Home / Publications / Hydroxyl-functionalized alkyl-terminated silsesquioxanes as surface modificators of friction geomodifiers

Hydroxyl-functionalized alkyl-terminated silsesquioxanes as surface modificators of friction geomodifiers

Mikhail Viktorovich Tutov 1
Mikhail Viktorovich Tutov
Ekaterina Andreevna Sharshina 1
Ekaterina Andreevna Sharshina
Elena Ivanovna Karpova 1
Elena Ivanovna Karpova
Lev Borisovich Leont'ev 1
Lev Borisovich Leont'ev
Nikolay Pavlovich Shapkin 1
Nikolay Pavlovich Shapkin
Published 2018-03-01
CommunicationVolume 28, Issue 2, 138-139
0
Share
Cite this
GOST
 | 
Cite this
GOST Copy
Tutov M. V. et al. Hydroxyl-functionalized alkyl-terminated silsesquioxanes as surface modificators of friction geomodifiers // Mendeleev Communications. 2018. Vol. 28. No. 2. pp. 138-139.
GOST all authors (up to 50) Copy
Tutov M. V., Sharshina E. A., Karpova E. I., Leont'ev L. B., Shapkin N. P. Hydroxyl-functionalized alkyl-terminated silsesquioxanes as surface modificators of friction geomodifiers // Mendeleev Communications. 2018. Vol. 28. No. 2. pp. 138-139.
RIS
 | 
Cite this
RIS Copy
TY - JOUR
DO - 10.1016/j.mencom.2018.03.008
UR - https://mendcomm.colab.ws/publications/10.1016/j.mencom.2018.03.008
TI - Hydroxyl-functionalized alkyl-terminated silsesquioxanes as surface modificators of friction geomodifiers
T2 - Mendeleev Communications
AU - Tutov, Mikhail Viktorovich
AU - Sharshina, Ekaterina Andreevna
AU - Karpova, Elena Ivanovna
AU - Leont'ev, Lev Borisovich
AU - Shapkin, Nikolay Pavlovich
PY - 2018
DA - 2018/03/01
PB - Mendeleev Communications
SP - 138-139
IS - 2
VL - 28
ER -
BibTex
 | 
Cite this
BibTex (up to 50 authors) Copy
@article{2018_Tutov,
author = {Mikhail Viktorovich Tutov and Ekaterina Andreevna Sharshina and Elena Ivanovna Karpova and Lev Borisovich Leont'ev and Nikolay Pavlovich Shapkin},
title = {Hydroxyl-functionalized alkyl-terminated silsesquioxanes as surface modificators of friction geomodifiers},
journal = {Mendeleev Communications},
year = {2018},
volume = {28},
publisher = {Mendeleev Communications},
month = {Mar},
url = {https://mendcomm.colab.ws/publications/10.1016/j.mencom.2018.03.008},
number = {2},
pages = {138--139},
doi = {10.1016/j.mencom.2018.03.008}
}
MLA
Cite this
MLA Copy
Tutov, Mikhail Viktorovich, et al. “Hydroxyl-functionalized alkyl-terminated silsesquioxanes as surface modificators of friction geomodifiers.” Mendeleev Communications, vol. 28, no. 2, Mar. 2018, pp. 138-139. https://mendcomm.colab.ws/publications/10.1016/j.mencom.2018.03.008.

