Home / Publications / 1-Morpholino-2-nitroethylene as a precursor of nitroacetaldehyde in the synthesis of azolo[5,1-c][1,2,4]triazines

1-Morpholino-2-nitroethylene as a precursor of nitroacetaldehyde in the synthesis of azolo[5,1-c][1,2,4]triazines

Egor Konstantinovich Voinkov 1
Egor Konstantinovich Voinkov
Eugeny Nartsissovich Ulomsky 1, 2
Eugeny Nartsissovich Ulomsky
Vladimir Leonidovich Rusinov 1, 2
Vladimir Leonidovich Rusinov
Roman Alexandrovich Drokin 1
Roman Alexandrovich Drokin
Victor Vladimirovich Fedotov 1
Victor Vladimirovich Fedotov
Evgeny Borisovich Gorbunov 2
Evgeny Borisovich Gorbunov
Published 2017-04-25
CommunicationVolume 27, Issue 3, 285-286
15
Share
Cite this
GOST
 | 
Cite this
GOST Copy
Voinkov E. K. et al. 1-Morpholino-2-nitroethylene as a precursor of nitroacetaldehyde in the synthesis of azolo[5,1-c][1,2,4]triazines // Mendeleev Communications. 2017. Vol. 27. No. 3. pp. 285-286.
GOST all authors (up to 50) Copy
Voinkov E. K., Ulomsky E. N., Rusinov V. L., Drokin R. A., Fedotov V. V., Gorbunov E. B. 1-Morpholino-2-nitroethylene as a precursor of nitroacetaldehyde in the synthesis of azolo[5,1-c][1,2,4]triazines // Mendeleev Communications. 2017. Vol. 27. No. 3. pp. 285-286.
RIS
 | 
Cite this
RIS Copy
TY - JOUR
DO - 10.1016/j.mencom.2017.05.023
UR - https://mendcomm.colab.ws/publications/10.1016/j.mencom.2017.05.023
TI - 1-Morpholino-2-nitroethylene as a precursor of nitroacetaldehyde in the synthesis of azolo[5,1-c][1,2,4]triazines
T2 - Mendeleev Communications
AU - Voinkov, Egor Konstantinovich
AU - Ulomsky, Eugeny Nartsissovich
AU - Rusinov, Vladimir Leonidovich
AU - Drokin, Roman Alexandrovich
AU - Fedotov, Victor Vladimirovich
AU - Gorbunov, Evgeny Borisovich
PY - 2017
DA - 2017/04/25
PB - Mendeleev Communications
SP - 285-286
IS - 3
VL - 27
ER -
BibTex
 | 
Cite this
BibTex (up to 50 authors) Copy
@article{2017_Voinkov,
author = {Egor Konstantinovich Voinkov and Eugeny Nartsissovich Ulomsky and Vladimir Leonidovich Rusinov and Roman Alexandrovich Drokin and Victor Vladimirovich Fedotov and Evgeny Borisovich Gorbunov},
title = {1-Morpholino-2-nitroethylene as a precursor of nitroacetaldehyde in the synthesis of azolo[5,1-c][1,2,4]triazines},
journal = {Mendeleev Communications},
year = {2017},
volume = {27},
publisher = {Mendeleev Communications},
month = {Apr},
url = {https://mendcomm.colab.ws/publications/10.1016/j.mencom.2017.05.023},
number = {3},
pages = {285--286},
doi = {10.1016/j.mencom.2017.05.023}
}
MLA
Cite this
MLA Copy
Voinkov, Egor Konstantinovich, et al. “1-Morpholino-2-nitroethylene as a precursor of nitroacetaldehyde in the synthesis of azolo[5,1-c][1,2,4]triazines.” Mendeleev Communications, vol. 27, no. 3, Apr. 2017, pp. 285-286. https://mendcomm.colab.ws/publications/10.1016/j.mencom.2017.05.023.

