Home / Publications / Three-dimensional grids based on graphene oxide and 3,3,4,4-tetraaminodiphenyl oxide for supercapacitor electrodes

Three-dimensional grids based on graphene oxide and 3,3,4,4-tetraaminodiphenyl oxide for supercapacitor electrodes

Elena Nikolaevna Gorenskaia 1
Elena Nikolaevna Gorenskaia
Bato Chingisovich Kholkhoev 1
Bato Chingisovich Kholkhoev
Boris Dambaevich Ochirov 1
Boris Dambaevich Ochirov
Viktor Gerasimovich Makotchenko 2
Viktor Gerasimovich Makotchenko
Stepan Ivanovich Yusin 3
Stepan Ivanovich Yusin
Vladimir Efimovich Fedorov 2
Vladimir Efimovich Fedorov
Vitaliy Fedorovich Burdukovskii 1
Vitaliy Fedorovich Burdukovskii
Published 2018-03-01
CommunicationVolume 28, Issue 2, 184-186
3
Share
Cite this
GOST
 | 
Cite this
GOST Copy
Gorenskaia E. N. et al. Three-dimensional grids based on graphene oxide and 3,3’,4,4’-tetraaminodiphenyl oxide for supercapacitor electrodes // Mendeleev Communications. 2018. Vol. 28. No. 2. pp. 184-186.
GOST all authors (up to 50) Copy
Gorenskaia E. N., Kholkhoev B. C., Ochirov B. D., Makotchenko V. G., Yusin S. I., Fedorov V. E., Burdukovskii V. F. Three-dimensional grids based on graphene oxide and 3,3’,4,4’-tetraaminodiphenyl oxide for supercapacitor electrodes // Mendeleev Communications. 2018. Vol. 28. No. 2. pp. 184-186.
RIS
 | 
Cite this
RIS Copy
TY - JOUR
DO - 10.1016/j.mencom.2018.03.025
UR - https://mendcomm.colab.ws/publications/10.1016/j.mencom.2018.03.025
TI - Three-dimensional grids based on graphene oxide and 3,3’,4,4’-tetraaminodiphenyl oxide for supercapacitor electrodes
T2 - Mendeleev Communications
AU - Gorenskaia, Elena Nikolaevna
AU - Kholkhoev, Bato Chingisovich
AU - Ochirov, Boris Dambaevich
AU - Makotchenko, Viktor Gerasimovich
AU - Yusin, Stepan Ivanovich
AU - Fedorov, Vladimir Efimovich
AU - Burdukovskii, Vitaliy Fedorovich
PY - 2018
DA - 2018/03/01
PB - Mendeleev Communications
SP - 184-186
IS - 2
VL - 28
ER -
BibTex
 | 
Cite this
BibTex (up to 50 authors) Copy
@article{2018_Gorenskaia,
author = {Elena Nikolaevna Gorenskaia and Bato Chingisovich Kholkhoev and Boris Dambaevich Ochirov and Viktor Gerasimovich Makotchenko and Stepan Ivanovich Yusin and Vladimir Efimovich Fedorov and Vitaliy Fedorovich Burdukovskii},
title = {Three-dimensional grids based on graphene oxide and 3,3’,4,4’-tetraaminodiphenyl oxide for supercapacitor electrodes},
journal = {Mendeleev Communications},
year = {2018},
volume = {28},
publisher = {Mendeleev Communications},
month = {Mar},
url = {https://mendcomm.colab.ws/publications/10.1016/j.mencom.2018.03.025},
number = {2},
pages = {184--186},
doi = {10.1016/j.mencom.2018.03.025}
}
MLA
Cite this
MLA Copy
Gorenskaia, Elena Nikolaevna, et al. “Three-dimensional grids based on graphene oxide and 3,3’,4,4’-tetraaminodiphenyl oxide for supercapacitor electrodes.” Mendeleev Communications, vol. 28, no. 2, Mar. 2018, pp. 184-186. https://mendcomm.colab.ws/publications/10.1016/j.mencom.2018.03.025.

