communications. 2018. Vol. 28. No. 4. pp. 421-422.
GOST all authors (up to 50) Copy
Pazynina G. V., Tsygankova S. V., Ryzhov I. M., Paramonov A. S., Bovin N. V. Synthesis of H (type 4) trisaccharide, key structural fragment of globo-H and fucosyl-GM1 cancer-associated antigens // Mendeleev Communications. 2018. Vol. 28. No. 4. pp. 421-422.
RIS
 | 
Cite this
RIS Copy
TY - JOUR
DO - 10.1016/j.mencom.2018.07.027
UR - https://mendcomm.colab.ws/publications/10.1016/j.mencom.2018.07.027
TI - Synthesis of H (type 4) trisaccharide, key structural fragment of globo-H and fucosyl-GM1 cancer-associated antigens
T2 - Mendeleev Communications
AU - Pazynina, Galina Valentinovna
AU - Tsygankova, Svetlana Vladimirovna
AU - Ryzhov, Ivan Mikhailovich
AU - Paramonov, Alexander Sergeyevich
AU - Bovin, Nicolai Vladimirovich
PY - 2018
DA - 2018/06/29
PB - Mendeleev Communications
SP - 421-422
IS - 4
VL - 28
ER -
BibTex
 | 
Cite this
BibTex (up to 50 authors) Copy
@article{2018_Pazynina,
author = {Galina Valentinovna Pazynina and Svetlana Vladimirovna Tsygankova and Ivan Mikhailovich Ryzhov and Alexander Sergeyevich Paramonov and Nicolai Vladimirovich Bovin},
title = {Synthesis of H (type 4) trisaccharide, key structural fragment of globo-H and fucosyl-GM1 cancer-associated antigens},
journal = {Mendeleev Communications},
year = {2018},
volume = {28},
publisher = {Mendeleev Communications},
month = {Jun},
url = {https://mendcomm.colab.ws/publications/10.1016/j.mencom.2018.07.027},
number = {4},
pages = {421--422},
doi = {10.1016/j.mencom.2018.07.027}
}
MLA
Cite this
MLA Copy
Pazynina, Galina Valentinovna, et al. “Synthesis of H (type 4) trisaccharide, key structural fragment of globo-H and fucosyl-GM1 cancer-associated antigens.” Mendeleev Communications, vol. 28, no. 4, Jun. 2018, pp. 421-422. https://mendcomm.colab.ws/publications/10.1016/j.mencom.2018.07.027.

Abstract

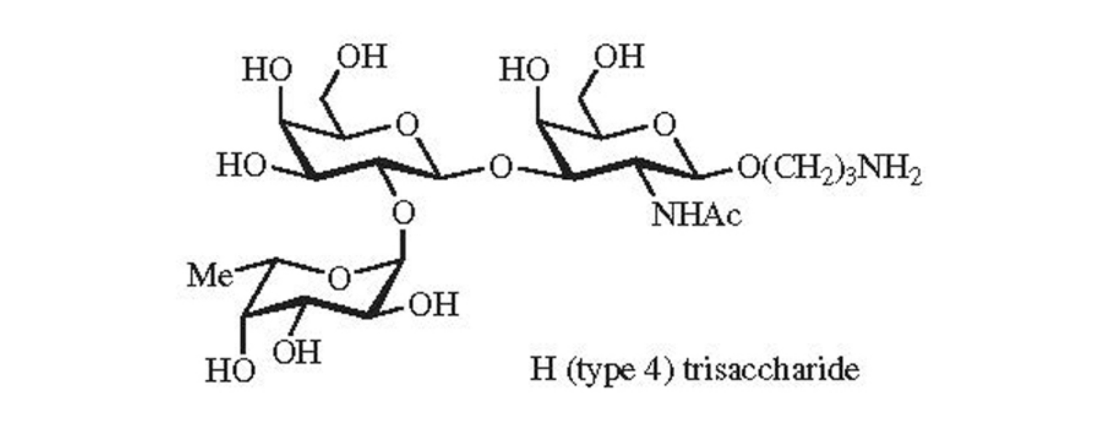
A convenient synthesis of Fucα1-2Galβ1-3GalNAcβ-OCH2CH2CH2NH2 (trisaccharide H type 4) is described. This glycan is the terminal part of glycosphingolipids globo-H and fucosyl-GM1 known as cancer-associated carbohydrate antigens.

References

1.
ABH and Lewis histo-blood group antigens, a model for the meaning of oligosaccharide diversity in the face of a changing world
Marionneau S., Cailleau-Thomas A., Rocher J., Le Moullac-Vaidye B., Ruvoën N., Clément M., Le Pendu J.
Biochimie, 2001
3.
Development of Globo-H Cancer Vaccine
Danishefsky S.J., Shue Y., Chang M.N., Wong C.
Accounts of Chemical Research, 2015
5.
Vaccination of Patients with Small-Cell Lung Cancer with Synthetic Fucosyl GM-1 Conjugated to Keyhole Limpet Hemocyanin
Krug L.M., Ragupathi G., Hood C., Kris M.G., Miller V.A., Allen J.R., Keding S.J., Danishefsky S.J., Gomez J., Tyson L., Pizzo B., Baez V., Livingston P.O.
Clinical Cancer Research, 2004
6.
Selection of GM2, fucosyl GM1, globo H and polysialic acid as targets on small cell lung cancers for antibody mediated immunotherapy
Livingston P.O., Hood C., Krug L.M., Warren N., Kris M.G., Brezicka T., Ragupathi G.
Cancer Immunology, Immunotherapy, 2005
7.
Anti-carbohydrate antibodies of normal sera: Findings, surprises and challenges
Huflejt M.E., Vuskovic M., Vasiliu D., Xu H., Obukhova P., Shilova N., Tuzikov A., Galanina O., Arun B., Lu K., Bovin N.
Molecular Immunology, 2009
8.
Naturally occurring anti-glycan antibodies binding to Globo H-expressing cells identify ovarian cancer patients
Pochechueva T., Alam S., Schötzau A., Chinarev A., Bovin N.V., Hacker N.F., Jacob F., Heinzelmann-Schwarz V.
Journal of Ovarian Research, 2017
9.
Repertoire of human natural anti-glycan immunoglobulins. Do we have auto-antibodies?
Bovin N., Obukhova P., Shilova N., Rapoport E., Popova I., Navakouski M., Unverzagt C., Vuskovic M., Huflejt M.
Biochimica et Biophysica Acta - General Subjects, 2012
10.
The synthesis of linear trilactosamine
Pazynina G.V., Severov V.V., Bovin N.V.
Russian Journal of Bioorganic Chemistry, 2008
11.
10.1016/j.mencom.2018.07.027_bib0055
Ovchinnikova
Russ. J. Bioorg. Chem., 1997
13.
10.1016/j.mencom.2018.07.027_bib0065
Lönn
Carbohydr. Res, 1985
14.
Synthetic glyco-O-sulfatome for profiling of human natural antibodies
Pazynina G., Sablina M., Ovchinnikova T., Tyrtysh T., Tsygankova S., Tuzikov A., Dobrochaeva K., Shilova N., Khasbiullina N., Bovin N.
Carbohydrate Research, 2017
15.
Human tandem-repeat-type galectins bind bacterial non-βGal polysaccharides
Knirel Y.A., Gabius H.-., Blixt O., Rapoport E.M., Khasbiullina N.R., Shilova N.V., Bovin N.V.
Glycoconjugate Journal, 2013