Home / Publications / Conjugates of natural chlorins with cyclen as chelators of transition metals

Conjugates of natural chlorins with cyclen as chelators of transition metals

Mikhail Alexandrovich Grin 1
Mikhail Alexandrovich Grin
Sergei Sergeyevich Brusov 1
Sergei Sergeyevich Brusov
Ekaterina Yu Shchepelina 1
Ekaterina Yu Shchepelina
Philipp Valeryevich Ponomarev 1
Philipp Valeryevich Ponomarev
Maria K Khrenova 1
Maria K Khrenova
Alexander A Smirnov 1
Alexander A Smirnov
Viktoriya Sergeevna Lebedeva 1
Viktoriya Sergeevna Lebedeva
Andrey Fedorovich Mironov 1
Andrey Fedorovich Mironov
Published 2017-06-29
CommunicationVolume 27, Issue 4, 338-340
6
Share
Cite this
GOST
 | 
Cite this
GOST Copy
Grin M. A. et al. Conjugates of natural chlorins with cyclen as chelators of transition metals // Mendeleev Communications. 2017. Vol. 27. No. 4. pp. 338-340.
GOST all authors (up to 50) Copy
Grin M. A., Brusov S. S., Shchepelina E. Yu., Ponomarev P. V., Khrenova M. K., Smirnov A. A., Lebedeva V. S., Mironov A. F. Conjugates of natural chlorins with cyclen as chelators of transition metals // Mendeleev Communications. 2017. Vol. 27. No. 4. pp. 338-340.
RIS
 | 
Cite this
RIS Copy
TY - JOUR
DO - 10.1016/j.mencom.2017.07.005
UR - https://mendcomm.colab.ws/publications/10.1016/j.mencom.2017.07.005
TI - Conjugates of natural chlorins with cyclen as chelators of transition metals
T2 - Mendeleev Communications
AU - Grin, Mikhail Alexandrovich
AU - Brusov, Sergei Sergeyevich
AU - Shchepelina, Ekaterina Yu
AU - Ponomarev, Philipp Valeryevich
AU - Khrenova, Maria K
AU - Smirnov, Alexander A
AU - Lebedeva, Viktoriya Sergeevna
AU - Mironov, Andrey Fedorovich
PY - 2017
DA - 2017/06/29
PB - Mendeleev Communications
SP - 338-340
IS - 4
VL - 27
ER -
BibTex
 | 
Cite this
BibTex (up to 50 authors) Copy
@article{2017_Grin,
author = {Mikhail Alexandrovich Grin and Sergei Sergeyevich Brusov and Ekaterina Yu Shchepelina and Philipp Valeryevich Ponomarev and Maria K Khrenova and Alexander A Smirnov and Viktoriya Sergeevna Lebedeva and Andrey Fedorovich Mironov},
title = {Conjugates of natural chlorins with cyclen as chelators of transition metals},
journal = {Mendeleev Communications},
year = {2017},
volume = {27},
publisher = {Mendeleev Communications},
month = {Jun},
url = {https://mendcomm.colab.ws/publications/10.1016/j.mencom.2017.07.005},
number = {4},
pages = {338--340},
doi = {10.1016/j.mencom.2017.07.005}
}
MLA
Cite this
MLA Copy
Grin, Mikhail Alexandrovich, et al. “Conjugates of natural chlorins with cyclen as chelators of transition metals.” Mendeleev Communications, vol. 27, no. 4, Jun. 2017, pp. 338-340. https://mendcomm.colab.ws/publications/10.1016/j.mencom.2017.07.005.

Abstract

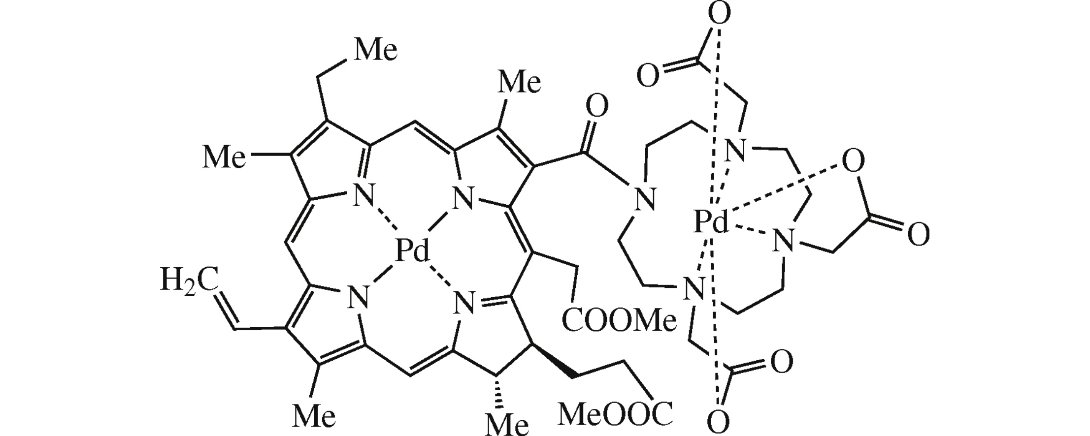
Novel herein synthesized conjugate of chlorin e6 methyl ester with cyclen, as well as its mono- and dipalladium complexes, are regarded in view of their use in therapy and diagnostics.

