Home / Publications / ‘On-solvent’ new domino reaction of salicylaldehyde, malononitrile and 4-hydroxy-6-methylpyridin-2(1H)-one: fast and efficient approach to medicinally relevant 4-pyridinyl-2-amino-4H-chromene scaffold

‘On-solvent’ new domino reaction of salicylaldehyde, malononitrile and 4-hydroxy-6-methylpyridin-2(1H)-one: fast and efficient approach to medicinally relevant 4-pyridinyl-2-amino-4H-chromene scaffold

Fedor Vladimirovich Ryzhkov 1
Fedor Vladimirovich Ryzhkov
Anatoly Nikolaevich Vereshchagin 1
Anatoly Nikolaevich Vereshchagin
Alexander Dmitrievich Korshunov 1
Alexander Dmitrievich Korshunov
Roman Aleksandrovich Novikov 1
Roman Aleksandrovich Novikov
Mikhail Petrovich Egorov 1
Mikhail Petrovich Egorov
Published 2017-10-30
CommunicationVolume 27, Issue 6, 559-561
18
Share
Cite this
GOST
 | 
Cite this
GOST Copy
Elinson M. N. et al. ‘On-solvent’ new domino reaction of salicylaldehyde, malononitrile and 4-hydroxy-6-methylpyridin-2(1H)-one: fast and efficient approach to medicinally relevant 4-pyridinyl-2-amino-4H-chromene scaffold // Mendeleev Communications. 2017. Vol. 27. No. 6. pp. 559-561.
GOST all authors (up to 50) Copy
Elinson M. N., Ryzhkov F. V., Vereshchagin A. N., Korshunov A. D., Novikov R. A., Egorov M. P. ‘On-solvent’ new domino reaction of salicylaldehyde, malononitrile and 4-hydroxy-6-methylpyridin-2(1H)-one: fast and efficient approach to medicinally relevant 4-pyridinyl-2-amino-4H-chromene scaffold // Mendeleev Communications. 2017. Vol. 27. No. 6. pp. 559-561.
RIS
 | 
Cite this
RIS Copy
TY - JOUR
DO - 10.1016/j.mencom.2017.11.006
UR - https://mendcomm.colab.ws/publications/10.1016/j.mencom.2017.11.006
TI - ‘On-solvent’ new domino reaction of salicylaldehyde, malononitrile and 4-hydroxy-6-methylpyridin-2(1H)-one: fast and efficient approach to medicinally relevant 4-pyridinyl-2-amino-4H-chromene scaffold
T2 - Mendeleev Communications
AU - Elinson, Michail Nikolaevich
AU - Ryzhkov, Fedor Vladimirovich
AU - Vereshchagin, Anatoly Nikolaevich
AU - Korshunov, Alexander Dmitrievich
AU - Novikov, Roman Aleksandrovich
AU - Egorov, Mikhail Petrovich
PY - 2017
DA - 2017/10/30
PB - Mendeleev Communications
SP - 559-561
IS - 6
VL - 27
ER -
BibTex
 | 
Cite this
BibTex (up to 50 authors) Copy
@article{2017_Elinson,
author = {Michail Nikolaevich Elinson and Fedor Vladimirovich Ryzhkov and Anatoly Nikolaevich Vereshchagin and Alexander Dmitrievich Korshunov and Roman Aleksandrovich Novikov and Mikhail Petrovich Egorov},
title = {‘On-solvent’ new domino reaction of salicylaldehyde, malononitrile and 4-hydroxy-6-methylpyridin-2(1H)-one: fast and efficient approach to medicinally relevant 4-pyridinyl-2-amino-4H-chromene scaffold},
journal = {Mendeleev Communications},
year = {2017},
volume = {27},
publisher = {Mendeleev Communications},
month = {Oct},
url = {https://mendcomm.colab.ws/publications/10.1016/j.mencom.2017.11.006},
number = {6},
pages = {559--561},
doi = {10.1016/j.mencom.2017.11.006}
}
MLA
Cite this
MLA Copy
Elinson, Michail Nikolaevich, et al. “‘On-solvent’ new domino reaction of salicylaldehyde, malononitrile and 4-hydroxy-6-methylpyridin-2(1H)-one: fast and efficient approach to medicinally relevant 4-pyridinyl-2-amino-4H-chromene scaffold.” Mendeleev Communications, vol. 27, no. 6, Oct. 2017, pp. 559-561. https://mendcomm.colab.ws/publications/10.1016/j.mencom.2017.11.006.

