Home / Publications / Functionalized nanocarbon materials as catalysts for the ethanolysis of furfuryl alcohol

Functionalized nanocarbon materials as catalysts for the ethanolysis of furfuryl alcohol

8
Share
Cite this
GOST
 | 
Cite this
GOST Copy
Topolyuk Y. A., Nekhaev A. I. Functionalized nanocarbon materials as catalysts for the ethanolysis of furfuryl alcohol // Mendeleev Communications. 2017. Vol. 28. No. 1. pp. 93-95.
GOST all authors (up to 50) Copy
Topolyuk Y. A., Nekhaev A. I. Functionalized nanocarbon materials as catalysts for the ethanolysis of furfuryl alcohol // Mendeleev Communications. 2017. Vol. 28. No. 1. pp. 93-95.
RIS
 | 
Cite this
RIS Copy
TY - JOUR
DO - 10.1016/j.mencom.2018.01.032
UR - https://mendcomm.colab.ws/publications/10.1016/j.mencom.2018.01.032
TI - Functionalized nanocarbon materials as catalysts for the ethanolysis of furfuryl alcohol
T2 - Mendeleev Communications
AU - Topolyuk, Yuliya Anatol'evna
AU - Nekhaev, Andrei Ivanovich
PY - 2017
DA - 2017/12/22
PB - Mendeleev Communications
SP - 93-95
IS - 1
VL - 28
ER -
BibTex
 | 
Cite this
BibTex (up to 50 authors) Copy
@article{2017_Topolyuk,
author = {Yuliya Anatol'evna Topolyuk and Andrei Ivanovich Nekhaev},
title = {Functionalized nanocarbon materials as catalysts for the ethanolysis of furfuryl alcohol},
journal = {Mendeleev Communications},
year = {2017},
volume = {28},
publisher = {Mendeleev Communications},
month = {Dec},
url = {https://mendcomm.colab.ws/publications/10.1016/j.mencom.2018.01.032},
number = {1},
pages = {93--95},
doi = {10.1016/j.mencom.2018.01.032}
}
MLA
Cite this
MLA Copy
Topolyuk, Yuliya Anatol'evna, and Andrei Ivanovich Nekhaev. “Functionalized nanocarbon materials as catalysts for the ethanolysis of furfuryl alcohol.” Mendeleev Communications, vol. 28, no. 1, Dec. 2017, pp. 93-95. https://mendcomm.colab.ws/publications/10.1016/j.mencom.2018.01.032.

Abstract

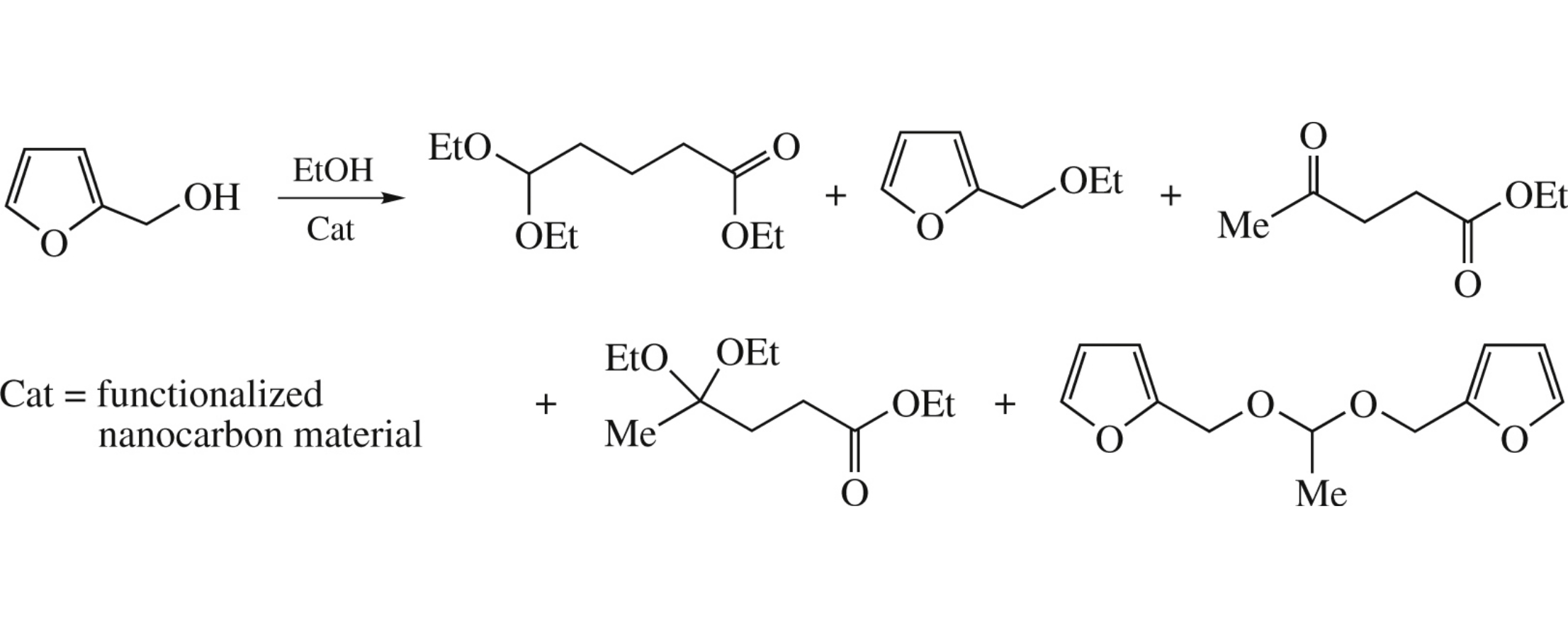
The functionalized nanocarbon materials were prepared and their structure was characterized by a set of physicochemical methods. The materials were tested as catalysts for the ethanolysis of furfuryl alcohol. The synthesis of 2-ethoxymethylfuran and ethyl levulinate in high yields was performed at 100–130°C.

