Home / Publications / Quantum-chemical modeling of the oxidation of Auiii hydride complexes by hydrogen peroxide

Quantum-chemical modeling of the oxidation of Auiii hydride complexes by hydrogen peroxide

3
Share
Cite this
GOST
 | 
Cite this
GOST Copy
Nikitenko N. G., Shestakov A. F. Quantum-chemical modeling of the oxidation of Auiii hydride complexes by hydrogen peroxide // Mendeleev Communications. 2017. Vol. 27. No. 2. pp. 144-146.
GOST all authors (up to 50) Copy
Nikitenko N. G., Shestakov A. F. Quantum-chemical modeling of the oxidation of Auiii hydride complexes by hydrogen peroxide // Mendeleev Communications. 2017. Vol. 27. No. 2. pp. 144-146.
RIS
 | 
Cite this
RIS Copy
TY - JOUR
DO - 10.1016/j.mencom.2017.03.012
UR - https://mendcomm.colab.ws/publications/10.1016/j.mencom.2017.03.012
TI - Quantum-chemical modeling of the oxidation of Auiii hydride complexes by hydrogen peroxide
T2 - Mendeleev Communications
AU - Nikitenko, Natalya Gennadievna
AU - Shestakov, Alexander Fedorovich
PY - 2017
DA - 2017/02/27
PB - Mendeleev Communications
SP - 144-146
IS - 2
VL - 27
ER -
BibTex
 | 
Cite this
BibTex (up to 50 authors) Copy
@article{2017_Nikitenko,
author = {Natalya Gennadievna Nikitenko and Alexander Fedorovich Shestakov},
title = {Quantum-chemical modeling of the oxidation of Auiii hydride complexes by hydrogen peroxide},
journal = {Mendeleev Communications},
year = {2017},
volume = {27},
publisher = {Mendeleev Communications},
month = {Feb},
url = {https://mendcomm.colab.ws/publications/10.1016/j.mencom.2017.03.012},
number = {2},
pages = {144--146},
doi = {10.1016/j.mencom.2017.03.012}
}
MLA
Cite this
MLA Copy
Nikitenko, Natalya Gennadievna, and Alexander Fedorovich Shestakov. “Quantum-chemical modeling of the oxidation of Auiii hydride complexes by hydrogen peroxide.” Mendeleev Communications, vol. 27, no. 2, Feb. 2017, pp. 144-146. https://mendcomm.colab.ws/publications/10.1016/j.mencom.2017.03.012.

Abstract

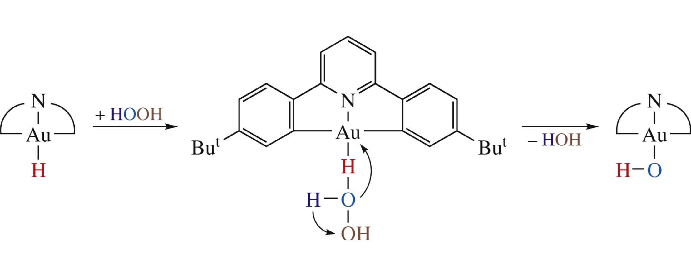
According to quantum chemical calculations, the interaction of a thermally stable Auiii hydride complex with H2O2 leads to the formation of an Auiii hydroxyl complex in one stage with a low activation barrier and a significant energy decrease.

References

1.
Catalysis: Gold rush
Haruta M.
Nature, 2005
2.
Selective conversion of cyclohexane to cyclohexanol and cyclohexanone using a gold catalyst under mild conditions
Xu Y., Landon P., Enache D., Carley A.F., Roberts M.W., Hutchings G.J.
Catalysis Letters, 2005
4.
Selective Oxidation of Methane to Methanol Catalyzed, with CH Activation, by Homogeneous, Cationic Gold
Jones C., Taube D., Ziatdinov V.R., Periana R.A., Nielsen R.J., Oxgaard J., Goddard W.A.
Angewandte Chemie - International Edition, 2004
5.
Gold Redox Catalysis for Selective Oxidation of Methane to Methanol
De Vos D.E., Sels B.F.
Angewandte Chemie - International Edition, 2005
7.
N. G. Nikitenko and A. F. Shestakov, International Scientific Journal for Alternative Energy and Ecology (Al’tern. Energ. Ekol.), 2010, no. 8, 88.(in Russian).
8.
10.1016/j.mencom.2017.03.012_bib0040
Lauterbach
2014
10.
Are β-H eliminations or alkene insertions feasible elementary steps in catalytic cycles involving gold(I) alkyl species or gold(I) hydrides?
Klatt G., Xu R., Pernpointner M., Molinari L., Quang Hung T., Rominger F., Hashmi A.S., Köppel H.
Chemistry - A European Journal, 2013
13.
Mechanism of the Dehydrogenative Silylation of Alcohols Catalyzed by Cationic Gold Complexes: An Experimental and Theoretical Study
Labouille S., Escalle-Lewis A., Jean Y., Mézailles N., Le Floch P.
Chemistry - A European Journal, 2011
14.
A Thermally Stable Gold(III) Hydride: Synthesis, Reactivity, and Reductive Condensation as a Route to Gold(II) Complexes
Roşca D., Smith D.A., Hughes D.L., Bochmann M.
Angewandte Chemie - International Edition, 2012
15.
Generalized Gradient Approximation Made Simple
Perdew J.P., Burke K., Ernzerhof M.
Physical Review Letters, 1996
20.
Bonded-atom fragments for describing molecular charge densities
Hirshfeld F.L.
Theoretical Chemistry Accounts, 1977
21.
10.1016/j.mencom.2017.03.012_bib0105
Frisch
Gaussian 03, Revision E.01, 2004
23.
Computational Approaches to Homogeneous Gold Catalysis
Faza O.N., López C.S.
Topics in Current Chemistry, 2014
24.
Single-site homogeneous and heterogeneized gold(III) hydrogenation catalysts: mechanistic implications.
Comas-Vives A., González-Arellano C., Corma A., Iglesias M., Sánchez F., Ujaque G.
Journal of the American Chemical Society, 2006
25.
Fire and Ice: A Gold(III) Monohydride
Hashmi A.S.
Angewandte Chemie - International Edition, 2012