Home / Publications / New derivatives of fluorine-containing phenazines

New derivatives of fluorine-containing phenazines

Tatjana I Filyakova 1
Tatjana I Filyakova
Vera Ivanovna Filyakova 1
Vera Ivanovna Filyakova
Alexander Ya Zapevalov 1
Alexander Ya Zapevalov
Mikhail Isaakovich Kodess 1, 2
Mikhail Isaakovich Kodess
Pavel Alexandrovich Slepukhin 1, 2
Pavel Alexandrovich Slepukhin
Viktor Ivanovich Saloutin 1
Viktor Ivanovich Saloutin
Valery Nikolaevich Charushin
Published 2017-04-25
CommunicationVolume 27, Issue 3, 290-292
5
Share
Cite this
GOST
 | 
Cite this
GOST Copy
Filyakova T. I. et al. New derivatives of fluorine-containing phenazines // Mendeleev Communications. 2017. Vol. 27. No. 3. pp. 290-292.
GOST all authors (up to 50) Copy
Filyakova T. I., Filyakova V. I., Zapevalov A. Ya., Kodess M. I., Slepukhin P. A., Saloutin V. I., Charushin V. N. New derivatives of fluorine-containing phenazines // Mendeleev Communications. 2017. Vol. 27. No. 3. pp. 290-292.
RIS
 | 
Cite this
RIS Copy
TY - JOUR
DO - 10.1016/j.mencom.2017.05.025
UR - https://mendcomm.colab.ws/publications/10.1016/j.mencom.2017.05.025
TI - New derivatives of fluorine-containing phenazines
T2 - Mendeleev Communications
AU - Filyakova, Tatjana I
AU - Filyakova, Vera Ivanovna
AU - Zapevalov, Alexander Ya
AU - Kodess, Mikhail Isaakovich
AU - Slepukhin, Pavel Alexandrovich
AU - Saloutin, Viktor Ivanovich
AU - Charushin, Valery Nikolaevich
PY - 2017
DA - 2017/04/25
PB - Mendeleev Communications
SP - 290-292
IS - 3
VL - 27
ER -
BibTex
 | 
Cite this
BibTex (up to 50 authors) Copy
@article{2017_Filyakova,
author = {Tatjana I Filyakova and Vera Ivanovna Filyakova and Alexander Ya Zapevalov and Mikhail Isaakovich Kodess and Pavel Alexandrovich Slepukhin and Viktor Ivanovich Saloutin and Valery Nikolaevich Charushin},
title = {New derivatives of fluorine-containing phenazines},
journal = {Mendeleev Communications},
year = {2017},
volume = {27},
publisher = {Mendeleev Communications},
month = {Apr},
url = {https://mendcomm.colab.ws/publications/10.1016/j.mencom.2017.05.025},
number = {3},
pages = {290--292},
doi = {10.1016/j.mencom.2017.05.025}
}
MLA
Cite this
MLA Copy
Filyakova, Tatjana I., et al. “New derivatives of fluorine-containing phenazines.” Mendeleev Communications, vol. 27, no. 3, Apr. 2017, pp. 290-292. https://mendcomm.colab.ws/publications/10.1016/j.mencom.2017.05.025.