Abstract

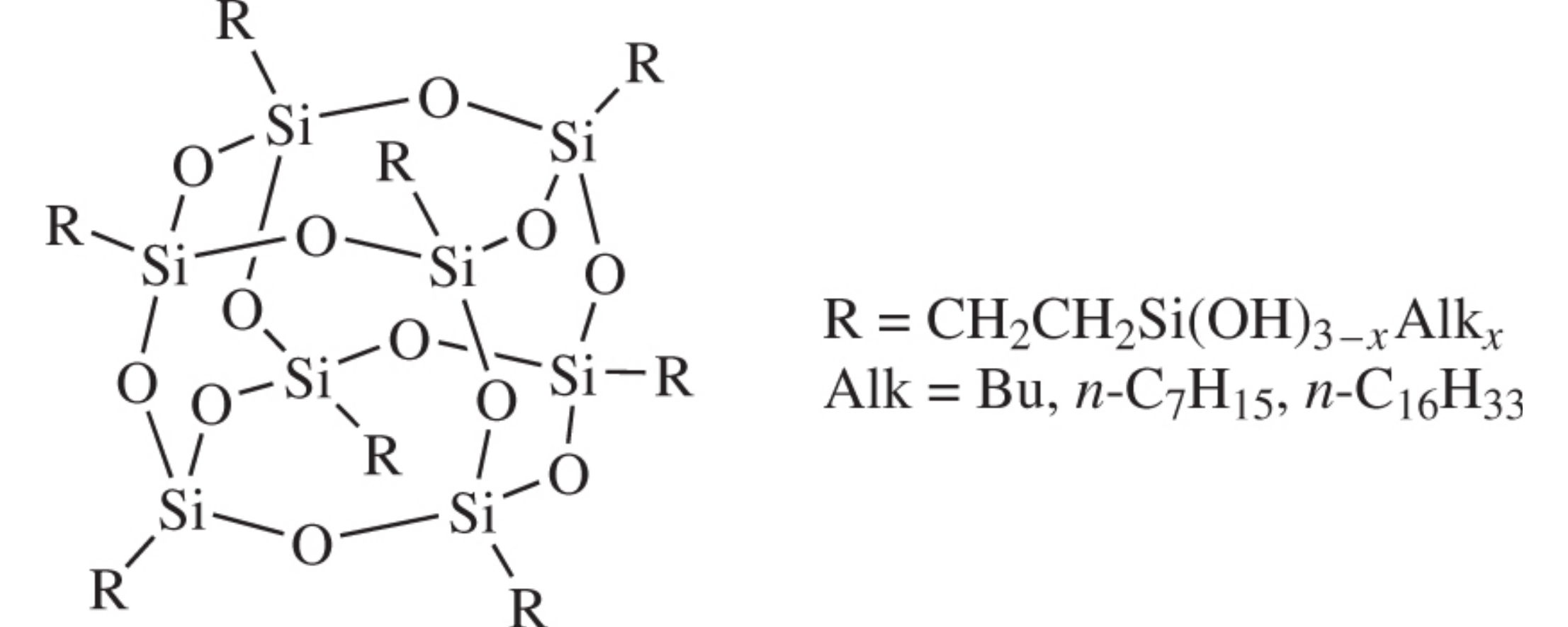
Starting from octavinylsilsesquioxane, new derivatives with CH2CH2SiAlkx(OH)3– x groups were obtained. Free hydroxyl groups at silicon atoms were employed for modifying activated vermiculite surface to study tribological properties of chromium steel friction pairs.

References

1.
Organomodified aluminosilicates as friction geomodifiers
Shapkin N.P., Leont’ev L.B., Leont’ev A.L., Korochentsev V.V., Shkuratov A.L.
Russian Journal of Applied Chemistry, 2012
2.
S. M. Gaidar and A. G. Chumakov, Patent RU 2400533 C1, 2010.
3.
L. B. Leont’ev, A.L. Leont’ev, N.P. Shapkin and A. L. Shkuratov, Patent RU 2484179 C1, 2013.
4.
Vermiculite-based organosilicate antifriction composites as coatings on friction surfaces of steel articles
Shapkin N.P., Leont’ev L.B., Makarov V.N., Khal’chenko I.G., Korochentsev V.V., Shkuratov A.L.
Russian Journal of Applied Chemistry, 2014
5.
Temnikov M.N., Buzin M.I., Demchenko N.V., Cherkaev G.V., Vasilenko N.G., Muzafarov A.M.
Mendeleev Communications, 2016
6.
Vasil’kov A.Y., Migulin D.A., Naumkin A.V., Belyakova O.A., Zubavichus Y.V., Abramchuk S.S., Maksimov Y.V., Novichikhin S.V., Muzafarov A.M.
Mendeleev Communications, 2016
7.
Self-Assembled Multilayer Films from Dendrimers
Tsukruk V.V., Rinderspacher F., Bliznyuk V.N.
Langmuir, 1997
8.
Self-Assembled Multilayer Films Based on Dendrimers with Covalent Interlayer Linkage
Wang J., Jia X., Zhong H., Luo Y., Zhao X., Cao W., Li M., Wei Y.
Chemistry of Materials, 2002
10.
Preparation and tribological properties of self-assembled poly(amide amine)-Cu nanofilm on silicon
Cui B., Zhang L., Zhou H., Zhang J., Chen J.
Surface and Interface Analysis, 2011
11.
Fluorinated Polyhedral Oligomeric Silsesquioxanes (F-POSS)
Mabry J., Vij A., Iacono S., Viers B.
Angewandte Chemie - International Edition, 2008
12.
Fabrics with Tunable Oleophobicity
Choi W., Tuteja A., Chhatre S., Mabry J.M., Cohen R.E., McKinley G.H.
Advanced Materials, 2009
13.
POSS-nylon 6 nanocomposites: Influence of POSS structure on surface and bulk properties
Misra R., Fu B.X., Plagge A., Morgan S.E.
Journal of Polymer Science, Part B: Polymer Physics, 2009
15.
Synthesis of highly functionalised dendrimers based on polyhedral silsesquioxane cores †
Jaffrès P., Morris R.E.
Journal of the Chemical Society Dalton Transactions, 1998