Home / Publications / Acetonylation of 5(3)-(1H-tetrazol-1-yl)-3(5)-nitro-1H-pyrazole

Acetonylation of 5(3)-(1H-tetrazol-1-yl)-3(5)-nitro-1H-pyrazole

Alexander Vasilyvich Kormanov 1
Alexander Vasilyvich Kormanov
Tatiana Konstantinovna Shkineva 1
Tatiana Konstantinovna Shkineva
Igor L'vovich Dalinger 1
Igor L'vovich Dalinger
Published 2017-09-07
CommunicationVolume 27, Issue 5, 462-463
7
Share
Cite this
GOST
 | 
Cite this
GOST Copy
Kormanov A. V., Shkineva T. K., Dalinger I. L. Acetonylation of 5(3)-(1H-tetrazol-1-yl)-3(5)-nitro-1H-pyrazole // Mendeleev Communications. 2017. Vol. 27. No. 5. pp. 462-463.
GOST all authors (up to 50) Copy
Kormanov A. V., Shkineva T. K., Dalinger I. L. Acetonylation of 5(3)-(1H-tetrazol-1-yl)-3(5)-nitro-1H-pyrazole // Mendeleev Communications. 2017. Vol. 27. No. 5. pp. 462-463.
RIS
 | 
Cite this
RIS Copy
TY - JOUR
DO - 10.1016/j.mencom.2017.09.010
UR - https://mendcomm.colab.ws/publications/10.1016/j.mencom.2017.09.010
TI - Acetonylation of 5(3)-(1H-tetrazol-1-yl)-3(5)-nitro-1H-pyrazole
T2 - Mendeleev Communications
AU - Kormanov, Alexander Vasilyvich
AU - Shkineva, Tatiana Konstantinovna
AU - Dalinger, Igor L'vovich
PY - 2017
DA - 2017/09/07
PB - Mendeleev Communications
SP - 462-463
IS - 5
VL - 27
ER -
BibTex
 | 
Cite this
BibTex (up to 50 authors) Copy
@article{2017_Kormanov,
author = {Alexander Vasilyvich Kormanov and Tatiana Konstantinovna Shkineva and Igor L'vovich Dalinger},
title = {Acetonylation of 5(3)-(1H-tetrazol-1-yl)-3(5)-nitro-1H-pyrazole},
journal = {Mendeleev Communications},
year = {2017},
volume = {27},
publisher = {Mendeleev Communications},
month = {Sep},
url = {https://mendcomm.colab.ws/publications/10.1016/j.mencom.2017.09.010},
number = {5},
pages = {462--463},
doi = {10.1016/j.mencom.2017.09.010}
}
MLA
Cite this
MLA Copy
Kormanov, Alexander Vasilyvich, et al. “Acetonylation of 5(3)-(1H-tetrazol-1-yl)-3(5)-nitro-1H-pyrazole.” Mendeleev Communications, vol. 27, no. 5, Sep. 2017, pp. 462-463. https://mendcomm.colab.ws/publications/10.1016/j.mencom.2017.09.010.

Abstract

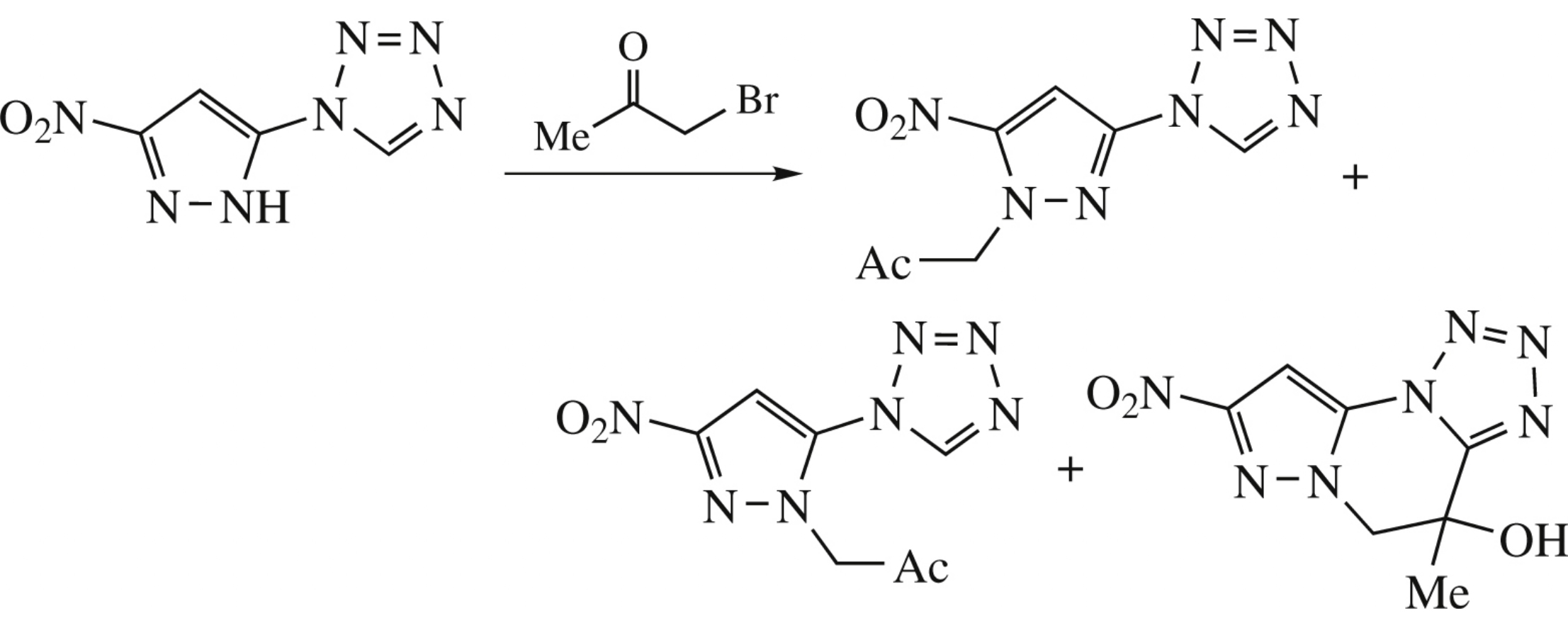
N-Acetonylation of 5(3)-(1H-tetrazol-1-yl)-3(5)-nitro-1H-pyrazole with bromoacetone in the presence of NaHCO3 at 60°C gave, along with expected isomeric N-acetonyl derivatives, a tricyclic product of the intramolecular electrophilic attack at the carbon atom of the tetrazole cycle.

