Home / Publications / Siloxane derivatives of 2-mercaptobenzothiazole

Siloxane derivatives of 2-mercaptobenzothiazole

Larisa Vladimirovna Zhilitskaya 1
Larisa Vladimirovna Zhilitskaya
Nina Olegovna Yarosh 1
Nina Olegovna Yarosh
Lyudmila Gerasimovna Shagun 1
Lyudmila Gerasimovna Shagun
Ivan Aphanas'evich Dorofeev 1
Ivan Aphanas'evich Dorofeev
Lyudmila Ivanovna Larina 1
Lyudmila Ivanovna Larina
Published 2017-06-29
CommunicationVolume 27, Issue 4, 352-354
17
Share
Cite this
GOST
 | 
Cite this
GOST Copy
Zhilitskaya L. V. et al. Siloxane derivatives of 2-mercaptobenzothiazole // Mendeleev Communications. 2017. Vol. 27. No. 4. pp. 352-354.
GOST all authors (up to 50) Copy
Zhilitskaya L. V., Yarosh N. O., Shagun L. G., Dorofeev I. A., Larina L. I. Siloxane derivatives of 2-mercaptobenzothiazole // Mendeleev Communications. 2017. Vol. 27. No. 4. pp. 352-354.
RIS
 | 
Cite this
RIS Copy
TY - JOUR
DO - 10.1016/j.mencom.2017.07.010
UR - https://mendcomm.colab.ws/publications/10.1016/j.mencom.2017.07.010
TI - Siloxane derivatives of 2-mercaptobenzothiazole
T2 - Mendeleev Communications
AU - Zhilitskaya, Larisa Vladimirovna
AU - Yarosh, Nina Olegovna
AU - Shagun, Lyudmila Gerasimovna
AU - Dorofeev, Ivan Aphanas'evich
AU - Larina, Lyudmila Ivanovna
PY - 2017
DA - 2017/06/29
PB - Mendeleev Communications
SP - 352-354
IS - 4
VL - 27
ER -
BibTex
 | 
Cite this
BibTex (up to 50 authors) Copy
@article{2017_Zhilitskaya,
author = {Larisa Vladimirovna Zhilitskaya and Nina Olegovna Yarosh and Lyudmila Gerasimovna Shagun and Ivan Aphanas'evich Dorofeev and Lyudmila Ivanovna Larina},
title = {Siloxane derivatives of 2-mercaptobenzothiazole},
journal = {Mendeleev Communications},
year = {2017},
volume = {27},
publisher = {Mendeleev Communications},
month = {Jun},
url = {https://mendcomm.colab.ws/publications/10.1016/j.mencom.2017.07.010},
number = {4},
pages = {352--354},
doi = {10.1016/j.mencom.2017.07.010}
}
MLA
Cite this
MLA Copy
Zhilitskaya, Larisa Vladimirovna, et al. “Siloxane derivatives of 2-mercaptobenzothiazole.” Mendeleev Communications, vol. 27, no. 4, Jun. 2017, pp. 352-354. https://mendcomm.colab.ws/publications/10.1016/j.mencom.2017.07.010.

Abstract

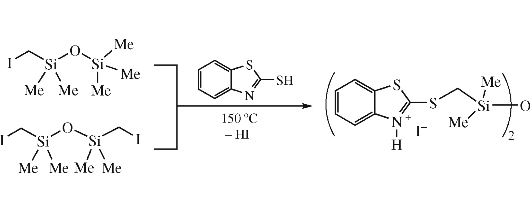
First organosilicon captax derivatives were obtained from 2-mercaptobenzothiazole and 1-(iodomethyl)-1,1,3,3,3-pentamethyl-or 1,3-bis(iodomethyl)-1,1,3,3-tetramethyldisiloxanes in the absence or in the presence of bases.

