Home / Publications / New all-cis-tetra(p-tolyl)cyclotetrasiloxanetetraol and its functionalization

New all-cis-tetra(p-tolyl)cyclotetrasiloxanetetraol and its functionalization

Yuliya Stanislavovna Vysochinskaya
Anton Aleksandrovich Anisimov 2
Anton Aleksandrovich Anisimov
Sergey Alexandrovich Milenin 1
Sergey Alexandrovich Milenin
Alexander Aleksandrovich Korlyukov
Fedor Mikhailovich Dolgushin 2
Fedor Mikhailovich Dolgushin
Elena Germanovna Kononova 2
Elena Germanovna Kononova
Aleksandr Sergeevich Peregudov 2
Aleksandr Sergeevich Peregudov
Olga Ivanovna Shchegolikhina 2
Olga Ivanovna Shchegolikhina
Aziz Mansurovich Muzafarov
Published 2018-06-29
CommunicationVolume 28, Issue 4, 418-420
22
Share
Cite this
GOST
 | 
Cite this
GOST Copy
Vysochinskaya Y. S. et al. New all-cis-tetra(p-tolyl)cyclotetrasiloxanetetraol and its functionalization // Mendeleev Communications. 2018. Vol. 28. No. 4. pp. 418-420.
GOST all authors (up to 50) Copy
Vysochinskaya Y. S., Anisimov A. A., Milenin S. A., Korlyukov A. A., Dolgushin F. M., Kononova E. G., Peregudov A. S., Buzin M. I., Shchegolikhina O. I., Muzafarov A. M. New all-cis-tetra(p-tolyl)cyclotetrasiloxanetetraol and its functionalization // Mendeleev Communications. 2018. Vol. 28. No. 4. pp. 418-420.
RIS
 | 
Cite this
RIS Copy
TY - JOUR
DO - 10.1016/j.mencom.2018.07.026
UR - https://mendcomm.colab.ws/publications/10.1016/j.mencom.2018.07.026
TI - New all-cis-tetra(p-tolyl)cyclotetrasiloxanetetraol and its functionalization
T2 - Mendeleev Communications
AU - Vysochinskaya, Yuliya Stanislavovna
AU - Anisimov, Anton Aleksandrovich
AU - Milenin, Sergey Alexandrovich
AU - Korlyukov, Alexander Aleksandrovich
AU - Dolgushin, Fedor Mikhailovich
AU - Kononova, Elena Germanovna
AU - Peregudov, Aleksandr Sergeevich
AU - Buzin, Mikhail Igorevich
AU - Shchegolikhina, Olga Ivanovna
AU - Muzafarov, Aziz Mansurovich
PY - 2018
DA - 2018/06/29
PB - Mendeleev Communications
SP - 418-420
IS - 4
VL - 28
ER -
BibTex
 | 
Cite this
BibTex (up to 50 authors) Copy
@article{2018_Vysochinskaya,
author = {Yuliya Stanislavovna Vysochinskaya and Anton Aleksandrovich Anisimov and Sergey Alexandrovich Milenin and Alexander Aleksandrovich Korlyukov and Fedor Mikhailovich Dolgushin and Elena Germanovna Kononova and Aleksandr Sergeevich Peregudov and Mikhail Igorevich Buzin and Olga Ivanovna Shchegolikhina and Aziz Mansurovich Muzafarov},
title = {New all-cis-tetra(p-tolyl)cyclotetrasiloxanetetraol and its functionalization},
journal = {Mendeleev Communications},
year = {2018},
volume = {28},
publisher = {Mendeleev Communications},
month = {Jun},
url = {https://mendcomm.colab.ws/publications/10.1016/j.mencom.2018.07.026},
number = {4},
pages = {418--420},
doi = {10.1016/j.mencom.2018.07.026}
}
MLA
Cite this
MLA Copy
Vysochinskaya, Yuliya Stanislavovna, et al. “New all-cis-tetra(p-tolyl)cyclotetrasiloxanetetraol and its functionalization.” Mendeleev Communications, vol. 28, no. 4, Jun. 2018, pp. 418-420. https://mendcomm.colab.ws/publications/10.1016/j.mencom.2018.07.026.

