Home / Publications / Synthesis and antimycobacterial activity of novel purin-6-yl and 2-aminopurin-6-yl conjugates with (S)-aspartic and (S)-glutamic acids

Synthesis and antimycobacterial activity of novel purin-6-yl and 2-aminopurin-6-yl conjugates with (S)-aspartic and (S)-glutamic acids

Dmitry Andreevich Gruzdev 1
Dmitry Andreevich Gruzdev
Evgeny Nikolaevich Chulakov 1
Evgeny Nikolaevich Chulakov
Galina L'vovna Levit 1
Galina L'vovna Levit
Marionella Anatol'evna Kravchenko 2
Marionella Anatol'evna Kravchenko
Victor Pavlovich Krasnov 1
Victor Pavlovich Krasnov
Published 2017-10-30
CommunicationVolume 27, Issue 6, 547-549
15
Share
Cite this
GOST
 | 
Cite this
GOST Copy
Gruzdev D. A. et al. Synthesis and antimycobacterial activity of novel purin-6-yl and 2-aminopurin-6-yl conjugates with (S)-aspartic and (S)-glutamic acids // Mendeleev Communications. 2017. Vol. 27. No. 6. pp. 547-549.
GOST all authors (up to 50) Copy
Gruzdev D. A., Chulakov E. N., Levit G. L., Kravchenko M. A., Krasnov V. P., Charushin V. N. Synthesis and antimycobacterial activity of novel purin-6-yl and 2-aminopurin-6-yl conjugates with (S)-aspartic and (S)-glutamic acids // Mendeleev Communications. 2017. Vol. 27. No. 6. pp. 547-549.
RIS
 | 
Cite this
RIS Copy
TY - JOUR
DO - 10.1016/j.mencom.2017.11.002
UR - https://mendcomm.colab.ws/publications/10.1016/j.mencom.2017.11.002
TI - Synthesis and antimycobacterial activity of novel purin-6-yl and 2-aminopurin-6-yl conjugates with (S)-aspartic and (S)-glutamic acids
T2 - Mendeleev Communications
AU - Gruzdev, Dmitry Andreevich
AU - Chulakov, Evgeny Nikolaevich
AU - Levit, Galina L'vovna
AU - Kravchenko, Marionella Anatol'evna
AU - Krasnov, Victor Pavlovich
AU - Charushin, Valery Nikolaevich
PY - 2017
DA - 2017/10/30
PB - Mendeleev Communications
SP - 547-549
IS - 6
VL - 27
ER -
BibTex
 | 
Cite this
BibTex (up to 50 authors) Copy
@article{2017_Gruzdev,
author = {Dmitry Andreevich Gruzdev and Evgeny Nikolaevich Chulakov and Galina L'vovna Levit and Marionella Anatol'evna Kravchenko and Victor Pavlovich Krasnov and Valery Nikolaevich Charushin},
title = {Synthesis and antimycobacterial activity of novel purin-6-yl and 2-aminopurin-6-yl conjugates with (S)-aspartic and (S)-glutamic acids},
journal = {Mendeleev Communications},
year = {2017},
volume = {27},
publisher = {Mendeleev Communications},
month = {Oct},
url = {https://mendcomm.colab.ws/publications/10.1016/j.mencom.2017.11.002},
number = {6},
pages = {547--549},
doi = {10.1016/j.mencom.2017.11.002}
}
MLA
Cite this
MLA Copy
Gruzdev, Dmitry Andreevich, et al. “Synthesis and antimycobacterial activity of novel purin-6-yl and 2-aminopurin-6-yl conjugates with (S)-aspartic and (S)-glutamic acids.” Mendeleev Communications, vol. 27, no. 6, Oct. 2017, pp. 547-549. https://mendcomm.colab.ws/publications/10.1016/j.mencom.2017.11.002.

