Home / Publications / Spectroscopic study of a water-soluble 2,2′-bipyridyl-based europium complex and its interaction with human serum albumin

Spectroscopic study of a water-soluble 2,2′-bipyridyl-based europium complex and its interaction with human serum albumin

Natalia Evgen'evna Borisova 1
Natalia Evgen'evna Borisova
Anastasiia Vitalyevna Kharcheva
Vladimir A Andronov 1
Vladimir A Andronov
Marina Dmitrievna Reshetova 1
Marina Dmitrievna Reshetova
Viktor Illarionovich Yuzhakov 2
Viktor Illarionovich Yuzhakov
Svetlana Viktorovna Patsaeva 2
Svetlana Viktorovna Patsaeva
Published 2018-04-27
CommunicationVolume 28, Issue 3, 284-286
3
Share
Cite this
GOST
 | 
Cite this
GOST Copy
Borisova N. E. et al. Spectroscopic study of a water-soluble 2,2′-bipyridyl-based europium complex and its interaction with human serum albumin // Mendeleev Communications. 2018. Vol. 28. No. 3. pp. 284-286.
GOST all authors (up to 50) Copy
Borisova N. E., Kharcheva A. V., Andronov V. A., Reshetova M. D., Yuzhakov V. I., Patsaeva S. V. Spectroscopic study of a water-soluble 2,2′-bipyridyl-based europium complex and its interaction with human serum albumin // Mendeleev Communications. 2018. Vol. 28. No. 3. pp. 284-286.
RIS
 | 
Cite this
RIS Copy
TY - JOUR
DO - 10.1016/j.mencom.2018.05.018
UR - https://mendcomm.colab.ws/publications/10.1016/j.mencom.2018.05.018
TI - Spectroscopic study of a water-soluble 2,2′-bipyridyl-based europium complex and its interaction with human serum albumin
T2 - Mendeleev Communications
AU - Borisova, Natalia Evgen'evna
AU - Kharcheva, Anastasiia Vitalyevna
AU - Andronov, Vladimir A
AU - Reshetova, Marina Dmitrievna
AU - Yuzhakov, Viktor Illarionovich
AU - Patsaeva, Svetlana Viktorovna
PY - 2018
DA - 2018/04/27
PB - Mendeleev Communications
SP - 284-286
IS - 3
VL - 28
ER -
BibTex
 | 
Cite this
BibTex (up to 50 authors) Copy
@article{2018_Borisova,
author = {Natalia Evgen'evna Borisova and Anastasiia Vitalyevna Kharcheva and Vladimir A Andronov and Marina Dmitrievna Reshetova and Viktor Illarionovich Yuzhakov and Svetlana Viktorovna Patsaeva},
title = {Spectroscopic study of a water-soluble 2,2′-bipyridyl-based europium complex and its interaction with human serum albumin},
journal = {Mendeleev Communications},
year = {2018},
volume = {28},
publisher = {Mendeleev Communications},
month = {Apr},
url = {https://mendcomm.colab.ws/publications/10.1016/j.mencom.2018.05.018},
number = {3},
pages = {284--286},
doi = {10.1016/j.mencom.2018.05.018}
}
MLA
Cite this
MLA Copy
Borisova, Natalia Evgen'evna, et al. “Spectroscopic study of a water-soluble 2,2′-bipyridyl-based europium complex and its interaction with human serum albumin.” Mendeleev Communications, vol. 28, no. 3, Apr. 2018, pp. 284-286. https://mendcomm.colab.ws/publications/10.1016/j.mencom.2018.05.018.

Abstract

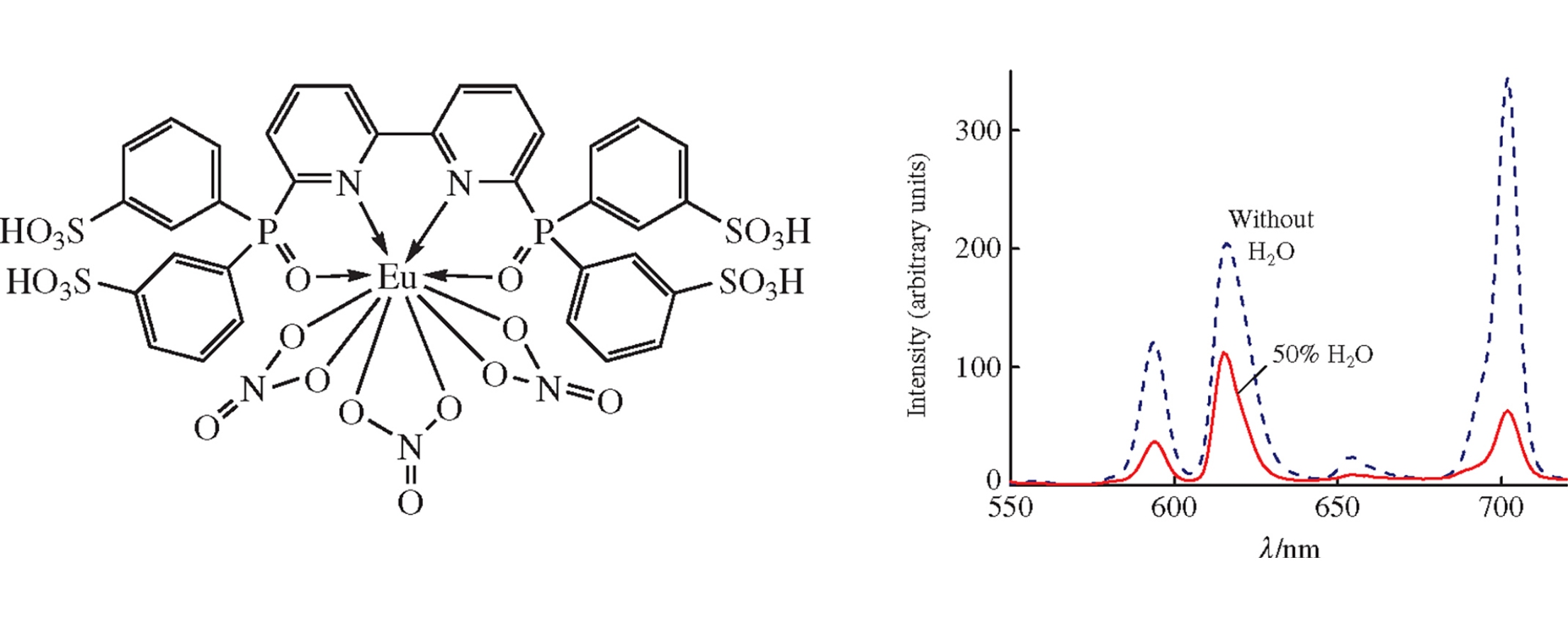
The water-soluble complex of europium with 6,6′-bis[di(3-sulfophenyl) phosphinoyl]-2,2′-bipyridine was synthesized and spectroscopically characterized, and its interaction with human serum albumin was studied using a luminescence technique.