Abstract

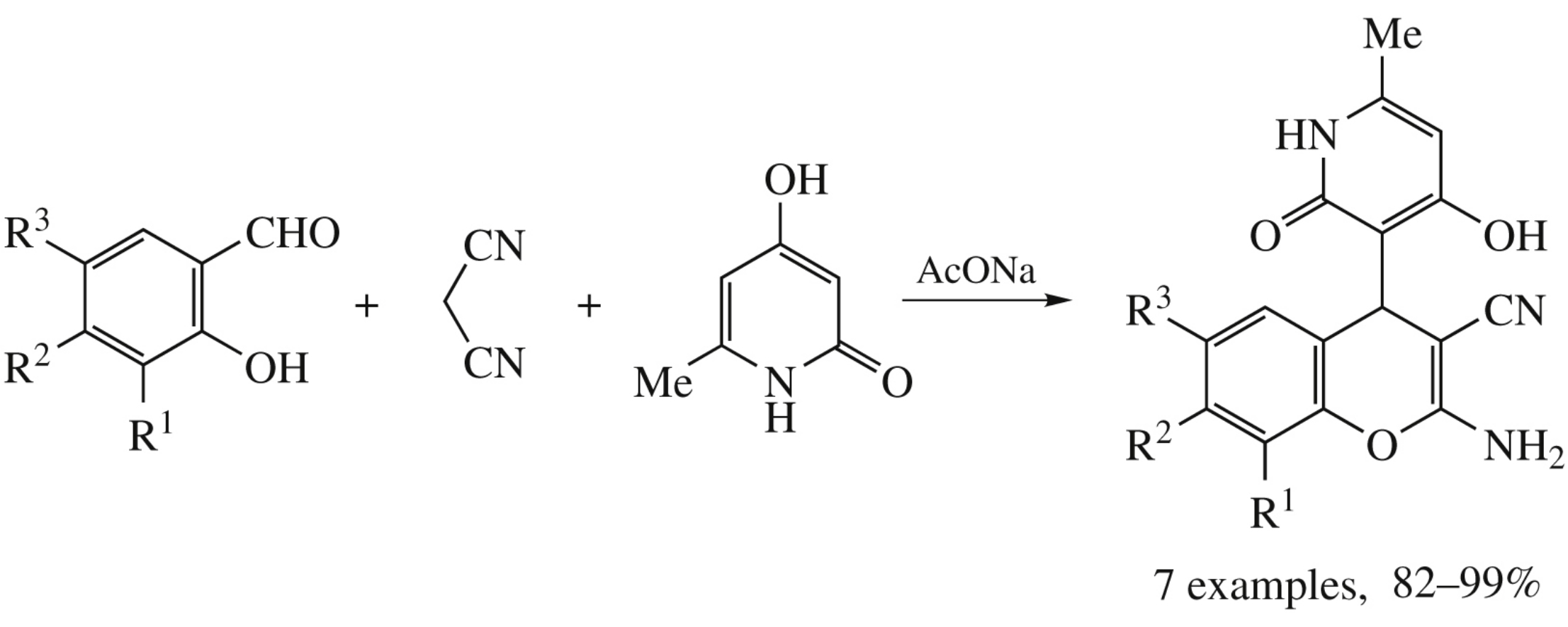
Sodium acetate catalyzed assembling of salicylaldehydes, malononitrile and 4-hydroxy-6-methylpyridin-2(1H)-one in small amount of ethanol gives rapidly (5 min) substituted 4-pyridinyl-2-amino-4H-chromenes in 82–99% yields. This novel domino reaction opens the fast, facile, and flexible way to the new type of functionalized 2-amino-4H-chromene scaffold containing uracil-like moiety, which are relevant compounds for diverse biomedical applications.

