Home / Publications / Novel reactions of ninhydrin oxime with mercaptoalkanoic acids

Novel reactions of ninhydrin oxime with mercaptoalkanoic acids

Lev Yur'evich Ukhin 1
Lev Yur'evich Ukhin
Ludmila G Kuz'mina 2
Ludmila G Kuz'mina
Danil Vladimirovich Alexeenko 1
Danil Vladimirovich Alexeenko
Lyudmila Viktorovna Belousova 1
Lyudmila Viktorovna Belousova
Evgenii Nikolaevich Shepelenko 3
Evgenii Nikolaevich Shepelenko
Vitaly Alekseevich Podshibyakin 1
Vitaly Alekseevich Podshibyakin
Anatolii Savel'evich Morkovnik 1
Anatolii Savel'evich Morkovnik
Published 2018-04-27
CommunicationVolume 28, Issue 3, 300-302
6
Share
Cite this
GOST
 | 
Cite this
GOST Copy
Ukhin L. Y. et al. Novel reactions of ninhydrin oxime with mercaptoalkanoic acids // Mendeleev Communications. 2018. Vol. 28. No. 3. pp. 300-302.
GOST all authors (up to 50) Copy
Ukhin L. Y., Kuz'mina L. G., Alexeenko D. V., Belousova L. V., Shepelenko E. N., Podshibyakin V. A., Morkovnik A. S. Novel reactions of ninhydrin oxime with mercaptoalkanoic acids // Mendeleev Communications. 2018. Vol. 28. No. 3. pp. 300-302.
RIS
 | 
Cite this
RIS Copy
TY - JOUR
DO - 10.1016/j.mencom.2018.05.024
UR - https://mendcomm.colab.ws/publications/10.1016/j.mencom.2018.05.024
TI - Novel reactions of ninhydrin oxime with mercaptoalkanoic acids
T2 - Mendeleev Communications
AU - Ukhin, Lev Yur'evich
AU - Kuz'mina, Ludmila G
AU - Alexeenko, Danil Vladimirovich
AU - Belousova, Lyudmila Viktorovna
AU - Shepelenko, Evgenii Nikolaevich
AU - Podshibyakin, Vitaly Alekseevich
AU - Morkovnik, Anatolii Savel'evich
PY - 2018
DA - 2018/04/27
PB - Mendeleev Communications
SP - 300-302
IS - 3
VL - 28
ER -
BibTex
 | 
Cite this
BibTex (up to 50 authors) Copy
@article{2018_Ukhin,
author = {Lev Yur'evich Ukhin and Ludmila G Kuz'mina and Danil Vladimirovich Alexeenko and Lyudmila Viktorovna Belousova and Evgenii Nikolaevich Shepelenko and Vitaly Alekseevich Podshibyakin and Anatolii Savel'evich Morkovnik},
title = {Novel reactions of ninhydrin oxime with mercaptoalkanoic acids},
journal = {Mendeleev Communications},
year = {2018},
volume = {28},
publisher = {Mendeleev Communications},
month = {Apr},
url = {https://mendcomm.colab.ws/publications/10.1016/j.mencom.2018.05.024},
number = {3},
pages = {300--302},
doi = {10.1016/j.mencom.2018.05.024}
}
MLA
Cite this
MLA Copy
Ukhin, Lev Yur'evich, et al. “Novel reactions of ninhydrin oxime with mercaptoalkanoic acids.” Mendeleev Communications, vol. 28, no. 3, Apr. 2018, pp. 300-302. https://mendcomm.colab.ws/publications/10.1016/j.mencom.2018.05.024.

Abstract

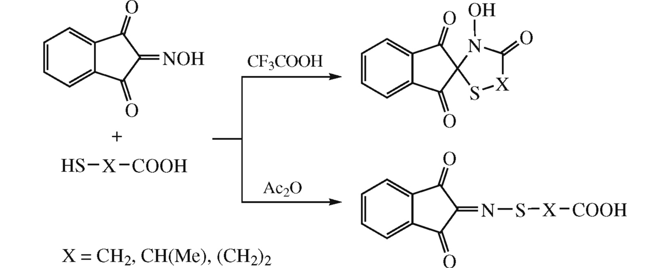
Ninhydrin oxime and mercaptoalkanoic acids in the presence of trifluoroacetic acid form 2,2′-spiranes incorporating indane-1,3-dione and 3-hydroxy-1,3-thiazolidin-4-one or 3-hydroxytetrahydro-1,3-thiazin-4-one moieties. On heating in acetic anhydride, the same reactants undergo replacement of oxime hydroxy group by sulfur thus affording thiooxime-containing alkanoic acids.

References

1.
10.1016/j.mencom.2018.05.024_bib0005
Ingold
Structure and Mechanism in Organic Chemistry, 1969
2.
H. Priewe, K. Pirner, Patent DE 946140, 1956.
3.
10.1016/j.mencom.2018.05.024_bib0015
Mane
Indian J. Chem., Sect. B, 1983
4.
10.1016/j.mencom.2018.05.024_bib0020
Berghot
Rev. Roum. Chim., 1995
5.
Activity of 2-Aryl-2-(3-indolyl)acetohydroxamates against Drug-Resistant Cancer Cells
Aksenov A.V., Smirnov A.N., Magedov I.V., Reisenauer M.R., Aksenov N.A., Aksenova I.V., Pendleton A.L., Nguyen G., Johnston R.K., Rubin M., De Carvalho A., Kiss R., Mathieu V., Lefranc F., Correa J., et. al.
Journal of Medicinal Chemistry, 2015
7.
10.1016/j.mencom.2018.05.024_bib0035
Gmelin Handbook of Inorganic and Organometallic Chemistry, 1994
8.
Evidence for the existence of a thio-oxime
Barton D.H., Magnus P.D., Pennanen S.I.
Journal of the Chemical Society Chemical Communications, 1974
9.
Benzophenonethio-oximate ion
Brown C., Grayson B.T., Hudson R.F.
Journal of the Chemical Society Chemical Communications, 1974
10.
SAINT, v. 6.02A, Bruker AXS, Madison, WI, 2001.
11.
SHELX-TLPlus, v. 5.10, Bruker AXS, Madison, WI, 2001.
12.
OLEX2: a complete structure solution, refinement and analysis program
Dolomanov O.V., Bourhis L.J., Gildea R.J., Howard J.A., Puschmann H.
Journal of Applied Crystallography, 2009