Home / Publications / New multiblock copolymers of norbornene and 5-hydroxycyclooctene

New multiblock copolymers of norbornene and 5-hydroxycyclooctene

Yulia Igorevna Denisova 1
Yulia Igorevna Denisova
Mariya Leonidovna Gringolts 1
Mariya Leonidovna Gringolts
Alexei Valer'evich Roenko 1
Alexei Valer'evich Roenko
Georgiy Aleksandrovich Shandryuk 1
Georgiy Aleksandrovich Shandryuk
Evgenii Shmerovich Finkelshtein 1
Evgenii Shmerovich Finkelshtein
Yaroslav Viktorovich Kudryavtsev
Published 2017-06-29
CommunicationVolume 27, Issue 4, 416-418
16
Share
Cite this
GOST
 | 
Cite this
GOST Copy
Denisova Y. I. et al. New multiblock copolymers of norbornene and 5-hydroxycyclooctene // Mendeleev Communications. 2017. Vol. 27. No. 4. pp. 416-418.
GOST all authors (up to 50) Copy
Denisova Y. I., Gringolts M. L., Roenko A. V., Shandryuk G. A., Finkelshtein E. S., Kudryavtsev Y. V. New multiblock copolymers of norbornene and 5-hydroxycyclooctene // Mendeleev Communications. 2017. Vol. 27. No. 4. pp. 416-418.
RIS
 | 
Cite this
RIS Copy
TY - JOUR
DO - 10.1016/j.mencom.2017.07.034
UR - https://mendcomm.colab.ws/publications/10.1016/j.mencom.2017.07.034
TI - New multiblock copolymers of norbornene and 5-hydroxycyclooctene
T2 - Mendeleev Communications
AU - Denisova, Yulia Igorevna
AU - Gringolts, Mariya Leonidovna
AU - Roenko, Alexei Valer'evich
AU - Shandryuk, Georgiy Aleksandrovich
AU - Finkelshtein, Evgenii Shmerovich
AU - Kudryavtsev, Yaroslav Viktorovich
PY - 2017
DA - 2017/06/29
PB - Mendeleev Communications
SP - 416-418
IS - 4
VL - 27
ER -
BibTex
 | 
Cite this
BibTex (up to 50 authors) Copy
@article{2017_Denisova,
author = {Yulia Igorevna Denisova and Mariya Leonidovna Gringolts and Alexei Valer'evich Roenko and Georgiy Aleksandrovich Shandryuk and Evgenii Shmerovich Finkelshtein and Yaroslav Viktorovich Kudryavtsev},
title = {New multiblock copolymers of norbornene and 5-hydroxycyclooctene},
journal = {Mendeleev Communications},
year = {2017},
volume = {27},
publisher = {Mendeleev Communications},
month = {Jun},
url = {https://mendcomm.colab.ws/publications/10.1016/j.mencom.2017.07.034},
number = {4},
pages = {416--418},
doi = {10.1016/j.mencom.2017.07.034}
}
MLA
Cite this
MLA Copy
Denisova, Yulia Igorevna, et al. “New multiblock copolymers of norbornene and 5-hydroxycyclooctene.” Mendeleev Communications, vol. 27, no. 4, Jun. 2017, pp. 416-418. https://mendcomm.colab.ws/publications/10.1016/j.mencom.2017.07.034.

Abstract

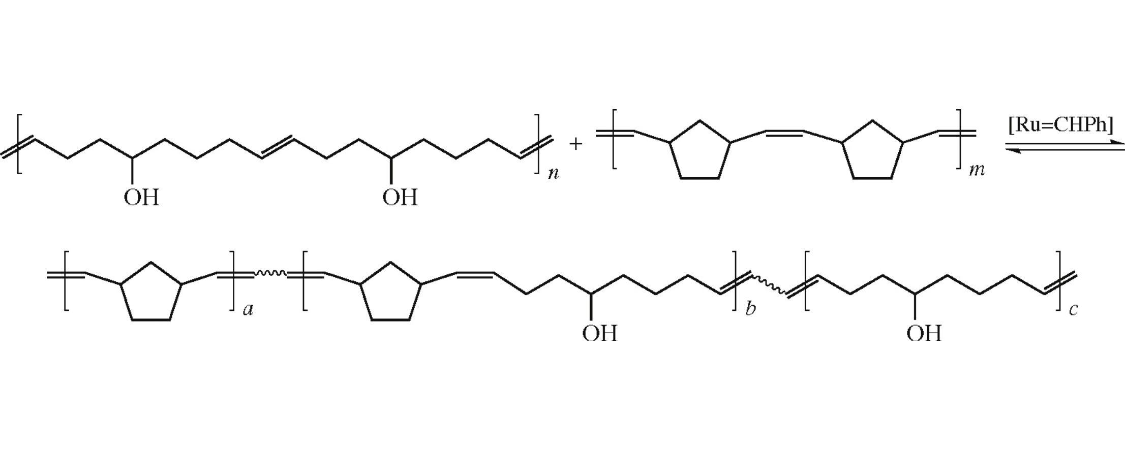
Cross-metathesis of 5-hydroxycyclooctene and norbornene homopolymers affords the multiblock copolymer possessing a broad range in the degree of blockiness (from 0.03 to 1).

