Home / Publications / 3-(4-Phosphoryl-4-methyl-2-oxopentyl)-3-hydroxyindolin-2-ones, the first phosphorus analogues of natural convolutamydines

3-(4-Phosphoryl-4-methyl-2-oxopentyl)-3-hydroxyindolin-2-ones, the first phosphorus analogues of natural convolutamydines

Dmitry Anatol'evich Tatarinov 1, 2
Dmitry Anatol'evich Tatarinov
Victoria I Osipova 1
Victoria I Osipova
Andrey Vladimirovich Bogdanov 1, 2
Andrey Vladimirovich Bogdanov
Robert Rustemovich Fayzullin 1
Robert Rustemovich Fayzullin
Vladimir Fedorovich Mironov
Published 2018-04-27
CommunicationVolume 28, Issue 3, 292-294
1
Share
Cite this
GOST
 | 
Cite this
GOST Copy
Tatarinov D. A. et al. 3-(4-Phosphoryl-4-methyl-2-oxopentyl)-3-hydroxyindolin-2-ones, the first phosphorus analogues of natural convolutamydines // Mendeleev Communications. 2018. Vol. 28. No. 3. pp. 292-294.
GOST all authors (up to 50) Copy
Tatarinov D. A., Osipova V. I., Bogdanov A. V., Fayzullin R. R., Mironov V. F. 3-(4-Phosphoryl-4-methyl-2-oxopentyl)-3-hydroxyindolin-2-ones, the first phosphorus analogues of natural convolutamydines // Mendeleev Communications. 2018. Vol. 28. No. 3. pp. 292-294.
RIS
 | 
Cite this
RIS Copy
TY - JOUR
DO - 10.1016/j.mencom.2018.05.021
UR - https://mendcomm.colab.ws/publications/10.1016/j.mencom.2018.05.021
TI - 3-(4-Phosphoryl-4-methyl-2-oxopentyl)-3-hydroxyindolin-2-ones, the first phosphorus analogues of natural convolutamydines
T2 - Mendeleev Communications
AU - Tatarinov, Dmitry Anatol'evich
AU - Osipova, Victoria I
AU - Bogdanov, Andrey Vladimirovich
AU - Fayzullin, Robert Rustemovich
AU - Mironov, Vladimir Fedorovich
PY - 2018
DA - 2018/04/27
PB - Mendeleev Communications
SP - 292-294
IS - 3
VL - 28
ER -
BibTex
 | 
Cite this
BibTex (up to 50 authors) Copy
@article{2018_Tatarinov,
author = {Dmitry Anatol'evich Tatarinov and Victoria I Osipova and Andrey Vladimirovich Bogdanov and Robert Rustemovich Fayzullin and Vladimir Fedorovich Mironov},
title = {3-(4-Phosphoryl-4-methyl-2-oxopentyl)-3-hydroxyindolin-2-ones, the first phosphorus analogues of natural convolutamydines},
journal = {Mendeleev Communications},
year = {2018},
volume = {28},
publisher = {Mendeleev Communications},
month = {Apr},
url = {https://mendcomm.colab.ws/publications/10.1016/j.mencom.2018.05.021},
number = {3},
pages = {292--294},
doi = {10.1016/j.mencom.2018.05.021}
}
MLA
Cite this
MLA Copy
Tatarinov, Dmitry Anatol'evich, et al. “3-(4-Phosphoryl-4-methyl-2-oxopentyl)-3-hydroxyindolin-2-ones, the first phosphorus analogues of natural convolutamydines.” Mendeleev Communications, vol. 28, no. 3, Apr. 2018, pp. 292-294. https://mendcomm.colab.ws/publications/10.1016/j.mencom.2018.05.021.