References

3.
Synthesis of 6-(N-azolyl)cyclohex-2-enones fromN-acetonylazoles
Samet A.V., Yamskov A.N., Kachala V.V., Semenov V.V.
Russian Chemical Bulletin, 1999
6.
Synthesis and structure of 2-amino- 5-azolyl-3-cyano-4H-pyrans
Samet A.V., Shestopalov A.M., Struchkova M.I., Semenov V.V., Nesterov V.N., Struchkov Y.T.
Russian Chemical Bulletin, 1996
10.
Mechanism of nitration of nitrogen-containing heterocyclic N-acetonyl derivatives. General approach to the synthesis of N-dinitromethylazoles
Semenov V.V., Shevelev S.A., Bruskin A.B., Kanishchev M.I., Baryshnikov A.T.
Russian Chemical Bulletin, 2009
11.
Synthetic routes towards tetrazolium and triazolium dinitromethylides
Katritzky A.R., Sommen G.L., Gromova A.V., Witek R.M., Steel P.J., Damavarapu R.
Chemistry of Heterocyclic Compounds, 2005
12.
Novel Melt-Castable Energetic Pyrazole: A Pyrazolyl-Furazan Framework Bearing Five Nitro Groups
Dalinger I.L., Suponitsky K.Y., Pivkina A.N., Sheremetev A.B.
Propellants, Explosives, Pyrotechnics, 2016
13.
Novel Highly Energetic Pyrazoles:N-Trinitromethyl-Substituted Nitropyrazoles
Dalinger I.L., Vatsadze I.A., Shkineva T.K., Kormanov A.V., Struchkova M.I., Suponitsky K.Y., Bragin A.A., Monogarov K.A., Sinditskii V.P., Sheremetev A.B.
Chemistry - An Asian Journal, 2015
14.
5-substituted 3-nitro-1-trinitromethyl-1,2,4-triazoles
Kofman T.P., Kartseva G.Y., Glazkova E.Y.
Russian Journal of Organic Chemistry, 2008
15.
Alkylation of C- and N-aminotriazoles with α-iodoketones
Shagun L.G., Dorofeev I.A., Yarosh N.O., Zhilitskaya L.V., Larina L.I., Voronkov M.G.
Russian Journal of Organic Chemistry, 2013
16.
Nitropyrazoles
Shevelev S.A., Dalinger I.L., Shkineva T.K., Ugrak B.I., Gulevskaya V.I., Kanishchev M.I.
Russian Chemical Bulletin, 1993
17.
Investigation of the alkylation of nitroazoles with ?-haloketones by13C,15N, and14N NMR
Semenov V.V., Ugrak B.I., Shevelev S.A., Kanishchev M.I., Baryshnikov A.T., Fainzil'berg A.A.
Russian Chemical Bulletin, 1990
18.
N-Alkylation and N-amination of isomeric nitro derivatives of 3-methyl-4-(1H-pyrazol-3(5)-yl)furazan
Dalinger I.L., Kormanov A.V., Vatsadze I.A., Shkineva T.K., Kozeev A.M., Averkiev B.B., Sheremetev A.B.
Chemistry of Heterocyclic Compounds, 2015
19.
Synthesis of 1- and 5-(pyrazolyl)tetrazole amino and nitro derivatives
Dalinger I.L., Kormanov A.V., Vatsadze I.A., Serushkina O.V., Shkineva T.K., Suponitsky K.Y., Pivkina A.N., Sheremetev A.B.
Chemistry of Heterocyclic Compounds, 2016
20.
Organometallic Tetrazole Derivatives: Preparation and Application to Organic Synthesis
Voitekhovich S.V., Gaponik P.N., Koldobskii G.I.
Russian Journal of Organic Chemistry, 2005
21.
10.1016/j.mencom.2017.09.010_bib0045
Ostrovskii
2008
24.
Application of 5-lithiotetrazoles in organic synthesis