Abstract

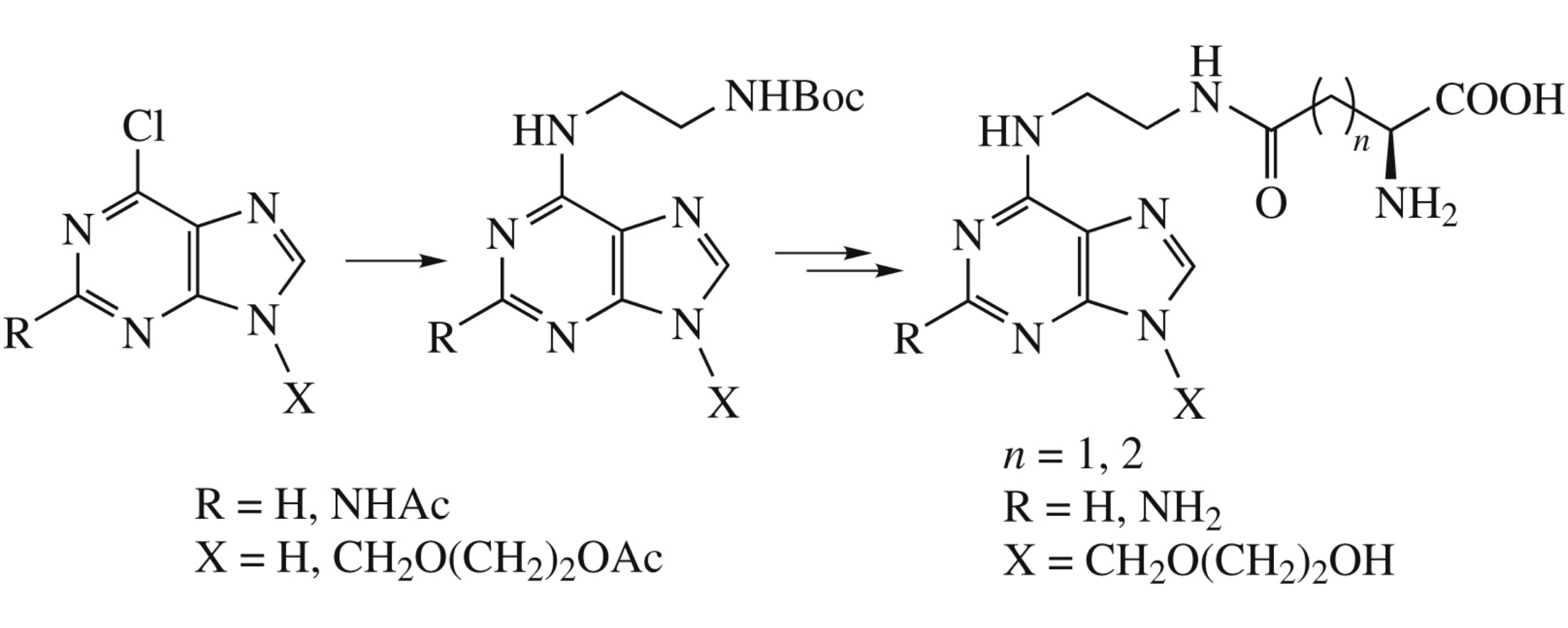
Novel purine and 2-aminopurine conjugates containing fragments of (S)-aspartic and (S)-glutamic acids with free α-functional groups attached via a 1,2-ethylenediamine linker at 6-position of the purine core, as well as their analogues with N9-(2-hydroxyethoxy)methyl substituent have been synthesized. Among the conjugates obtained, compounds exhibiting a significant antimycobacterial activity have been found.