References

1.
10.1016/j.mencom.2017.07.034_sbref0005a
Handbook of Metathesis, 2003
4.
10.1016/j.mencom.2017.07.034_sbref0005d
Olefin Metathesis Theory and Practice, 2014
6.
The ROMP toolbox upgraded
Leitgeb A., Wappel J., Slugovc C.
Polymer, 2010
7.
V. V. Afanasiev, A.V. Nizovtsev, T.M. Dolgina and N. B. Bespalova, Patent RU 2374269, 2008.
8.
R. V. Ashirov, G.S. Bozhenkova, S.A. Kiselev and M. K. Zamanova, Patent RU 2578593C1, 2014.
9.
Masoud S.M., Mailyan A.K., Peregudov A.S., Bruneau C., Osipov S.N.
Mendeleev Communications, 2016
12.
Metathesis-driven scrambling reactions between polybutadiene or naturally occurring polyisoprene and olefin-containing polyurethane
Ohishi T., Suyama K., Kamimura S., Sakada M., Imato K., Kawahara S., Takahara A., Otsuka H.
Polymer, 2015
13.
Synthesis of norbornene–cyclooctene copolymers by the cross-metathesis of polynorbornene with polyoctenamer
Gringolts M.L., Denisova Y.I., Shandryuk G.A., Krentsel L.B., Litmanovich A.D., Finkelshtein E.S., Kudryavtsev Y.V.
RSC Advances, 2015
14.
Regioselective cross metathesis for block and heterotelechelic polymer synthesis
Radlauer M.R., Matta M.E., Hillmyer M.A.
Polymer Chemistry, 2016
15.
10.1016/j.mencom.2017.07.034_bib0040
Platé
Polym. Sci., Ser. A, 2004
17.
Making Insoluble Polymer Networks Malleable via Olefin Metathesis
Lu Y., Tournilhac F., Leibler L., Guan Z.
Journal of the American Chemical Society, 2012
19.
In situ compatibilisation of alkenyl-terminated polymer blends using cross metathesis
Descour C., Macko T., Schreur-Piet I., Pepels M.P., Duchateau R.
RSC Advances, 2015
20.
10.1016/j.mencom.2017.07.034_bib0065
Olefin Metathesis and Metathesis Polymerization, 1997
21.
Linear Copolymers of Ethylene and Polar Vinyl Monomers via Olefin Metathesis−Hydrogenation:  Synthesis, Characterization, and Comparison to Branched Analogues
23.
Ring-opening metathesis polymerization of cyclooctene derivatives with chain transfer agents derived from glycerol carbonate
Diallo A.K., Annunziata L., Fouquay S., Michaud G., Simon F., Brusson J., Guillaume S.M., Carpentier J.
Polymer Chemistry, 2014
24.
Mechanism-Based Design of a ROMP Catalyst for Sequence-Selective Copolymerization
Bornand M., Chen P.
Angewandte Chemie - International Edition, 2005
25.
The Living ROMP oftrans-Cyclooctene
Walker R., Conrad R.M., Grubbs R.H.
Macromolecules, 2009
27.
Ring-opening metathesis polymerization of functionalized cyclooctene by a ruthenium-based catalyst in ionic liquid
Han H., Chen F., Yu J., Dang J., Ma Z., Zhang Y., Xie M.
Journal of Polymer Science, Part A: Polymer Chemistry, 2007
28.
Peculiarities of crystallization in the multiblock copolymers of norbornene and cyclooctene
Shandryuk G.A., Denisova Y.I., Gringolts M.L., Krentsel L.B., Litmanovich A.D., Finkelshtein E.S., Kudryavtsev Y.V.
European Polymer Journal, 2017
30.
Borrowing hydrogen: a catalytic route to C–C bond formation from alcohols
Edwards M.G., Jazzar R.F., Paine B.M., Shermer D.J., Whittlesey M.K., Williams J.M., Edney D.D.
Chemical Communications, 2004
31.
Ligand manipulation and design for ruthenium metathesis and tandem metathesis-hydrogenation catalysis
Fogg D.E., Amoroso D., Drouin S.D., Snelgrove J., Conrad J., Zamanian F.
Journal of Molecular Catalysis A Chemical, 2002