Home / Publications / Bulky ortho-disubstituted phenolates of magnesium, calcium and zinc: structural features and comparison of catalytic properties in polymerization of ɛ-caprolactone and rac-lactide

Bulky ortho-disubstituted phenolates of magnesium, calcium and zinc: structural features and comparison of catalytic properties in polymerization of ɛ-caprolactone and rac-lactide

14
Share
Cite this
GOST
 | 
Cite this
GOST Copy
Nifant'ev I. E. et al. Bulky ortho-disubstituted phenolates of magnesium, calcium and zinc: structural features and comparison of catalytic properties in polymerization of ɛ-caprolactone and rac-lactide // Mendeleev Communications. 2017. Vol. 27. No. 4. pp. 341-343.
GOST all authors (up to 50) Copy
Nifant'ev I. E., Minyaev M. E., Shlyakhtin A. V., Ivchenko P. V., Churakov A. V. Bulky ortho-disubstituted phenolates of magnesium, calcium and zinc: structural features and comparison of catalytic properties in polymerization of ɛ-caprolactone and rac-lactide // Mendeleev Communications. 2017. Vol. 27. No. 4. pp. 341-343.
RIS
 | 
Cite this
RIS Copy
TY - JOUR
DO - 10.1016/j.mencom.2017.07.006
UR - https://mendcomm.colab.ws/publications/10.1016/j.mencom.2017.07.006
TI - Bulky ortho-disubstituted phenolates of magnesium, calcium and zinc: structural features and comparison of catalytic properties in polymerization of ɛ-caprolactone and rac-lactide
T2 - Mendeleev Communications
AU - Nifant'ev, Ilya Eduardovich
AU - Minyaev, Mikhail Evgenievich
AU - Shlyakhtin, Andrei Vladimirovich
AU - Ivchenko, Pavel Vasil'evich
AU - Churakov, Andrei Viktorovich
PY - 2017
DA - 2017/06/29
PB - Mendeleev Communications
SP - 341-343
IS - 4
VL - 27
ER -
BibTex
 | 
Cite this
BibTex (up to 50 authors) Copy
@article{2017_Nifant'ev,
author = {Ilya Eduardovich Nifant'ev and Mikhail Evgenievich Minyaev and Andrei Vladimirovich Shlyakhtin and Pavel Vasil'evich Ivchenko and Andrei Viktorovich Churakov},
title = {Bulky ortho-disubstituted phenolates of magnesium, calcium and zinc: structural features and comparison of catalytic properties in polymerization of ɛ-caprolactone and rac-lactide},
journal = {Mendeleev Communications},
year = {2017},
volume = {27},
publisher = {Mendeleev Communications},
month = {Jun},
url = {https://mendcomm.colab.ws/publications/10.1016/j.mencom.2017.07.006},
number = {4},
pages = {341--343},
doi = {10.1016/j.mencom.2017.07.006}
}
MLA
Cite this
MLA Copy
Nifant'ev, Ilya Eduardovich, et al. “Bulky ortho-disubstituted phenolates of magnesium, calcium and zinc: structural features and comparison of catalytic properties in polymerization of ɛ-caprolactone and rac-lactide.” Mendeleev Communications, vol. 27, no. 4, Jun. 2017, pp. 341-343. https://mendcomm.colab.ws/publications/10.1016/j.mencom.2017.07.006.

Abstract

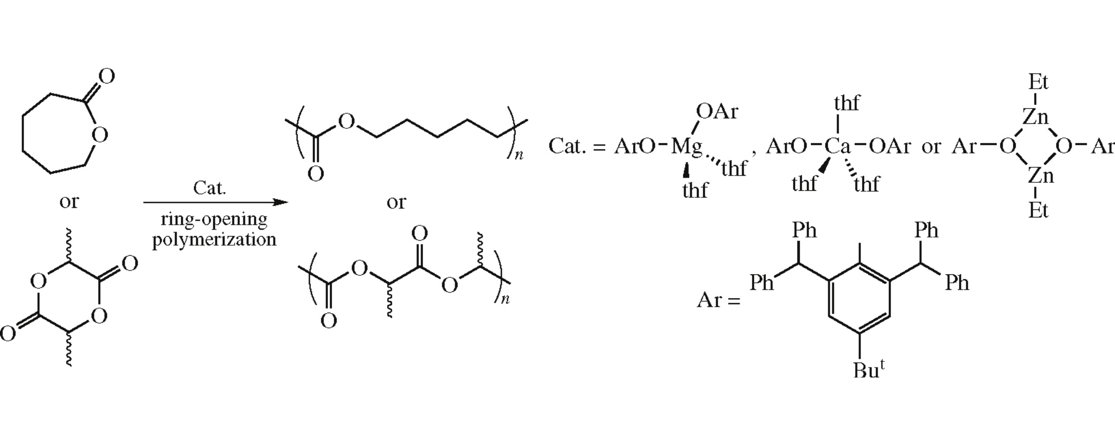
Complexes of Mg, Ca and Zn based on sterically hindered 4-tert-butyl-2,6-bis(diphenylmethyl)phenol were synthesized and tested as catalysts of ring-opening polymerization of ɛ-caprolactone and rac-lactide.

