Home / Publications / Ring-opening polymerization of glycolide and rac-lactide, catalyzed by aryloxy magnesium complexes: DFT study of reaction profile and stereocontrol mechanism

Ring-opening polymerization of glycolide and rac-lactide, catalyzed by aryloxy magnesium complexes: DFT study of reaction profile and stereocontrol mechanism

Pavel Vasil'evich Ivchenko 1
Pavel Vasil'evich Ivchenko
Andrei Vladimirovich Shlyakhtin 1
Andrei Vladimirovich Shlyakhtin
Published 2017-04-25
CommunicationVolume 27, Issue 3, 278-280
16
Share
Cite this
GOST
 | 
Cite this
GOST Copy
Ivchenko P. V., Shlyakhtin A. V., Nifant'ev I. E. Ring-opening polymerization of glycolide and rac-lactide, catalyzed by aryloxy magnesium complexes: DFT study of reaction profile and stereocontrol mechanism // Mendeleev Communications. 2017. Vol. 27. No. 3. pp. 278-280.
GOST all authors (up to 50) Copy
Ivchenko P. V., Shlyakhtin A. V., Nifant'ev I. E. Ring-opening polymerization of glycolide and rac-lactide, catalyzed by aryloxy magnesium complexes: DFT study of reaction profile and stereocontrol mechanism // Mendeleev Communications. 2017. Vol. 27. No. 3. pp. 278-280.
RIS
 | 
Cite this
RIS Copy
TY - JOUR
DO - 10.1016/j.mencom.2017.05.020
UR - https://mendcomm.colab.ws/publications/10.1016/j.mencom.2017.05.020
TI - Ring-opening polymerization of glycolide and rac-lactide, catalyzed by aryloxy magnesium complexes: DFT study of reaction profile and stereocontrol mechanism
T2 - Mendeleev Communications
AU - Ivchenko, Pavel Vasil'evich
AU - Shlyakhtin, Andrei Vladimirovich
AU - Nifant'ev, Ilya Eduardovich
PY - 2017
DA - 2017/04/25
PB - Mendeleev Communications
SP - 278-280
IS - 3
VL - 27
ER -
BibTex
 | 
Cite this
BibTex (up to 50 authors) Copy
@article{2017_Ivchenko,
author = {Pavel Vasil'evich Ivchenko and Andrei Vladimirovich Shlyakhtin and Ilya Eduardovich Nifant'ev},
title = {Ring-opening polymerization of glycolide and rac-lactide, catalyzed by aryloxy magnesium complexes: DFT study of reaction profile and stereocontrol mechanism},
journal = {Mendeleev Communications},
year = {2017},
volume = {27},
publisher = {Mendeleev Communications},
month = {Apr},
url = {https://mendcomm.colab.ws/publications/10.1016/j.mencom.2017.05.020},
number = {3},
pages = {278--280},
doi = {10.1016/j.mencom.2017.05.020}
}
MLA
Cite this
MLA Copy
Ivchenko, Pavel Vasil'evich, et al. “Ring-opening polymerization of glycolide and rac-lactide, catalyzed by aryloxy magnesium complexes: DFT study of reaction profile and stereocontrol mechanism.” Mendeleev Communications, vol. 27, no. 3, Apr. 2017, pp. 278-280. https://mendcomm.colab.ws/publications/10.1016/j.mencom.2017.05.020.

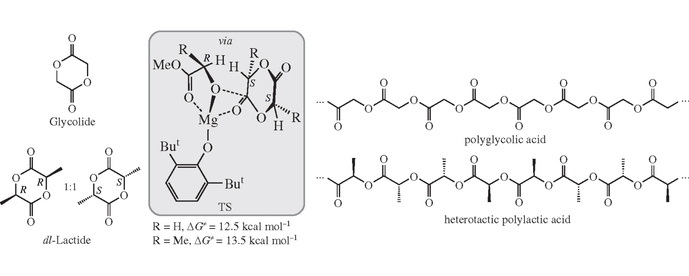
Abstract

DFT modeling shows that the most likely route of rac-lactide ring-opening polymerization, catalyzed by mono-aryloxy magnesium complexes, includes the formation of lower energy polymer-Mg chelates, which makes the formation of heterotactic polylactide preferable.

