Home / Publications / Synthesis of 3-(5-chloropyrazol-3-yl)propenals

Synthesis of 3-(5-chloropyrazol-3-yl)propenals

Alexandr Vital'evich Popov 1
Alexandr Vital'evich Popov
Valentina Aleksandrovna Kobelevskaya 1
Valentina Aleksandrovna Kobelevskaya
Lyudmila Ivanovna Larina 1
Lyudmila Ivanovna Larina
Galina Grigor'evna Levkovskaya 1
Galina Grigor'evna Levkovskaya
Published 2017-02-27
CommunicationVolume 27, Issue 2, 178-179
8
Share
Cite this
GOST
 | 
Cite this
GOST Copy
Popov A. V. et al. Synthesis of 3-(5-chloropyrazol-3-yl)propenals // Mendeleev Communications. 2017. Vol. 27. No. 2. pp. 178-179.
GOST all authors (up to 50) Copy
Popov A. V., Kobelevskaya V. A., Larina L. I., Levkovskaya G. G. Synthesis of 3-(5-chloropyrazol-3-yl)propenals // Mendeleev Communications. 2017. Vol. 27. No. 2. pp. 178-179.
RIS
 | 
Cite this
RIS Copy
TY - JOUR
DO - 10.1016/j.mencom.2017.03.024
UR - https://mendcomm.colab.ws/publications/10.1016/j.mencom.2017.03.024
TI - Synthesis of 3-(5-chloropyrazol-3-yl)propenals
T2 - Mendeleev Communications
AU - Popov, Alexandr Vital'evich
AU - Kobelevskaya, Valentina Aleksandrovna
AU - Larina, Lyudmila Ivanovna
AU - Levkovskaya, Galina Grigor'evna
PY - 2017
DA - 2017/02/27
PB - Mendeleev Communications
SP - 178-179
IS - 2
VL - 27
ER -
BibTex
 | 
Cite this
BibTex (up to 50 authors) Copy
@article{2017_Popov,
author = {Alexandr Vital'evich Popov and Valentina Aleksandrovna Kobelevskaya and Lyudmila Ivanovna Larina and Galina Grigor'evna Levkovskaya},
title = {Synthesis of 3-(5-chloropyrazol-3-yl)propenals},
journal = {Mendeleev Communications},
year = {2017},
volume = {27},
publisher = {Mendeleev Communications},
month = {Feb},
url = {https://mendcomm.colab.ws/publications/10.1016/j.mencom.2017.03.024},
number = {2},
pages = {178--179},
doi = {10.1016/j.mencom.2017.03.024}
}
MLA
Cite this
MLA Copy
Popov, Alexandr Vital'evich, et al. “Synthesis of 3-(5-chloropyrazol-3-yl)propenals.” Mendeleev Communications, vol. 27, no. 2, Feb. 2017, pp. 178-179. https://mendcomm.colab.ws/publications/10.1016/j.mencom.2017.03.024.

Abstract

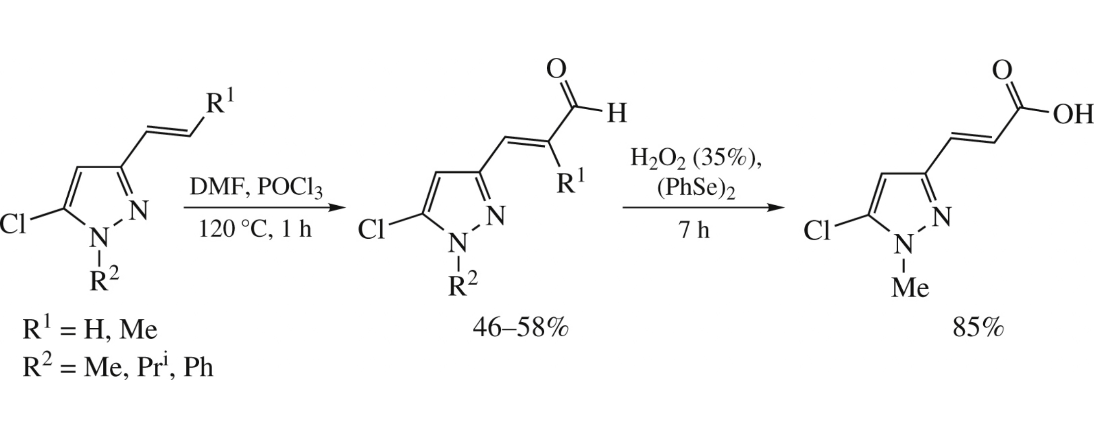
The Vielsmeier–Haack formylation of 5-chloro-3-alkenylpyrazoles proceeds at the olefinic double bond and affords (2E)-3-(5-chloro-1H-pyrazol-3-yl)prop-2-enals.