References

1.
10.1016/j.mencom.2017.11.006_bib0005
Domino Reactions: Concepts for Efficient Organic Synthesis, 2014
4.
Vereshchagin A.N., Elinson M.N., Anisina Y.E., Ryzhkov F.V., Goloveshkin A.S., Bushmarinov I.S., Zlotin S.G., Egorov M.P.
Mendeleev Communications, 2015
5.
10.1016/j.mencom.2017.11.006_bib0025
Anastas
Green Chemistry: Theory and Practice, 1998
7.
One-Pot ‘On-solvent’ Multicomponent Protocol for the Synthesis of Medicinally Relevant 4H-Pyrano[3,2-c]quinoline Scaffold
Vereshchagin A.N., Elinson M.N., Nasybullin R.F., Ryzhkov F.V., Bobrovsky S.I., Bushmarinov I.S., Egorov M.P.
Helvetica Chimica Acta, 2015
9.
“On Water”: Unique Reactivity of Organic Compounds in Aqueous Suspension
Narayan S., Muldoon J., Finn M.G., Fokin V.V., Kolb H.C., Sharpless K.B.
Angewandte Chemie - International Edition, 2005
10.
Demchuk D.V., Elinson M.N., Nikishin G.I.
Mendeleev Communications, 2011
12.
Ananikov V.P., Khokhlova E.A., Egorov M.P., Sakharov A.M., Zlotin S.G., Kucherov A.V., Kustov L.M., Gening M.L., Nifantiev N.E.
Mendeleev Communications, 2015
13.
Ananikov V.P., Galkin K.I., Egorov M.P., Sakharov A.M., Zlotin S.G., Redina E.A., Isaeva V.I., Kustov L.M., Gening M.L., Nifantiev N.E.
Mendeleev Communications, 2016
14.
Methods for drug discovery: development of potent, selective, orally effective cholecystokinin antagonists
Evans B.E., Rittle K.E., Bock M.G., DiPardo R.M., Freidinger R.M., Whitter W.L., Lundell G.F., Veber D.F., Anderson P.S., Chang R.S., Lotti V.J., Cerino D.J., Chen T.B., Kling P.J., Kunkel K.A., et. al.
Journal of Medicinal Chemistry, 1988
15.
A new flavellagic acid derivative and phloroglucinol fromRhodomyrtus tomentosa
Hiranrat A., Chitbankluoi W., Mahabusarakam W., Limsuwan S., Voravuthikunchai S.P.
Natural Product Research, 2012
17.
L. Johansen, C. Owens, C. Mawhinney, T.W. Chappell, A.T. Brown, M.G. Frank and R. Altmeyer, Patent WO 2008/33466 A1, 2008.
18.
W.-Q. Zhao and D. L. Alkon, Patent US 2013/0273545 A1, 2013.
19.
J. Collard, O. Khorkova-Sherman and J. H. Hsiao, Patent WO 2013/36403 A1, 2013.
20.
A. Tomiyama, H. Tomiyama, H. Miyamoto, K. Hayashi and S. Mochizuki, Patent EP 1767534 A1, 2007.
21.
Aminocyanopyridine inhibitors of mitogen activated protein kinase-activated protein kinase 2 (MK-2)
Anderson D.R., Hegde S., Reinhard E., Gomez L., Vernier W.F., Lee L., Liu S., Sambandam A., Snider P.A., Masih L.
Bioorganic and Medicinal Chemistry Letters, 2005
22.
W. Hunter, P. Toleikis, D. Gravett, D. Grau, A. Borisy, C. Keith, B. Auspitz, M. Nichols, E. Jost-Price and G. N. Serbedzija, Patent US 2007/208134 A1, 2007.
23.
Discovery and mechanism of action of a novel series of apoptosis inducers with potential vascular targeting activity
Kasibhatla S., Gourdeau H., Meerovitch K., Drewe J., Reddy S., Qiu L., Zhang H., Bergeron F., Bouffard D., Yang Q., Herich J., Lamothe S., Cai S.X., Tseng B.
Molecular Cancer Therapeutics, 2004
24.
Antivascular and antitumor evaluation of 2-amino-4-(3-bromo-4,5-dimethoxy-phenyl)-3-cyano-4H-chromenes, a novel series of anticancer agents
Gourdeau H., Leblond L., Hamelin B., Desputeau C., Dong K., Kianicka I., Custeau D., Boudreau C., Geerts L., Cai S., Drewe J., Labrecque D., Kasibhatla S., Tseng B.
Molecular Cancer Therapeutics, 2004
26.
S. X. Cai, J.A. Drewe, S. Kasibhatla, W.E. Kemnitzer, B.Y. Tseng, C. Blais, H. Goudreau and D. Labrecque, Patent WO 2008/5572 A1, 2008.
27.
Uridine and its nucleotides: biological actions, therapeutic potentials.
Connolly G.P., Duley J.A.
Trends in Pharmacological Sciences, 1999
28.
Uridine Diphosphate Glucose: the Coenzyme of the Galactose–Glucose Phosphate Isomerization
30.
Uridine-induced hypothermia in mice and rats in relation to plasma and tissue levels of uridine and its metabolites
Peters G.J., van Groeningen C.J., Laurensse E.J., Lankelma J., Leyva A., Pinedo H.M.
Cancer Chemotherapy and Pharmacology, 1987
31.
10.1016/j.mencom.2017.11.006_bib0155
Connolly
J. Pharmacol., 1993
32.
Uridine Protects Cortical Neurons from Glucose Deprivation-Induced Death: Possible Role of Uridine Phosphorylase
Choi J.W., Shin C.Y., Choi M.S., Yoon S.Y., Ryu J.H., Lee J., Kim W., El Kouni M.H., Ko K.H.
Journal of Neurotrauma, 2008
33.
Pot, atom and step-economic (PASE) synthesis of medicinally relevant spiro[oxindole-3,4′-pyrano[4,3-b]pyran] scaffold
35.
Green Approach to the Design of Functionalized Medicinally Privileged 4-Aryl-1,4-dihydropyrano[2,3-c]-pyrazole-5-carbonitrile Scaffold
Ilovaisky A.I., Medvedev M.G., Merkulova V.M., Elinson M.N., Nikishin G.I.
Journal of Heterocyclic Chemistry, 2013
38.
Multicomponent assembling of salicylaldehydes, malononitrile, and 4-hydroxy-6-methyl-2H-pyran-2-one: A fast and efficient approach to medicinally relevant 2-amino-4H-chromene scaffold
Vereshchagin A.N., Elinson M.N., Ryzhkov F.V., Nasybullin R.F., Bobrovsky S.I., Goloveshkin A.S., Egorov M.P.
Comptes Rendus Chimie, 2015
40.
Elinson M.N., Medvedev M.G., Ilovaisky A.I., Merkulova V.M., Zaimovskaya T.A., Nikishin G.I.
Mendeleev Communications, 2013