Abstract

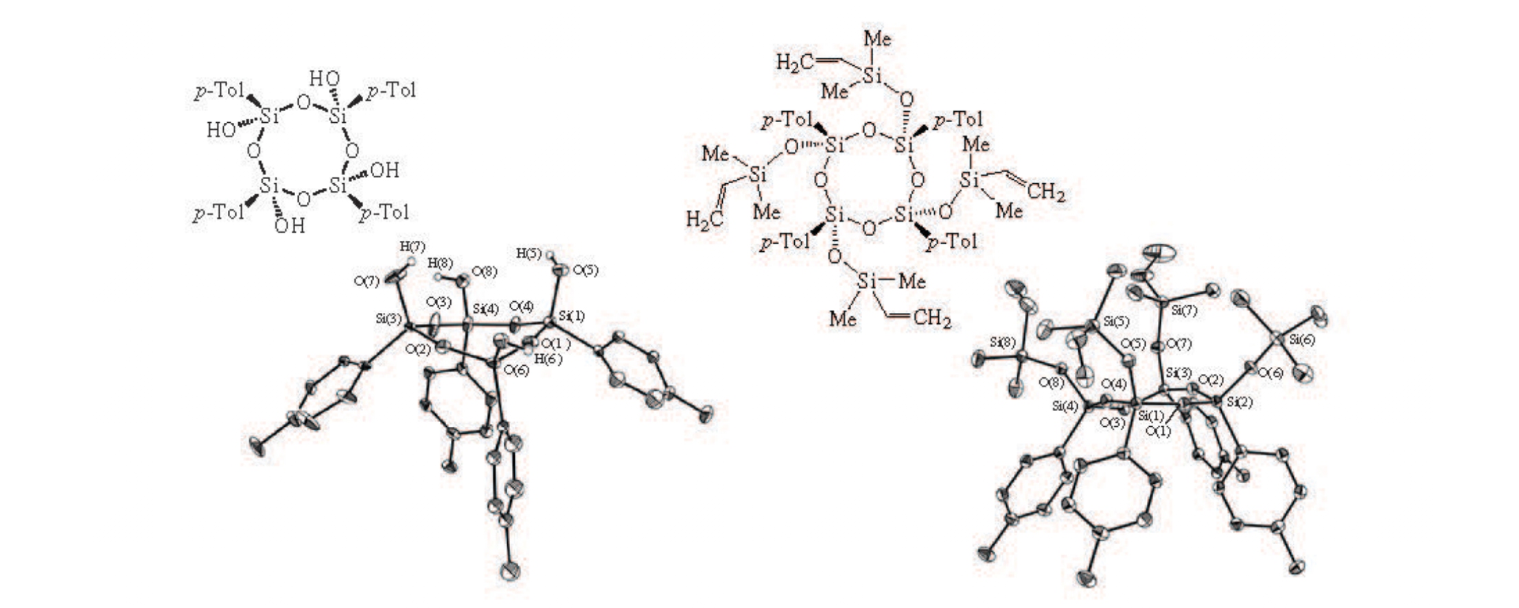
New all-cis-tetra(p-tolyl)cyclotetrasiloxanetetraol and its derivatives with Si(CH=CH2)Me and Si(H)Me2 groups have been prepared and characterized by IR and NMR spectroscopy, GPC, mass spectrometry, TGA and DSC. Molecular and crystalline structures of the tetraol and its derivative with four Si(CH=CH2)Me groups have been determined by single-crystal X-ray diffraction.