Abstract

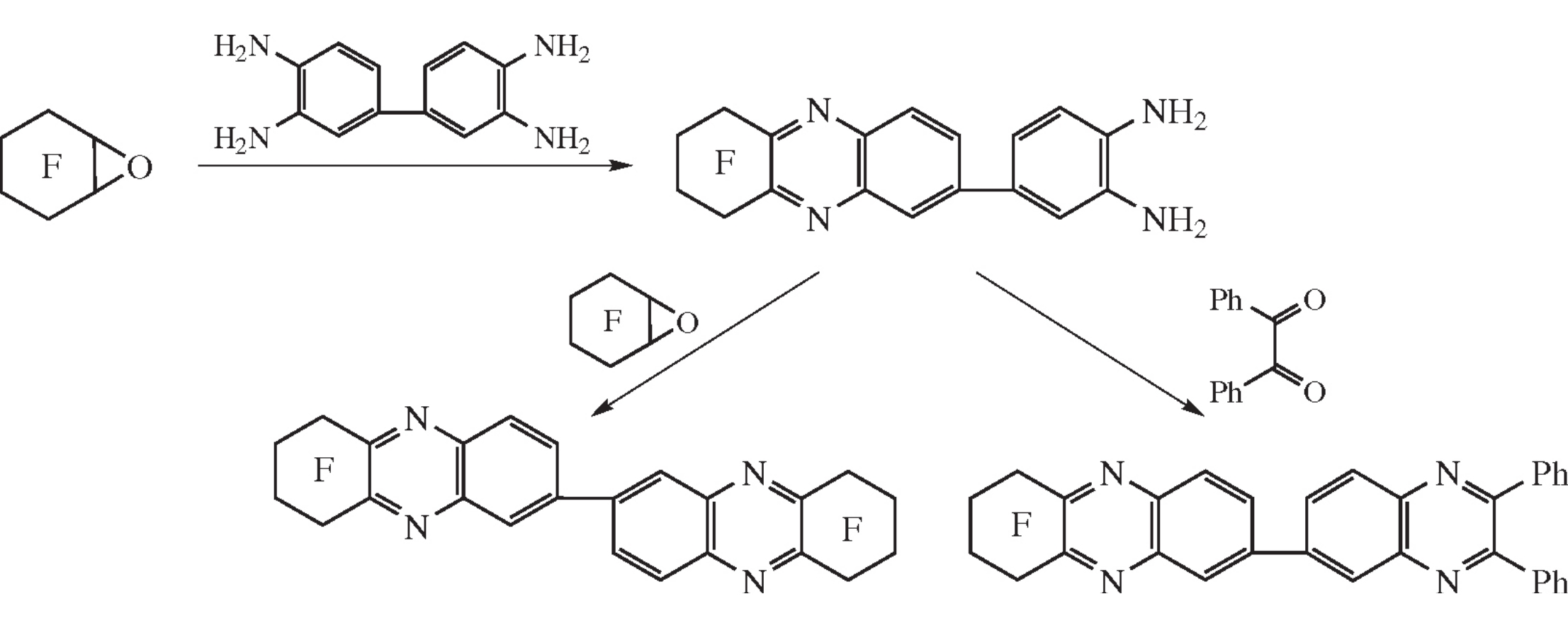
1,2-Epoxyperfluorocyclohexane reacts with 3,3’,4,4’-tetraaminobiphenyl (1 : 1 mol / mol) to give 4-(6,6,7,7,8,8,9,9-octafluoro- 6,7,8,9-tetrahydrophenazin-2-yl)benzene-1,2-diamine whose structure was determined by X-ray crystallography. Reactions of the latter with 1,2-epoxyperfluorocyclohexane or benzil bring about new fluorinated phenazine derivatives.

References

1.
10.1016/j.mencom.2017.05.025_bib0005
Tarrant
Fluorine Chem. Rev., 1971
2.
Hexafluorpropenoxid – eine Schlüsselverbindung der organischen Fluorchemie
Millauer H., Schwertfeger W., Siegemund G.
Angewandte Chemie, 1985
3.
Polymerization of Perfluoro Epoxides
Eleuterio H.S.
Journal of Macromolecular Science Part A - Chemistry, 1972
4.
10.1016/j.mencom.2017.05.025_bib0020
Ponomarenko
Ftorsoderzhashchie geterotsepnye polimery, (Fluorine-containing Heterochain Polymers), 1973
5.
10.1016/j.mencom.2017.05.025_bib0025
Novoe v tekhnologii soedinenii ftora (Flourine, Compounds., Modern Technology and Applications), 1984
6.
10.1016/j.mencom.2017.05.025_bib0030
Furin
Ftorsoderzhashchie geterotsiklicheskie soedineniya. Sintez i primenenie (Fluorine-containing Heterocyclic Compounds. Synthesis and Application), 2001
7.
10.1016/j.mencom.2017.05.025_bib0035
Saloutina
Russ. J. Org. Chem., 1997
8.
10.1016/j.mencom.2017.05.025_bib0040
Saloutina
Russ. J. Org. Chem., 2000
9.
Reactions of epoxides derived from internal perfluoroolefins with o-phenylenediamine and 2-aminophenol
Saloutina L.V., Zapevalov A.Y., Saloutin V.I., Kodess M.I., Kirichenko V.E., Pervova M.G., Chupakhin O.N.
Russian Journal of Organic Chemistry, 2006
10.
Perfluoroepoxyoxolanes in the synthesis of fluorine-containing heterocycles
Filyakova T.I., Zapevalov A.Y., Kodess M.I., Slepukhin P.A., Saloutin V.I.
Russian Journal of Organic Chemistry, 2009
11.
Synthesis and structure of reaction products obtained from 1,2-epoxyperfluorobutane and bifunctional nucleophilic reagents
Filyakova T.I., Kodess M.I., Slepukhin P.A., Zapevalov A.Y.
Russian Journal of Organic Chemistry, 2009
12.
2,3-Epoxyperfluoro-2-methylpentane in reactions with urea and thiourea
Filyakova T.I., Saloutina L.V., Zapevalov A.Y., Slepukhin P.A., Kodess M.I., Saloutin V.I.
Russian Journal of Organic Chemistry, 2011
13.
T. I. Filyakova, A. Ya. Zapevalov and I. P. Kolenko, Patent USSR 666176, 1979.
14.
10.1016/j.mencom.2017.05.025_bib0070
Zapevalov
Zh. Org. Khim., 1986
16.
Perfluoro(1,2-epoxycyclohexane) in the synthesis of fluorinated heterocycles
Filyakova T.I., Zapevalov A.Y., Kodess M.I., Slepukhin P.A., Saloutin V.I.
Russian Journal of Organic Chemistry, 2014
17.
A short history of SHELX
Sheldrick G.M.
Acta Crystallographica Section A Foundations of Crystallography, 2007