References

2.
Krasnov V.P., Gruzdev D.A., Chulakov E.N., Vigorov A.Y., Musiyak V.V., Matveeva T.V., Tumashov A.A., Levit G.L., Charushin V.N.
Mendeleev Communications, 2015
3.
Eletskaya B.Z., Konstantinova I.D., Paramonov A.S., Esipov R.S., Gruzdev D.A., Vigorov A.Y., Levit G.L., Miroshnikov A.I., Krasnov V.P., Charushin V.N.
Mendeleev Communications, 2016
6.
10.1016/j.mencom.2017.11.002_bib0030
Al-Harbi
Acta Pol. Pharm., 2012
7.
New 7-Methylguanine Derivatives Targeting the Influenza Polymerase PB2 Cap-Binding Domain
Pautus S., Sehr P., Lewis J., Fortuné A., Wolkerstorfer A., Szolar O., Guilligay D., Lunardi T., Décout J., Cusack S.
Journal of Medicinal Chemistry, 2013
8.
Aminopurine and aminoquinazoline scaffolds for development of potential dengue virus inhibitors
Venkatesham A., Saudi M., Kaptein S., Neyts J., Rozenski J., Froeyen M., Van Aerschot A.
European Journal of Medicinal Chemistry, 2017
9.
Fludarabine
Ross S.R., McTavish D., Faulds D.
Drugs, 1993
10.
Pharmacological and Clinical Studies on Purine Nucleoside Analogs- New Anticancer Agents
Lech-Maranda E., Korycka A., Robak T.
Mini-Reviews in Medicinal Chemistry, 2006
11.
Nelarabine in the Treatment of Refractory T-Cell Malignancies
Roecker A.M., Stockert A., Kisor D.F.
Clinical Medicine Insights: Oncology, 2010
12.
Synthesis of novel substituted purine derivatives and identification of the cell death mechanism
Demir Z., Guven E.B., Ozbey S., Kazak C., Atalay R.C., Tuncbilek M.
European Journal of Medicinal Chemistry, 2015
14.
Fighting tuberculosis: An old disease with new challenges
Tripathi R.P., Tewari N., Dwivedi N., Tiwari V.K.
Medicinal Research Reviews, 2005
15.
Theophylline-7-acetic acid derivatives with amino acids as anti-tuberculosis agents
Voynikov Y., Valcheva V., Momekov G., Peikov P., Stavrakov G.
Bioorganic and Medicinal Chemistry Letters, 2014
16.
Design, Synthesis, and Antimycobacterial Activity of Novel Theophylline-7-Acetic Acid Derivatives With Amino Acid Moieties
Stavrakov G., Valcheva V., Voynikov Y., Philipova I., Atanasova M., Konstantinov S., Peikov P., Doytchinova I.
Chemical Biology and Drug Design, 2015
17.
Vigorov A.Y., Krasnov V.P., Gruzdev D.A., Men'shikova A.A., Demin A.M., Levit G.L., Charushin V.N.
Mendeleev Communications, 2014
18.
Synthesis and antimycobacterial activity of N -(2-aminopurin-6-yl) and N -(purin-6-yl) amino acids and dipeptides
Krasnov V.P., Vigorov A.Y., Musiyak V.V., Nizova I.A., Gruzdev D.A., Matveeva T.V., Levit G.L., Kravchenko M.A., Skornyakov S.N., Bekker O.B., Danilenko V.N., Charushin V.N.
Bioorganic and Medicinal Chemistry Letters, 2016
19.
N-alkylnitrosocarbamoylamino acids. Synthesis, properties, and antitumor activity (a review)
Levit G.L., Radina L.B., Krasnov V.P.
Pharmaceutical Chemistry Journal, 1995
21.
Prodrug approach: An overview of recent cases
Abet V., Filace F., Recio J., Alvarez-Builla J., Burgos C.
European Journal of Medicinal Chemistry, 2017
22.
Antituberculosis Drug Research: A Critical Overview
Beena, Rawat D.S.
Medicinal Research Reviews, 2012
23.
Identification of a new antitubercular drug candidate, SQ109, from a combinatorial library of 1,2-ethylenediamines
Protopopova M., Hanrahan C., Nikonenko B., Samala R., Chen P., Gearhart J., Einck L., Nacy C.A.
Journal of Antimicrobial Chemotherapy, 2005
24.
Antibacterial activity of adamantyl substituted cyclohexane diamine derivatives against methicillin resistant Staphylococcus aureus and Mycobacterium tuberculosis
Beena, Kumar D., Kumbukgolla W., Jayaweera S., Bailey M., Alling T., Ollinger J., Parish T., Rawat D.S.
RSC Advances, 2014
25.
Early phase evaluation of SQ109 alone and in combination with rifampicin in pulmonary TB patients
Heinrich N., Dawson R., du Bois J., Narunsky K., Horwith G., Phipps A.J., Nacy C.A., Aarnoutse R.E., Boeree M.J., Gillespie S.H., Venter A., Henne S., Rachow A., Phillips P.P., Hoelscher M., et. al.
Journal of Antimicrobial Chemotherapy, 2015
26.
Structure−Activity Relationships of Adenine and Deazaadenine Derivatives as Ligands for Adenine Receptors, a New Purinergic Receptor Family
Borrmann T., Abdelrahman A., Volpini R., Lambertucci C., Alksnis E., Gorzalka S., Knospe M., Schiedel A.C., Cristalli G., Müller C.E.
Journal of Medicinal Chemistry, 2009
27.
Synthesis of ortho-carboranyl derivatives of (S)-asparagine and (S)-glutamine
Gruzdev D.A., Levit G.L., Olshevskaya V.A., Krasnov V.P.
Russian Journal of Organic Chemistry, 2017