References

1.
New Synthesis and Biological Evaluation of Benzothiazole Derivates as Antifungal Agents
Herrera Cano N., Ballari M.S., López A.G., Santiago A.N.
Journal of Agricultural and Food Chemistry, 2015
4.
The first low μM SecA inhibitors
Chen W., Huang Y., Gundala S.R., Yang H., Li M., Tai P.C., Wang B.
Bioorganic and Medicinal Chemistry, 2010
5.
Design, Synthesis, and 3D-QSAR Analysis of Novel 1,3,4-Oxadiazol-2(3H)-ones as Protoporphyrinogen Oxidase Inhibitors
Jiang L., Tan Y., Zhu X., Wang Z., Zuo Y., Chen Q., Xi Z., Yang G.
Journal of Agricultural and Food Chemistry, 2009
6.
Synthesis, antioxidant properties and radioprotective effects of new benzothiazoles and thiadiazoles
Cressier D., Prouillac C., Hernandez P., Amourette C., Diserbo M., Lion C., Rima G.
Bioorganic and Medicinal Chemistry, 2009
7.
Synthesis and Biological Evaluation of 2-Mercapto-1,3-benzothiazole Derivatives with Potential Antimicrobial Activity
Franchini C., Muraglia M., Corbo F., Florio M.A., Di Mola A., Rosato A., Matucci R., Nesi M., van Bambeke F., Vitali C.
Archiv der Pharmazie, 2009
9.
Convenient Synthesis of Chloromethyl Thioaromatics
Ramadas K., Janarthanan N.
Synthetic Communications, 1999
10.
Synthesis and luminescent properties of lanthanide homoleptic mercaptothi(ox)azolate complexes: Molecular structure of Ln(mbt)3 (Ln = Eu, Er)
Katkova M.A., Borisov A.V., Fukin G.K., Baranov E.V., Averyushkin A.S., Vitukhnovsky A.G., Bochkarev M.N.
Inorganica Chimica Acta, 2006
13.
Mechanical and morphological study of biostable polyurethane heart valve leaflets explanted from sheep
Bernacca G.M., Straub I., Wheatley D.J.
Journal of Biomedical Materials Research, 2002
14.
10.1016/j.mencom.2017.07.010_sbref0020c
Hyde
J. Heart Valve Dis., 1999
15.
10.1016/j.mencom.2017.07.010_sbref0020d
Voronkov
Kremnii i zhizn (Silicon and Life), 1978
16.
10.1016/j.mencom.2017.07.010_sbref0020e
Hufnagel
Med. Instrum., 1977
18.
An easy and fast ultrasonic selective S-alkylation of hetaryl thiols at room temperature
Deligeorgiev T., Kaloyanova S., Lesev N., Vaquero J.J.
Ultrasonics Sonochemistry, 2010
19.
Ultrasound promoted synthesis of thioesters from 2-mercaptobenzoxa(thia)zoles
Duarte A., Cunico W., Pereira C.M., Flores A.F., Freitag R.A., Siqueira G.M.
Ultrasonics Sonochemistry, 2010
20.
Fly‐Ash‐Supported Synthesis of 2‐Mercaptobenzothiazole Derivatives under Microwave Irradiation
Narkhede H.P., More U.B., Dalal D.S., Pawar N.S., More D.H., Mahulikar P.P.
Synthetic Communications, 2007
22.
2-Mercaptobenzothiazole and its Derivatives: Syntheses, Reactions and Applications
Wu F., M. Hussein W., P. Ross B., P. McGeary R.
Current Organic Chemistry, 2012
24.
Shagun L.G., Dorofeev I.A., Zhilitskaya L.V., Larina L.I., Yarosh N.O., Klyba L.V., Sanzheeva E.R.
Mendeleev Communications, 2015
25.
Yarosh N.O., Zhilitskaya L.V., Shagun L.G., Dorofeev I.A., Larina L.I., Klyba L.V.
Mendeleev Communications, 2016
26.
10.1016/j.mencom.2017.07.010_bib0060
Voronkov
Siloksanovaya svyaz (Siloxane Bond), 1976