Home / Publications / Electrochemical and electrophysical properties of aminomethano- and tetrahydropyridino-C60-fullerenes

Electrochemical and electrophysical properties of aminomethano- and tetrahydropyridino-C60-fullerenes

Airat Ramilevich Tuktarov 1
Airat Ramilevich Tuktarov
Zulfiya R Shakirova 1
Zulfiya R Shakirova
Leonard Mukhibovich Khalilov 1
Leonard Mukhibovich Khalilov
Yulia Bogdanovna Dudkina 2
Yulia Bogdanovna Dudkina
Renat Bayazitovich Salikhov 3
Renat Bayazitovich Salikhov
Idris Narisovich Safargalin 3
Idris Narisovich Safargalin
Published 2017-02-27
CommunicationVolume 27, Issue 2, 201-203
2
Share
Cite this
GOST
 | 
Cite this
GOST Copy
Tuktarov A. R. et al. Electrochemical and electrophysical properties of aminomethano- and tetrahydropyridino-C60-fullerenes // Mendeleev Communications. 2017. Vol. 27. No. 2. pp. 201-203.
GOST all authors (up to 50) Copy
Tuktarov A. R., Shakirova Z. R., Khalilov L. M., Dudkina Y. B., Budnikova Y. H., Salikhov R. B., Safargalin I. N., Dzhemilev U. M. Electrochemical and electrophysical properties of aminomethano- and tetrahydropyridino-C60-fullerenes // Mendeleev Communications. 2017. Vol. 27. No. 2. pp. 201-203.
RIS
 | 
Cite this
RIS Copy
TY - JOUR
DO - 10.1016/j.mencom.2017.03.032
UR - https://mendcomm.colab.ws/publications/10.1016/j.mencom.2017.03.032
TI - Electrochemical and electrophysical properties of aminomethano- and tetrahydropyridino-C60-fullerenes
T2 - Mendeleev Communications
AU - Tuktarov, Airat Ramilevich
AU - Shakirova, Zulfiya R
AU - Khalilov, Leonard Mukhibovich
AU - Dudkina, Yulia Bogdanovna
AU - Budnikova, Yulia Hermanovna
AU - Salikhov, Renat Bayazitovich
AU - Safargalin, Idris Narisovich
AU - Dzhemilev, Usein Memetovich
PY - 2017
DA - 2017/02/27
PB - Mendeleev Communications
SP - 201-203
IS - 2
VL - 27
ER -
BibTex
 | 
Cite this
BibTex (up to 50 authors) Copy
@article{2017_Tuktarov,
author = {Airat Ramilevich Tuktarov and Zulfiya R Shakirova and Leonard Mukhibovich Khalilov and Yulia Bogdanovna Dudkina and Yulia Hermanovna Budnikova and Renat Bayazitovich Salikhov and Idris Narisovich Safargalin and Usein Memetovich Dzhemilev},
title = {Electrochemical and electrophysical properties of aminomethano- and tetrahydropyridino-C60-fullerenes},
journal = {Mendeleev Communications},
year = {2017},
volume = {27},
publisher = {Mendeleev Communications},
month = {Feb},
url = {https://mendcomm.colab.ws/publications/10.1016/j.mencom.2017.03.032},
number = {2},
pages = {201--203},
doi = {10.1016/j.mencom.2017.03.032}
}
MLA
Cite this
MLA Copy
Tuktarov, Airat Ramilevich, et al. “Electrochemical and electrophysical properties of aminomethano- and tetrahydropyridino-C60-fullerenes.” Mendeleev Communications, vol. 27, no. 2, Feb. 2017, pp. 201-203. https://mendcomm.colab.ws/publications/10.1016/j.mencom.2017.03.032.

Abstract

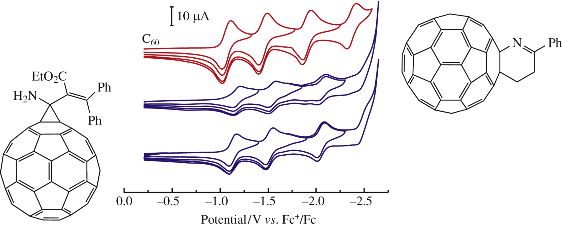
The electrochemical and electrophysical properties of fullerene C60 derivatives containing an amino group at the methanofullerene bridging carbon atom and a tetrahydropyridine moiety annelated to the fullerene have been determined. The electrochemical reduction of the derivatives was found to proceed less easily than that of C60 but more easily than that of unsubstituted methano- and pyrrolidinofullerenes.