References

1.
10.1016/j.mencom.2017.03.024_bib0005
Elguero
2002
2.
10.1016/j.mencom.2017.03.024_bib0010
Pérez-Fernández
Arkivoc, 2014
4.
Environment-friendly Synthesis of Bioactive Pyrazoles
Pizzuti L., Barschak A., Stefanello F., Farias M., Lencina C., Roesch-Ely M., Cunico W., Moura S., Pereira C.
Current Organic Chemistry, 2013
6.
From 2000 to Mid-2010: A Fruitful Decade for the Synthesis of Pyrazoles
Fustero S., Sánchez-Roselló M., Barrio P., Simón-Fuentes A.
Chemical Reviews, 2011
9.
5-Chloropyrazole-4-carboxaldehydes as synthon in heterocyclic synthesis
Gouda M.A., Abu-Hashem A.A., Saad H.H., Elattar K.M.
Research on Chemical Intermediates, 2015
10.
Recent Advances in the Regioselective Synthesis of Pyrazoles
Yoon J., Lee S., Shin H.
Current Organic Chemistry, 2011
11.
10.1016/j.mencom.2017.03.024_bib0055
Bakr
Arkivoc, 2011
12.
KHIDRE R.E., ABDELWAHAB B.F.
Turkish Journal of Chemistry, 2013
13.
Synthetic routes to 3(5)-phosphonylated pyrazoles
Goulioukina N.S., Makukhin N.N., Beletskaya I.P.
Russian Chemical Reviews, 2016
14.
Ivanova A.E., Burgart Y.V., Saloutin V.I.
Mendeleev Communications, 2016
16.
3-Alkenyl-5-chloropyrazoles: expedient synthesis via heterocyclization of 1,1-dichloro-4-halo-1-alken-3-ones with hydrazines
Levkovskaya G.G., Kobelevskaya V.A., Rudyakova E.V., Ha K.Q., Samultsev D.O., Rozentsveig I.B.
Tetrahedron, 2011
18.
Selective synthesis of 3-[1-(organylsulfanyl)ethyl]- and 3-[2-(organylsulfanyl)ethyl]-5-chloro-1H-pyrazoles
Samultsev D.O., Rudyakova E.V., Levkovskaya G.G.
Russian Journal of Organic Chemistry, 2012
20.
Phosphorylation of C-alkenylsubstituted pyrazoles with phosphorus pentachloride
Larina L.I., Rudyakova E.V., Savosik V.A., Levkovskaya G.G., Rozinov V.G., Dmitrichenko M.Y.
Russian Journal of General Chemistry, 2009
21.
M. A. Maksimova, PhD Thesis, Irkutsk, 2007.
22.
Interaction of 1-vinylpyrazoles with alkanethiols
Es'kova L.A., Erushnikova L.P., Afonin A.V., Domnina E.S.
Russian Chemical Bulletin, 1992
23.
Hydrohalogenation of 1-vinylpyrazoles
Es'kova L.A., Voronov V.K., Domnina E.S., Skvortsova G.G.
Russian Chemical Bulletin, 1985
24.
The effect of focused microwaves on the reaction of ethyl N-trichloroethylidenecarbamate with pyrazole derivatives
Carrillo J., Díaz-Ortiz A., de la Hoz A., Gómez-Escalonilla M.J., Moreno A., Prieto P.
Tetrahedron, 1999
25.
Synthesis and reactions of pyrazole-4-carbaldehydes
Rudyakova E.V., Savosik V.A., Papernaya L.K., Albanov A.I., Evstaf’eva I.T., Levkovskaya G.G.
Russian Journal of Organic Chemistry, 2009
26.
Design, Synthesis, and Pharmacological Profile of Novel Fused Pyrazolo[4,3-d]pyridine and Pyrazolo[3,4-b][1,8]naphthyridine Isosteres:  A New Class of Potent and Selective Acetylcholinesterase Inhibitors
Barreiro E.J., Camara C.A., Verli H., Brazil-Más L., Castro N.G., Cintra W.M., Aracava Y., Rodrigues C.R., Fraga C.A.
Journal of Medicinal Chemistry, 2003
27.
Synthesis and properties of 5-chloro-4-nitropyrazoles
Bozhenkov G.V., Savosik V.A., Larina L.I., Mirskova A.N., Levkovskaya G.G.
Russian Journal of Organic Chemistry, 2006
28.
Sulfonation of unsymmetrically substituted 5-chloropyrazoles
Kobelevskaya V.A., D’yachkova S.G., Popov A.V., Levkovskaya G.G.
Russian Journal of Organic Chemistry, 2016
30.
Synthesis of 5-Oxo-2-pyrazoline-4-carboxaldehydes
WALLACE D.J., STRALEY J.M.
Journal of Organic Chemistry, 1961
31.
3-(5-Chloro-3-methyl-1-phenylpyrazol-4-yl)-1,5-di-2-thienylpentane-1,5-dione: centrosymmetric dimers formed by C—H...π(thiophene) hydrogen bonds
Trilleras J., Quiroga J., Cobo J., Low J.N., Glidewell C.
Acta Crystallographica Section E Structure Reports Online, 2005
32.
3-(5-Chloro-3-methyl-1-phenylpyrazol-4-yl)-1,5-diphenylpentane-1,5-dione: sheets built from C—H...O and C—H...π(arene) hydrogen bonds
Trilleras J., Quiroga J., Torre J.M., Cobo J., Low J.N., Glidewell C.
Acta Crystallographica Section C Crystal Structure Communications, 2006
33.
Oxidation of α,β-un saturated aldehydes
Bal B.S., Childers W.E., Pinnick H.W.
Tetrahedron, 1981
35.
Selenium Catalyzed Oxidation of Aldehydes: Green Synthesis of Carboxylic Acids and Esters
Sancineto L., Tidei C., Bagnoli L., Marini F., Lenardão E., Santi C.
Molecules, 2015