References

2.
Synthetic Biomaterials from Metabolically Derived Synthons
Ricapito N.G., Ghobril C., Zhang H., Grinstaff M.W., Putnam D.
Chemical Reviews, 2016
3.
Biodegradable Polyesters for Tissue Engineering
Slomkowski S.
Macromolecular Symposia, 2007
4.
Biodegradable synthetic polymers: Preparation, functionalization and biomedical application
7.
Biodegradable polymers as biomaterials
Nair L.S., Laurencin C.T.
Progress in Polymer Science, 2007
8.
Controlled Ring-Opening Polymerization of Lactide and Glycolide
Dechy-Cabaret O., Martin-Vaca B., Bourissou D.
Chemical Reviews, 2004
9.
Single-Site Catalysts for Ring-Opening Polymerization:  Synthesis of Heterotactic Poly(lactic acid) from rac-Lactide
Cheng M., Attygalle A.B., Lobkovsky E.B., Coates G.W.
Journal of the American Chemical Society, 1999
10.
Phosphinimino-amino Magnesium Complexes: Synthesis and Catalysis of Heteroselective ROP of rac-Lactide
11.
Ring-opening polymerization of lactides catalyzed by magnesium complexes coordinated with NNO-tridentate pyrazolonate ligands
Chuang H., Chen H., Ye J., Chen Z., Huang P., Liao T., Tsai T., Lin C.
Journal of Polymer Science, Part A: Polymer Chemistry, 2012
12.
Synthesis and Structure of Homo- and Heterometallic Lithium–Magnesium Complexes and Their Reactivity in the ROP of rac-Lactide
Gallegos C., Tabernero V., Garcı́a-Valle F.M., Mosquera M.E., Cuenca T., Cano J.
Organometallics, 2013
13.
Stereoselective Production of Poly(rac-lactide) by ROP with Highly Efficient Bulky Heteroscorpionate Alkylmagnesium Initiators
Sánchez-Barba L.F., Garcés A., Fernández-Baeza J., Otero A., Alonso-Moreno C., Lara-Sánchez A., Rodríguez A.M.
Organometallics, 2011
14.
Synthesis of heterotactic PLA from rac-lactide using hetero-bimetallic Mg/Zn–Li systems
Char J., Brulé E., Gros P.C., Rager M., Guérineau V., Thomas C.M.
Journal of Organometallic Chemistry, 2015
15.
Metal and Ligand-Substituent Effects in the Immortal Polymerization of rac-Lactide with Li, Na, and K Phenoxo-imine Complexes
García-Valle F.M., Estivill R., Gallegos C., Cuenca T., Mosquera M.E., Tabernero V., Cano J.
Organometallics, 2015
16.
Complexes of Mg, Ca and Zn as homogeneous catalysts for lactide polymerization
Wheaton C.A., Hayes P.G., Ireland B.J.
Dalton Transactions, 2009
17.
Discrete Cationic Zinc and Magnesium Complexes for Dual Organic/Organometallic-Catalyzed Ring-Opening Polymerization of Trimethylene Carbonate
21.
ε-Caprolactone polymerization under air by the biocatalyst: Magnesium 2,6-di-tert-butyl-4-methylphenoxide
Fang H., Lai P., Chen J., Hsu S.C., Peng W., Ou S., Lai Y., Chen Y., Chung H., Chen Y., Huang T., Wu B., Chen H.
Journal of Polymer Science, Part A: Polymer Chemistry, 2012
22.
‘Immortal’ ring-opening polymerization of ω-pentadecalactone by Mg(BHT)2(THF)2
Wilson J.A., Hopkins S.A., Wright P.M., Dove A.P.
Polymer Chemistry, 2014
24.
Monomeric and dimeric magnesium mono-BHT complexes as effective ROP catalysts
Nifant'ev I.E., Shlyakhtin A.V., Tavtorkin A.N., Ivchenko P.V., Borisov R.S., Churakov A.V.
Catalysis Communications, 2016
26.
Initiation of ring-opening polymerization of lactide: The effect of metal alkoxide catalyst
Cheshmedzhieva D., Angelova I., Ilieva S., Georgiev G.S., Galabov B.
Computational and Theoretical Chemistry, 2012
27.
Tin (IV) alkoxide initiator design for poly (d-lactide) synthesis using DFT calculations
Lawan N., Muangpil S., Kungwan N., Meepowpan P., Lee V.S., Punyodom W.
Computational and Theoretical Chemistry, 2013
31.
Theoretical study on the mechanism and kinetics of ring-opening polymerization of cyclic esters initiated by tin(II) n-butoxide
Sattayanon C., Sontising W., Jitonnom J., Meepowpan P., Punyodom W., Kungwan N.
Computational and Theoretical Chemistry, 2014
41.
Generalized Gradient Approximation Made Simple
Perdew J.P., Burke K., Ernzerhof M.
Physical Review Letters, 1996