References

1.
Biglova Y.N., Susarova D.K., Akbulatov A.F., Mustafin A.G., Troshin P.A., Miftakhov M.S.
Mendeleev Communications, 2015
2.
Biglova Y.N., Susarova D.K., Akbulatov A.F., Mumyatov A.V., Troshin P.A.
Mendeleev Communications, 2015
3.
Tuktarov A.R., Khuzin A.A., Khalilov L.M., Tulyabaev A.R., Akhmetov A.R., Dzhemilev U.M.
Mendeleev Communications, 2015
4.
Tuktarov A.R., Khuzin A.A., Akhmetov A.R., Khalilov L.M., Tulyabaev A.R., Barachevskii V.A., Venediktova O.V., Dzhemilev U.M.
Mendeleev Communications, 2016
5.
Efficient production of C60 (buckminsterfullerene), C60H36, and the solvated buckide ion
Haufler R.E., Conceicao J., Chibante L.P., Chai Y., Byrne N.E., Flanagan S., Haley M.M., O'Brien S.C., Pan C., et al.
The Journal of Physical Chemistry, 1990
6.
Two different fullerenes have the same cyclic voltammetry
Allemand P.M., Koch A., Wudl F., Rubin Y., Diederich F., Alvarez M.M., Anz S.J., Whetten R.L.
Journal of the American Chemical Society, 1991
7.
Spectroelectrochemical study of the C60 and C70 fullerenes and their mono-, di-, tri- and tetraanions
Dubois D., Kadish K.M., Flanagan S., Haufler R.E., Chibante L.P., Wilson L.J.
Journal of the American Chemical Society, 1991
8.
Electrochemical detection of fulleronium and highly reduced fulleride (C605-) ions in solution
Dubois D., Kadish K.M., Flanagan S., Wilson L.J.
Journal of the American Chemical Society, 1991
9.
Electrochemical detection of C606- and C706-: Enhanced stability of fullerides in solution
Xie Q., Perez-Cordero E., Echegoyen L.
Journal of the American Chemical Society, 1992
10.
Electrochemical detection of C60 6? at low temperature
Ohsawa Y., Saji T.
Journal of the Chemical Society Chemical Communications, 1992
11.
Reduction and electrochemistry of fullerene C60 in liquid ammonia
Zhou F., Jehoulet C., Bard A.J.
Journal of the American Chemical Society, 1992
12.
Electronic structure and bonding in icosahedral C60
Haddon R.C., Brus L.E., Raghavachari K.
Chemical Physics Letters, 1986
13.
Electrochemistry of Fullerenes and Their Derivatives
Echegoyen L., Echegoyen L.E.
Accounts of Chemical Research, 1998
14.
Discrete Fulleride Anions and Fullerenium Cations
Reed C.A., Bolskar R.D.
Chemical Reviews, 2000
15.
Electrochemistry of Fullerenes and Their Derivatives
Yanilkin V.V., Gubskaya V.P., Morozov V.I., Nastapova N.V., Zverev V.V., Berdnikov E.A., Nuretdinov I.A.
Russian Journal of Electrochemistry, 2003
16.
L. N. Sidorov, M.A. Yurovskaya, A. Ya. Borshchevskii, I.V. Trushkov and I. N. Ioffe, Fullereny (Fullerenes), Ekzamen, Moscow, 2005 (in Russian).
17.
V. V. Yanilkin, in Elektrokhimiya organicheskikh soedinenii v nachale XXI veka (Electrochemistry of Organic Compounds at the Beginning of the 21st Century), eds. V. P. Gultyai, A.G. Krivenko and A. P. Tomilov, Sputnik, Moscow, 2008, pp. 178-249 (in Russian).
18.
A new reaction of [60]fullerene with nitriles and EtMgBr in the presence of Ti(Oi-Pr)4
Tuktarov A.R., Khuzin A.A., Shakirova Z.R., Popod’ko N.R., Dzhemilev U.M.
Tetrahedron Letters, 2014
20.
Silylation of fullerenes with active species in photolysis of polysilane
Wakahara T., Maeda Y., Kako M., Akasaka T., Kobayashi K., Nagase S.
Journal of Organometallic Chemistry, 2003
23.
Sinyashin O.G., Romanova I.P., Yusupova G.G., Nafikova A.A., Kovalenko V.I., Azancheev N.M., Yanilkin V.V., Budnikova Y.G.
Mendeleev Communications, 2000
24.
Dihydrofulleroid H3C61: synthesis and properties of the parent fulleroid
Suzuki T., Li Q., Khemani K.C., Wudl F.
Journal of the American Chemical Society, 1992
25.
Redox Properties of Organofullerenes
Suzuki T., Maruyama Y., Akasaka T., Ando W., Kobayashi K., Nagase S.
Journal of the American Chemical Society, 1994
26.
Synthesis of new carbazole-containing fullerenopyrrolidines
Gubskaya V.P., Ovechkina E.V., Yanilkin V.V., Morozov V.I., Nastapova N.V., Zverev V.V., Azancheev N.M., Nuretdinov I.A.
Russian Chemical Bulletin, 2005
27.
Electrochemical reduction and oxidation of fullerenopyrrolidines and the ESR spectra of paramagnetic intermediates
Nuretdinov I.A., Yanilkin V.V., Morozov V.I., Gubskaya V.P., Zverev V.V., Nastapova N.V., Fazleeva G.M.
Russian Chemical Bulletin, 2002
28.
Reversible Fullerene Electrochemistry: Correlation with the HOMO-LUMO Energy Difference for C60, C70, C76, C78, and C84
Yang Y., Arias F., Echegoyen L., Chibante L.P., Flanagan S., Robertson A., Wilson L.J.
Journal of the American Chemical Society, 1995
29.
F. Melin, L.E. Echegoyen and L. Echegoyen, in Organic Electrochemistry, 5th edn., eds. O. Hammerich and B. Speiser, CRC Press, 2015, pp. 830-860.