Home / Publications / Reaction of 2-alkoxy- and 2-hydroxypropenals with o-phenylenediamine: a route to benzimidazoles and quinoxalines

Reaction of 2-alkoxy- and 2-hydroxypropenals with o-phenylenediamine: a route to benzimidazoles and quinoxalines

Nadezhda Viktorovna Vchislo 1
Nadezhda Viktorovna Vchislo
Ekaterina Aleksandrovna Verochkina 1
Ekaterina Aleksandrovna Verochkina
Lyudmila Ivanovna Larina 1
Lyudmila Ivanovna Larina
Alexander Valentinovich Vashchenko 1
Alexander Valentinovich Vashchenko
Yuri Aleksandrovich Chuvashev 1
Yuri Aleksandrovich Chuvashev
Published 2017-02-27
CommunicationVolume 27, Issue 2, 166-168
4
Share
Cite this
GOST
 | 
Cite this
GOST Copy
Vchislo N. V. et al. Reaction of 2-alkoxy- and 2-hydroxypropenals with o-phenylenediamine: a route to benzimidazoles and quinoxalines // Mendeleev Communications. 2017. Vol. 27. No. 2. pp. 166-168.
GOST all authors (up to 50) Copy
Vchislo N. V., Verochkina E. A., Larina L. I., Vashchenko A. V., Chuvashev Y. A. Reaction of 2-alkoxy- and 2-hydroxypropenals with o-phenylenediamine: a route to benzimidazoles and quinoxalines // Mendeleev Communications. 2017. Vol. 27. No. 2. pp. 166-168.
RIS
 | 
Cite this
RIS Copy
TY - JOUR
DO - 10.1016/j.mencom.2017.03.020
UR - https://mendcomm.colab.ws/publications/10.1016/j.mencom.2017.03.020
TI - Reaction of 2-alkoxy- and 2-hydroxypropenals with o-phenylenediamine: a route to benzimidazoles and quinoxalines
T2 - Mendeleev Communications
AU - Vchislo, Nadezhda Viktorovna
AU - Verochkina, Ekaterina Aleksandrovna
AU - Larina, Lyudmila Ivanovna
AU - Vashchenko, Alexander Valentinovich
AU - Chuvashev, Yuri Aleksandrovich
PY - 2017
DA - 2017/02/27
PB - Mendeleev Communications
SP - 166-168
IS - 2
VL - 27
ER -
BibTex
 | 
Cite this
BibTex (up to 50 authors) Copy
@article{2017_Vchislo,
author = {Nadezhda Viktorovna Vchislo and Ekaterina Aleksandrovna Verochkina and Lyudmila Ivanovna Larina and Alexander Valentinovich Vashchenko and Yuri Aleksandrovich Chuvashev},
title = {Reaction of 2-alkoxy- and 2-hydroxypropenals with o-phenylenediamine: a route to benzimidazoles and quinoxalines},
journal = {Mendeleev Communications},
year = {2017},
volume = {27},
publisher = {Mendeleev Communications},
month = {Feb},
url = {https://mendcomm.colab.ws/publications/10.1016/j.mencom.2017.03.020},
number = {2},
pages = {166--168},
doi = {10.1016/j.mencom.2017.03.020}
}
MLA
Cite this
MLA Copy
Vchislo, Nadezhda Viktorovna, et al. “Reaction of 2-alkoxy- and 2-hydroxypropenals with o-phenylenediamine: a route to benzimidazoles and quinoxalines.” Mendeleev Communications, vol. 27, no. 2, Feb. 2017, pp. 166-168. https://mendcomm.colab.ws/publications/10.1016/j.mencom.2017.03.020.

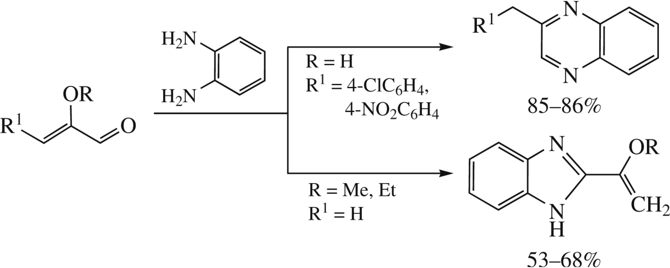
Abstract

The reaction of o-phenylenediamine with 2-alkoxypropenals at room temperature affords 2-(1-alkoxyvinyl)benzimidazoles (53–68%), while 2-hydroxy-3-arylpropenals give 2-(arylmethyl) quinoxalines (85–86%).

References

3.
Benzimidazole Derivatives as Potent JAK1-Selective Inhibitors
Kim M.K., Shin H., Park K., Kim H., Park J., Kim K., Nam J., Choo H., Chong Y.
Journal of Medicinal Chemistry, 2015
5.
Benzimidazole-BODIPY as optical and fluorometric pH sensor
Li Z., Li L., Sun T., Liu L., Xie Z.
Dyes and Pigments, 2016
6.
Discovery, Optimization, and in Vivo Evaluation of Benzimidazole Derivatives AM-8508 and AM-9635 as Potent and Selective PI3Kδ Inhibitors
Shin Y., Suchomel J., Cardozo M., Duquette J., He X., Henne K., Hu Y., Kelly R.C., McCarter J., McGee L.R., Medina J.C., Metz D., San Miguel T., Mohn D., Tran T., et. al.
Journal of Medicinal Chemistry, 2015
9.
Identification of Phenylsulfone-Substituted Quinoxaline (WYE-672) as a Tissue Selective Liver X-receptor (LXR) Agonist
Hu B., Unwalla R.J., Goljer I., Jetter J.W., Quinet E.M., Berrodin T.J., Basso M.D., Feingold I.B., Nilsson A.G., Wilhelmsson A., Evans M.J., Wrobel J.E.
Journal of Medicinal Chemistry, 2010
10.
Fragment Based Design of New H4 Receptor−Ligands with Anti-inflammatory Properties in Vivo
Smits R.A., Lim H.D., Hanzer A., Zuiderveld O.P., Guaita E., Adami M., Coruzzi G., Leurs R., de Esch I.J.
Journal of Medicinal Chemistry, 2008
11.
3-Trifluoromethylquinoxaline N,N′-Dioxides as Anti-Trypanosomatid Agents. Identification of Optimal Anti-T. cruzi Agents and Mechanism of Action Studies
Benitez D., Cabrera M., Hernández P., Boiani L., Lavaggi M.L., Di Maio R., Yaluff G., Serna E., Torres S., Ferreira M.E., Vera de Bilbao N., Torres E., Pérez-Silanes S., Solano B., Moreno E., et. al.
Journal of Medicinal Chemistry, 2011
12.
2-alkoxypropenals as synthetic equivalents of methylglyoxal in the synthesis of heterocycles
Keiko N.A., Vchislo N.V., Larina L.I.
Russian Journal of Organic Chemistry, 2013
13.
Keiko N.A., Vchislo N.V., Verochkina E.A., Chuvashev Y.A., Larina L.I.
Mendeleev Communications, 2016