References

1.
10.1016/j.mencom.2018.01.032_sbref0005a
Nanocarbon-Inorganic Hybrids: Next Generation Composites for Sustainable Energy Applications, 2014
3.
Nitrogen-Doped Fullerene as a Potential Catalyst for Hydrogen Fuel Cells
Gao F., Zhao G., Yang S., Spivey J.J.
Journal of the American Chemical Society, 2013
5.
Ponomareva E.A., Krasnikova I.V., Egorova E.V., Mishakov I.V., Vedyagin A.A.
Mendeleev Communications, 2017
6.
The chemistry of graphene oxide
Dreyer D.R., Park S., Bielawski C.W., Ruoff R.S.
Chemical Society Reviews, 2010
7.
Graphene-supported platinum catalysts for fuel cells
Seselj N., Engelbrekt C., Zhang J.
Science Bulletin, 2015
8.
Graphene oxide as a metal-free catalyst for oxidation of primary amines to nitriles by hypochlorite
Primo A., Puche M., Pavel O.D., Cojocaru B., Tirsoaga A., Parvulescu V., García H.
Chemical Communications, 2016
9.
Chemical conversion of biomass-derived hexose sugars to levulinic acid over sulfonic acid-functionalized graphene oxide catalysts
Upare P.P., Yoon J., Kim M.Y., Kang H., Hwang D.W., Hwang Y.K., Kung H.H., Chang J.
Green Chemistry, 2013
10.
Sulfonated Graphene Oxide as Effective Catalyst for Conversion of 5-(Hydroxymethyl)-2-furfural into Biofuels
Antunes M.M., Russo P.A., Wiper P.V., Veiga J.M., Pillinger M., Mafra L., Evtuguin D.V., Pinna N., Valente A.A.
ChemSusChem, 2014
11.
Synthesis and Applications of Alkyl Levulinates
Démolis A., Essayem N., Rataboul F.
ACS Sustainable Chemistry and Engineering, 2014
13.
Acid-catalyzed conversion of furfuryl alcohol to ethyl levulinate in liquid ethanol
González Maldonado G.M., Assary R.S., Dumesic J.A., Curtiss L.A.
Energy and Environmental Science, 2012
16.
Conversion of furfuryl alcohol to ethyl levulinate using porous aluminosilicate acid catalysts
Neves P., Lima S., Pillinger M., Rocha S.M., Rocha J., Valente A.A.
Catalysis Today, 2013
18.
Graphene Oxide: An Efficient Acid Catalyst for Alcoholysis and Esterification Reactions
19.
Layer-by-Layer Assembly of Ultrathin Composite Films from Micron-Sized Graphite Oxide Sheets and Polycations
Kovtyukhova N.I., Ollivier P.J., Martin B.R., Mallouk T.E., Chizhik S.A., Buzaneva E.V., Gorchinskiy A.D.
Chemistry of Materials, 1999
20.
Efficient Reduction of Graphite Oxide by Sodium Borohydride and Its Effect on Electrical Conductance
Shin H., Kim K.K., Benayad A., Yoon S., Park H.K., Jung I., Jin M.H., Jeong H., Kim J.M., Choi J., Lee Y.H.
Advanced Functional Materials, 2009
21.
Sulfated Graphene Oxide as a Hole-Extraction Layer in High-Performance Polymer Solar Cells