References

2.
Complexes of Mg, Ca and Zn as homogeneous catalysts for lactide polymerization
Wheaton C.A., Hayes P.G., Ireland B.J.
Dalton Transactions, 2009
6.
Synthesis, Characterization, and Catalytic Studies of (Aryloxido)magnesium Complexes
Ejfler J., Krauzy-Dziedzic K., Szafert S., Jerzykiewicz L.B., Sobota P.
European Journal of Inorganic Chemistry, 2010
8.
‘Immortal’ ring-opening polymerization of ω-pentadecalactone by Mg(BHT)2(THF)2
Wilson J.A., Hopkins S.A., Wright P.M., Dove A.P.
Polymer Chemistry, 2014
9.
Monomeric and dimeric magnesium mono-BHT complexes as effective ROP catalysts
Nifant'ev I.E., Shlyakhtin A.V., Tavtorkin A.N., Ivchenko P.V., Borisov R.S., Churakov A.V.
Catalysis Communications, 2016
10.
ε-Caprolactone polymerization under air by the biocatalyst: Magnesium 2,6-di-tert-butyl-4-methylphenoxide
Fang H., Lai P., Chen J., Hsu S.C., Peng W., Ou S., Lai Y., Chen Y., Chung H., Chen Y., Huang T., Wu B., Chen H.
Journal of Polymer Science, Part A: Polymer Chemistry, 2012
12.
3d Early Transition Metal Complexes Supported by a New Sterically Demanding Aryloxide Ligand
Searles K., Tran B.L., Pink M., Chen C., Mindiola D.J.
Inorganic Chemistry, 2013
13.
Binary role of an ylide in formation of a terminal methylidene complex of niobium
Searles K., Keijzer K., Chen C., Baik M., Mindiola D.J.
Chemical Communications, 2014
14.
Niobium-nitrides derived from nitrogen splitting
Searles K., Carroll P.J., Chen C., Pink M., Mindiola D.J.
Chemical Communications, 2015
16.
Anionic and Mononuclear Phosphinidene and Imide Complexes of Niobium
Searles K., Carroll P.J., Mindiola D.J.
Organometallics, 2015
17.
Formation, Structures, and Reactions of Calcium and Barium Mono(alkoxide) Complexes
Tesh K.F., Burkey D.J., Hanusa T.P.
Journal of the American Chemical Society, 1994
19.
{nBuMg(OR)}2 und {Mg(OR)2}2 (R = 2, 4, 6-tBu3C6H2) - sterisch überfrachtete Magnesiumalkoholate
Flörke U., Henkel G., Kuhn A., Kuhn N., Laufer S., Maichle-Mößmer C.
Zeitschrift fur Anorganische und Allgemeine Chemie, 2012
20.
Precursor Structural Influences on the Final ZnO Nanoparticle Morphology from a Novel Family of Structurally Characterized Zinc Alkoxy Alkyl Precursors
Boyle T.J., Bunge S.D., Andrews N.L., Matzen L.E., Sieg K., Rodriguez M.A., Headley T.J.
Chemistry of Materials, 2004
21.
Facile and Efficient Reduction of Ketones in the Presence of Zinc Catalysts Modified by Phenol Ligands
Enthaler S., Eckhardt B., Inoue S., Irran E., Driess M.
Chemistry - An Asian Journal, 2010
22.
Synthesis and characterization of novel quasiaromatic zinc-sulfur aggregates and related zinc-oxygen complexes
Olmstead M.M., Power P.P., Shoner S.C.
Journal of the American Chemical Society, 1991
24.
Single-Site Catalysts for Ring-Opening Polymerization:  Synthesis of Heterotactic Poly(lactic acid) from rac-Lactide
Cheng M., Attygalle A.B., Lobkovsky E.B., Coates G.W.
Journal of the American Chemical Society, 1999