Abstract

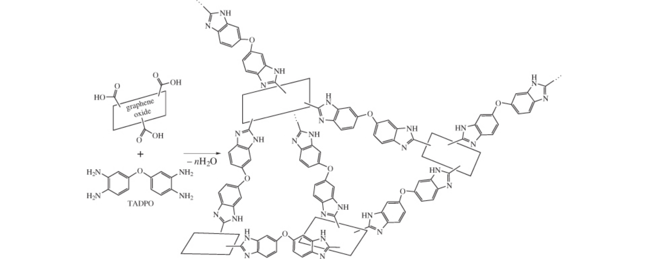
New three-dimensional grids based on graphene oxide and 3,3,4,4-tetraaminodiphenyl oxide were obtained using a one-step hydrothermal synthesis. The formation of benzimidazole rings was confirmed by IR spectroscopy and elemental analysis, and the nitrogen content was 13.8 wt%. Because of the redox activity of benzimidazole rings, the specific capacitance was 330 F g–1 at a scan rate of 2 mV s–1.

References

1.
Kulova T.L., Kreshchenova Y.M., Kuz’mina A.A., Skundin A.M., Stenina I.A., Yaroslavtsev A.B.
Mendeleev Communications, 2016
2.
Hybrid battery/supercapacitor energy storage system for the electric vehicles
Kouchachvili L., Yaïci W., Entchev E.
Journal of Power Sources, 2018
3.
A review of supercapacitor modeling, estimation, and applications: A control/management perspective
Zhang L., Hu X., Wang Z., Sun F., Dorrell D.G.
Renewable and Sustainable Energy Reviews, 2018
4.
10.1016/j.mencom.2018.03.025_bib0020
Mensing
Adv. Nat. Sci.: Nanosci. Nanotechnol., 2017
6.
Carbon-based supercapacitors for efficient energy storage
Chen X., Paul R., Dai L.
National Science Review, 2017
7.
Graphene-like nanostructures: synthesis and use for preparation of catalysts and hydrogen storage composites
Arbuzov A.A., Mozhzhukhin S.A., Volodin A.A., Fursikov P.V., Tarasov B.P.
Russian Chemical Bulletin, 2016
8.
High-Performance Supercapacitors Based on Poly(ionic liquid)-Modified Graphene Electrodes
Kim T.Y., Lee H.W., Stoller M., Dreyer D.R., Bielawski C.W., Ruoff R.S., Suh K.S.
ACS Nano, 2010
9.
Graphene-Based Ultracapacitors
Stoller M.D., Park S., Zhu Y., An J., Ruoff R.S.
Nano Letters, 2008
10.
Residual oxygen groups in nitrogen-doped graphene to enhance the capacitive performance
Yu M., Xie B., Yang Y., Zhang Y., Chen Y., Yu W., Zhang S., Lu L., Liu D.
RSC Advances, 2017
11.
Benzoxazole and benzimidazole heterocycle-grafted graphene for high-performance supercapacitor electrodes
Ai W., Zhou W., Du Z., Du Y., Zhang H., Jia X., Xie L., Yi M., Yu T., Huang W.
Journal of Materials Chemistry A, 2012
12.
Preparation of Graphitic Oxide
Hummers W.S., Offeman R.E.
Journal of the American Chemical Society, 1958
13.
Surface Electrochemical Treatment of Carbon Materials for Supercapacitors
Uvarov N.F., Mateyshina Y.G., Ulihin A.S., Yusin S.I., Varentsova V.I., Varentsov V.K.
ECS Transactions, 2010
14.
Chemical treatment of graphite nanoplatelets and their use in supercapacitors
Shibaev A.A., Yusin S.I., Maksimovskii E.A., Ukhina A.V., Bannov A.G.
Russian Journal of Applied Chemistry, 2016