References

1.
Silsesquioxanes
Baney R.H., Itoh M., Sakakibara A., Suzuki T.
Chemical Reviews, 1995
3.
Laddersiloxanes — silsesquioxanes with defined ladder structure
Unno M., Suto A., Matsumoto T.
Russian Chemical Reviews, 2013
4.
Supramolecular Template-Directed Synthesis of Soluble Quadruple-Chain Ladder Polyphenylsiloxane (Ph-QCLP) with High Molecular Weight
5.
Synthesis and characterization of organic-inorganic hybrid block copolymers containing a fully condensed ladder-like polyphenylsilsesquioxane
Lee A.S., Choi S., Lee H.S., Jeon H.Y., Baek K., Hwang S.S.
Journal of Polymer Science, Part A: Polymer Chemistry, 2012
6.
Synthesis and characterization of heptacyclic laddersiloxanes and ladder polysilsesquioxane
Chang S., Matsumoto T., Matsumoto H., Unno M.
Applied Organometallic Chemistry, 2010
7.
Preparation and Electric Property of Polysilsesquioxane Thin Films Incorporating Carbazole Groups
Watase S., Fujisaki D., Watanabe M., Mitamura K., Nishioka N., Matsukawa K.
Chemistry - A European Journal, 2014
8.
Lee H.S., Choi S., Baek K., Lee E.C., Hong S.M., Lee J., Hwang S.S.
Macromolecular Research, 2012
10.
Stereoisomers of 1,3,5,7-Tetrahydroxy-1,3,5,7-tetraisopropylcyclotetrasiloxane:  Synthesis and Structures in the Crystal
Unno M., Kawaguchi Y., Kishimoto Y., Matsumoto H.
Journal of the American Chemical Society, 2005
11.
Synthesis, Characterization and Reactivity ofcis-cis-cis[(C6H5)4Si4O4(OH)4]
Feher F.J., Schwab J.J., Soulivong D., Ziller J.W.
Main Group Chemistry, 2007
15.
Synthesis and Properties of Stereoregular Cyclic Polysilanols:  cis-[PhSi(O)OH]4, cis-[PhSi(O)OH]6, and Tris-cis-tris-trans-[PhSi(O)OH]12
Shchegolikhina O.I., Pozdnyakova Y.A., Molodtsova Y.A., Korkin S.D., Bukalov S.S., Leites L.A., Lyssenko K.A., Peregudov A.S., Auner N., Katsoulis D.E.
Inorganic Chemistry, 2002
16.
(Pentamethylcyclopentadienyl)silanetriol:  Synthesis, Derivatization, and X-ray Crystal Structure of Its Hemihydrate
Jutzi P., Strassburger G., Schneider M., Stammler H., Neumann B.
Organometallics, 1996
17.
Cyclotetrasiloxanetetrols with Methyl Groups at Silicon: Isomers all-cis- and cis-trans-cis-[MeSi(O)OH]4
Pozdnyakova Y.A., Korlyukov A.A., Kononova E.G., Lyssenko K.A., Peregudov A.S., Shchegolikhina O.I.
Inorganic Chemistry, 2009
19.
Kononevich Y.N., Anisimov A.A., Korlyukov A.A., Tsareva U.S., Shchegolikhina O.I., Muzafarov A.M.
Mendeleev Communications, 2017
20.
Sodium cis-tetratolylcyclotetrasiloxanolate and cis-tritolylcyclotrisiloxanolate: Synthesis, structure and their mutual transformations
Anisimov A.A., Zhemchugov P.V., Milenin S.A., Goloveshkin A.S., Tsareva U.S., Bushmarinov I.S., Korlyukov A.A., Takazova R.U., Molodtsova Y.A., Muzafarov A.M., Shchegolikhina O.I.
Journal of Organometallic Chemistry, 2016
21.
Unexpected Selectivity in Cyclotetrasiloxane Formation by the Hydrolytic Condensation Reaction of Trichloro(phenyl)silane
Yagihashi F., Igarashi M., Nakajima Y., Sato K., Yumoto Y., Matsui C., Shimada S.
European Journal of Inorganic Chemistry, 2016
22.
Cyclic Tetrasiloxanetetraols: Formation, Isolation, and Characterization
23.
Formation of Supermolecule by Assembling of Two Different Silanols
Unno M., Takada K., Matsumoto H.
Chemistry Letters, 2000
24.
New star-like polydimethylsiloxanes: synthesis, properties, and application
Vysochinskaya Y.S., Gorodov V.V., Anisimov A.A., Boldyrev K.L., Buzin M.I., Naumkin A.V., Maslakov K.I., Peregudov A.S., Shchegolikhina O.I., Muzafarov A.M.
Russian Chemical Bulletin, 2017