References

1.
Soft Matter pH Sensing:  From Luminescent Lanthanide pH Switches in Solution to Sensing in Hydrogels
McCoy C.P., Stomeo F., Plush S.E., Gunnlaugsson T.
Chemistry of Materials, 2006
3.
A Europium-Ion-Based Luminescent Sensing Probe for Hydrogen Peroxide
Wolfbeis O.S., Dürkop A., Wu M., Lin Z.
Angewandte Chemie - International Edition, 2002
5.
Progress in Lanthanides as Luminescent Probes
Hemmilä I., Laitala V.
Journal of Fluorescence, 2005
7.
10.1016/j.mencom.2018.05.018_sbref0035a
Matsumoto
2003
8.
Genetically Encoded Protease Substrate Based on Lanthanide-Binding Peptide for Time-Gated Fluorescence Detection
9.
Artificial luminescent protein as a bioprobe for time-gated luminescence bioimaging
Liu X., Ye Z., Wei W., Du Y., Yuan J., Ma D.
Chemical Communications, 2011
10.
Photophysical evaluation of a new functional terbium complex in FRET-based time-resolved homogenous fluoroassays
Cywiński P.J., Nchimi Nono K., Charbonnière L.J., Hammann T., Löhmannsröben H.
Physical Chemistry Chemical Physics, 2014
12.
Synthesis and lanthanide coordination chemistry of trifluoromethyl derivatives of phosphinoylmethyl pyridine N-oxides
Pailloux S., Shirima C.E., Ray A.D., Duesler E.N., Smith K.A., Paine R.T., Klaehn J.R., McIlwain M.E., Hay B.P.
Dalton Transactions, 2009
13.
6-Phosphoryl Picolinic Acids as Europium and Terbium Sensitizers
14.
New series of anhydrous double nitrate salts of the lanthanides. Structural and spectral characterization
Carnall W.T., Siegel S., Ferraro J.R., Tani B., Gebert E.
Inorganic Chemistry, 1973
15.
Lanthanide complexes of potentially heptadentate Schiff base ligands
Alyea E.C., Malek A., Vougioukas A.E.
Canadian Journal of Chemistry, 1982
16.
Kharcheva A.V., Evdokimov D.A., Reshetova M.D., Yuzhakov V.I., Patsaeva S.V., Borisova N.E.
Mendeleev Communications, 2017
17.
Peculiarities of metal—ligand bonding in europium trinitrate complexes: a viewpoint of comparative charge density analysis in crystals
19.
BODIPY dyes in bio environment: Spectral characteristics and possibilities for practical application
Vodyanova O.S., Kochergin B.A., Usoltsev S.D., Marfin Y.S., Rumyantsev E.V., Aleksakhina E.L., Tomilova I.K.
Journal of Photochemistry and Photobiology A: Chemistry, 2018
20.
Tyrosine fluorescence probing of the surfactant-induced conformational changes of albumin
Zhdanova N.G., Shirshin E.A., Maksimov E.G., Panchishin I.M., Saletsky A.M., Fadeev V.V.
Photochemical and Photobiological Sciences, 2015
21.
10.1016/j.mencom.2018.05.018_bib0075
Lakowicz
Principles of Fluorescence Spectroscopy, 2006
22.
10.1016/j.mencom.2018.05.018_sbref0080a
Kharcheva
Proc. SPIE, 2015
23.
Perspective sub-THz powerful microwave generator "nanovircator" for T-rays biomedical diagnostics
Frolov N.S., Kurkin S.A., Khramova M.V., Badarin A.A., Koronovskii A.A., Pavlov A.N., Hramov A.E.
Proceedings of SPIE - The International Society for Optical Engineering, 2016