Abstract

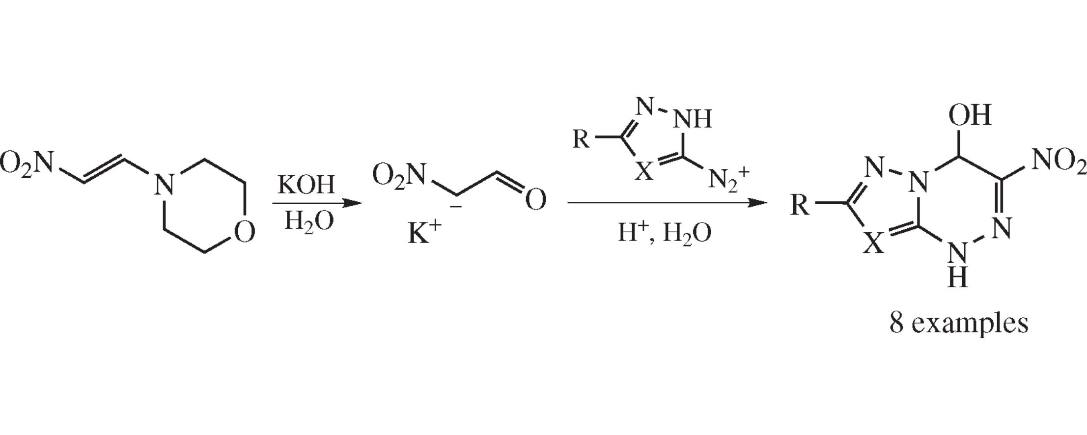
3-Nitro-4-hydroxy-1,4-dihydroazolo[5,1-c][1,2,4]triazines were obtained using nitroacetaldehyde potassium salt generated in situ from 1-morpholino-2-nitroethene.

References

1.
Nitroazines 24. stable anionic ?-adducts of condensed nitrotriazines
Rusinonv V.L., Petrov A.Y., Aleksandrov G.G., Chupakhin O.N.
Chemistry of Heterocyclic Compounds, 1994
3.
D. Qian, A.Q. Han, M. Hamilton and E. Wang, Patent WO 2009/155527, 2009. (Chem. Abstr., 2009, 152, 97479).
5.
Tandem [4 + 2]/[3 + 2] Cycloadditions of Nitroalkenes. 9. Synthesis of (−)-Rosmarinecine
Denmark S.E., Thorarensen A., Middleton D.S.
Journal of the American Chemical Society, 1996
6.
Tandem [4 + 2]/[3 + 2] Cycloadditions of Nitroalkenes. 13. The Synthesis of (−)-Detoxinine
Denmark S.E., Hurd A.R., Sacha H.J.
Journal of Organic Chemistry, 1997
8.
Synthesis of (+)-1-Epiaustraline
Denmark S.E., Cottell J.J.
Journal of Organic Chemistry, 2001
10.
Zlotin S.G., Churakov A.M., Luk’yanov O.A., Makhova N.N., Sukhorukov A.Y., Tartakovsky V.A.
Mendeleev Communications, 2015
12.
13.
Synthesis of?-nitrocarbonyl compounds
Babievskii K.K., Belikov V.M., Tikhonova N.A.
Russian Chemical Bulletin, 1970
14.
THE 1-AMINO-2-NITROETHENES
HURD C.D., SHERWOOD, Jr L.T.
Journal of Organic Chemistry, 1948
15.
A One-Pot Synthesis of Nitroenamines
Faulques M., Rene L., Royer R.
Synthesis, 1982
16.
10.1016/j.mencom.2017.05.023_bib0080
Ono
Sci. Synth., 2007
17.
Structural studies on bioactive compounds. 4. A structure-antitumor activity study on analogs of N-methylformamide
Gate E.N., Threadgill M.D., Stevens M.F., Chubb D., Vickers L.M., Langdon S.P., Hickman J.A., Gescher A.
Journal of Medicinal Chemistry, 1986
18.
Nucleophilic Pentafluorophenylation of Nitroalkenes
Dilman A., Kondratyev N., Zemtsov A., Levin V., Struchkova M.
Synthesis, 2012
19.
Azolo[5,1-c]-1,2,4-triazines as a new class of antiviral compounds
Rusinov V.L., Ulomskii E.N., Chupakhin O.N., Charushin V.N.
Russian Chemical Bulletin, 2008
20.
Voinkov E.K., Ulomskiy E.N., Rusinov V.L., Savateev K.V., Fedotov V.V., Gorbunov E.B., Isenov M.L., Eltsov O.S.
Mendeleev Communications, 2016
21.
Nitroazines. 5. Use of the japp-klingemann reaction for the synthesis of nitrotriazines
Rusinov V.L., Pilicheva T.L., Chupakhin O.N., Klyuev N.A., Allakhverdieva D.T.
Chemistry of Heterocyclic Compounds, 1986