References

1.
Yakushev A.A., Averin A.D., Maloshitskaya O.A., Syrbu S.A., Koifman O.I., Beletskaya I.P.
Mendeleev Communications, 2016
2.
Fluorescence diagnostic imaging in patients with acne
Dobrev H.
Photodermatology Photoimmunology and Photomedicine, 2010
3.
Lanthanide porphyrin complexes
Mironov A.F.
Russian Chemical Reviews, 2013
4.
10.1016/j.mencom.2017.07.005_bib0020
Rumyantseva
Vestnik MITKhT, 2014
5.
Design of Porphyrin-dota-Like Scaffolds as All-in-One Multimodal Heterometallic Complexes for Medical Imaging
Eggenspiller A., Michelin C., Desbois N., Richard P., Barbe J., Denat F., Licona C., Gaiddon C., Sayeh A., Choquet P., Gros C.P.
European Journal of Organic Chemistry, 2013
7.
Gadolinium(III) Chelates as MRI Contrast Agents:  Structure, Dynamics, and Applications
Caravan P., Ellison J.J., McMurry T.J., Lauffer R.B.
Chemical Reviews, 1999
8.
High Relaxivity Confined to a Small Molecular Space: A Metallostar-Based, Potential MRI Contrast Agent
Livramento J.B., Tóth É., Sour A., Borel A., Merbach A.E., Ruloff R.
Angewandte Chemie - International Edition, 2004
10.
High-relaxivity MRI contrast agents: where coordination chemistry meets medical imaging.
Werner E., Datta A., Jocher C., Raymond K.
Angewandte Chemie - International Edition, 2008
11.
Synthesis of Multimeric MR Contrast Agents for Cellular Imaging
Song Y., Kohlmeir E.K., Meade T.J.
Journal of the American Chemical Society, 2008
13.
Tetra-p-aminophenylporphyrin conjugated with Gd-DTPA: Tumor-specific contrast agent for MR imaging
Hindré F., Plouzennec M.L., de Certaines J.D., Foultier M.T., Patrice T., Simonneaux G.
Journal of Magnetic Resonance Imaging, 1993
14.
Synthesis and Characterization of New Porphyrazine-Gd(III) Conjugates as Multimodal MR Contrast Agents
Song Y., Zong H., Trivedi E.R., Vesper B.J., Waters E.A., Barrett A.G., Radosevich J.A., Hoffman B.M., Meade T.J.
Bioconjugate Chemistry, 2010
15.
Synthesis of Tumor-Avid Photosensitizer−Gd(III)DTPA Conjugates: Impact of the Number of Gadolinium Units in T1/T2 Relaxivity, Intracellular localization, and Photosensitizing Efficacy
Goswami L.N., White W.H., Spernyak J.A., Ethirajan M., Chen Y., Missert J.R., Morgan J., Mazurchuk R., Pandey R.K.
Bioconjugate Chemistry, 2010
16.
Lebedeva V.S., Karmova F.M., Toukach F.V., Mironov A.F.
Mendeleev Communications, 2015
18.
Synthesis of chlorins, bacteriochlorins and their tetraaza analogues
Dudkin S.V., Makarova E.A., Lukyanets E.A.
Russian Chemical Reviews, 2016
19.
Synthesis and spectral luminescent characteristics of the porphyrin complexes with the platinum group metals
Rumyantseva V.D., Ivanovskaya N.P., Konovalenko L.I., Tsukanov S.V., Mironov A.F., Osin N.S.
Russian Journal of Bioorganic Chemistry, 2008
20.
A. F. Mironov, Ross. Khim. Zh. (Zh. Ross. Khim. Ob-va im. D. I. Mendeleeva), 2006, no. 4, 61.(in Russian).
21.
Synthesis and study of chlorin and porphyrin dimers with ether linkage
22.
Spectroscopic (infrared, Raman, UV and NMR) analysis, Gaussian hybrid computational investigation (MEP maps/HOMO and LUMO) on cyclohexanone oxime
Ramalingam S., Karabacak M., Periandy S., Puviarasan N., Tanuja D.
Spectrochimica Acta - Part A: Molecular and Biomolecular Spectroscopy, 2012
23.
A. F. Mironov, R.I. Reshetnikov, M.A. Grin, R.E. Yakubovskaya, E.A. Plotnikova, N.B. Morozova, A.A. Tsygankov, A.V. Feofanov, D.E. Ermakova and A.V. Efremenko, Patent RU 2548675C2, 2015.
24.
Gadolinium-chlorin is potentially a new tumor specific MRI contrast agent
Kim J., Kim D., Kang M., Kim H., Kim J., Yu E., Jeong J.
Archives of Pharmacal Research, 2006
25.
In Vitro Heavy-Atom Effect of Palladium(II) and Platinum(II) Complexes of Pyrrolidine-Fused Chlorin in Photodynamic Therapy
Obata M., Hirohara S., Tanaka R., Kinoshita I., Ohkubo K., Fukuzumi S., Tanihara M., Yano S.
Journal of Medicinal Chemistry, 2009
26.
A. Sherts, I. Salomon, A. Brendis and Kh. Sheer, Patent RU 2234508, 2004.
27.
Photophysical properties of the new phosphorescent platinum(II) and palladium(II) complexes of benzoporphyrins and chlorins
Borisov S.M., Papkovsky D.B., Ponomarev G.V., DeToma A.S., Saf R., Klimant I.
Journal of Photochemistry and Photobiology A: Chemistry, 2009
28.
10.1016/j.mencom.2017.07.005_bib0100
Zamilatskov
Makrogeterotsikly /Macro-heterocycles, 2012
29.
10.1016/j.mencom.2017.07.005_bib0105
Li
J. Org. Chem., 2003
30.
Synthetic strategies for preparation of cyclen-based MRI contrast agents
Cakić N., Gündüz S., Rengarasu R., Angelovski G.
Tetrahedron Letters, 2015