Abstract

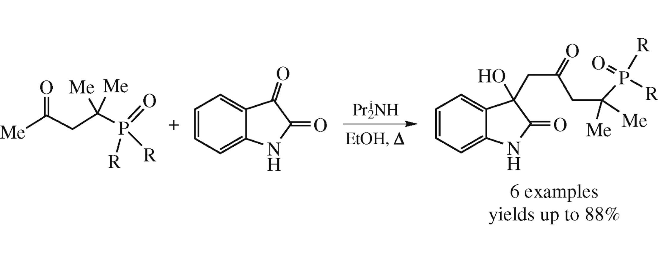
The first examples of phosphorus-containing analogues of natural alkaloids, convolutamydines, have been obtained by aldol condensation of 4-[dialkyl(diphenyl)phosphoryl]-4-methylpentan-2-one with isatin. An unusually facile reversible process of dehydration–hydration of these phosphorus-containing hydroxy indoles has been discovered.

References

1.
A Recent Perspective on Discovery and Development of Diverse Therapeutic Agents Inspired from Isatin Alkaloids
A. Rane R., Karunanidhi# S., Jain K., Shaikh M., Hampannavar G., Karpoormath R.
Current Topics in Medicinal Chemistry, 2016
2.
Recent Developments in the Synthesis and Applications of Isatins
Liu Y., Zhang R., Wu Q., Chen Q., Yang G.
Organic Preparations and Procedures International, 2014
7.
Pfitzinger reaction of dialkyl(aryl)(2-methyl-4-oxopent-2-yl)phosphine oxides
Tatarinov D.A., Bogdanov A.V., Buzykin B.I., Mironov V.F.
Russian Journal of Organic Chemistry, 2014
8.
Synthesis of new 2-[2-(dialkyl(diaryl)-phosphoryl)-2-methylpropyl]quinoline-4-carboxylic acids
Tatarinov D.A., Osipova V.I., Bogdanov A.V., Krivolapov D.B., Voloshina A.D., Mironov V.F.
Chemistry of Heterocyclic Compounds, 2015
10.
Carane amino alcohols as organocatalysts in asymmetric aldol reaction of isatin with acetone
Banina O.A., Sudarikov D.V., Nigmatov A.G., Frolova L.L., Slepukhin P.A., Zlotin S.G., Kutchin A.V.
Russian Chemical Bulletin, 2017
11.
A.O. Vizel, R.S. Garaev, Novyi aspect farmakologicheskogo podhoda k soedineniyam fosfora. Dimefosfon (A New Aspect of Pharmacological Approach to Phosphorus Compounds. Dimephosphone), Pechat-Servis-XXI Vek, Kazan, 2011 (in Russian).
12.
2-chloro-3,3,5-trimethyl-2,3-dihydro-1,2λ5-oxaphosphole 2-oxide as precursor in a new synthesis of dialkyl(diaryl)-(2-methyl-4-oxopent- 2-yl)phosphine oxides
Tatarinov D.A., Kostin A.A., Baronova T.A., Dobrynin A.B., Mironova E.V., Krivolapov D.B., Buzykin B.I., Mironov V.F.
Russian Journal of Organic Chemistry, 2013
13.
Dimephosphone analogs: A pharmacological aspect
Mironov V.F., Buzykin B.I., Garaev R.S., Tatarinov D.A., Kashapov L.R., Chestnova R.V., Nabiullin V.N., Il´yasov A.V., Zobova V.V.
Russian Chemical Bulletin, 2014
14.
A.A. Kostin, D.A. Tatarinov, L.R. Kashapov, R.V. Chestnova, R. Sh. Valiev, R.S. Garaev, B.I. Buzykin, V.F. Mironov, Patent RU 2498990, 2013.
16.
Synthesis of potential anticonvulsants: condensation of isatins with acetone and related ketones.
17.
Anti-inflammatory properties of convolutamydine A and two structural analogues.
Fernandes P.D., Zardo R.S., Figueiredo G.S., Silva B.V., Pinto A.C.
Life Sciences, 2014
18.
Central and peripheral antinociceptive activity of 3-(2-oxopropyl)-3-hydroxy-2-oxindoles
Giorno T.B., Ballard Y.L., Cordeiro M.S., Silva B.V., Pinto A.C., Fernandes P.D.
Pharmacology Biochemistry and Behavior, 2015
19.
10.1016/j.mencom.2018.05.021_bib0095
Sheldrick
2015
20.
10.1016/j.mencom.2018.05.021_bib0100
Sheldrick
2015