Home / Publications / A convenient synthesis of 8,8’-spirobi(chromano-1,2-oxaphosphinine) derivatives

A convenient synthesis of 8,8’-spirobi(chromano-1,2-oxaphosphinine) derivatives

3
Share
Cite this
GOST
 | 
Cite this
GOST Copy
Nasibullin I. O., Nemtarev A. V., Mironov V. F. A convenient synthesis of 8,8’-spirobi(chromano-1,2-oxaphosphinine) derivatives // Mendeleev Communications. 2017. Vol. 27. No. 2. pp. 131-133.
GOST all authors (up to 50) Copy
Nasibullin I. O., Nemtarev A. V., Mironov V. F. A convenient synthesis of 8,8’-spirobi(chromano-1,2-oxaphosphinine) derivatives // Mendeleev Communications. 2017. Vol. 27. No. 2. pp. 131-133.
RIS
 | 
Cite this
RIS Copy
TY - JOUR
DO - 10.1016/j.mencom.2017.03.007
UR - https://mendcomm.colab.ws/publications/10.1016/j.mencom.2017.03.007
TI - A convenient synthesis of 8,8’-spirobi(chromano-1,2-oxaphosphinine) derivatives
T2 - Mendeleev Communications
AU - Nasibullin, Igor Olegovich
AU - Nemtarev, Andrey Vladimirovich
AU - Mironov, Vladimir Fedorovich
PY - 2017
DA - 2017/02/27
PB - Mendeleev Communications
SP - 131-133
IS - 2
VL - 27
ER -
BibTex
 | 
Cite this
BibTex (up to 50 authors) Copy
@article{2017_Nasibullin,
author = {Igor Olegovich Nasibullin and Andrey Vladimirovich Nemtarev and Vladimir Fedorovich Mironov},
title = {A convenient synthesis of 8,8’-spirobi(chromano-1,2-oxaphosphinine) derivatives},
journal = {Mendeleev Communications},
year = {2017},
volume = {27},
publisher = {Mendeleev Communications},
month = {Feb},
url = {https://mendcomm.colab.ws/publications/10.1016/j.mencom.2017.03.007},
number = {2},
pages = {131--133},
doi = {10.1016/j.mencom.2017.03.007}
}
MLA
Cite this
MLA Copy
Nasibullin, Igor Olegovich, et al. “A convenient synthesis of 8,8’-spirobi(chromano-1,2-oxaphosphinine) derivatives.” Mendeleev Communications, vol. 27, no. 2, Feb. 2017, pp. 131-133. https://mendcomm.colab.ws/publications/10.1016/j.mencom.2017.03.007.

Abstract

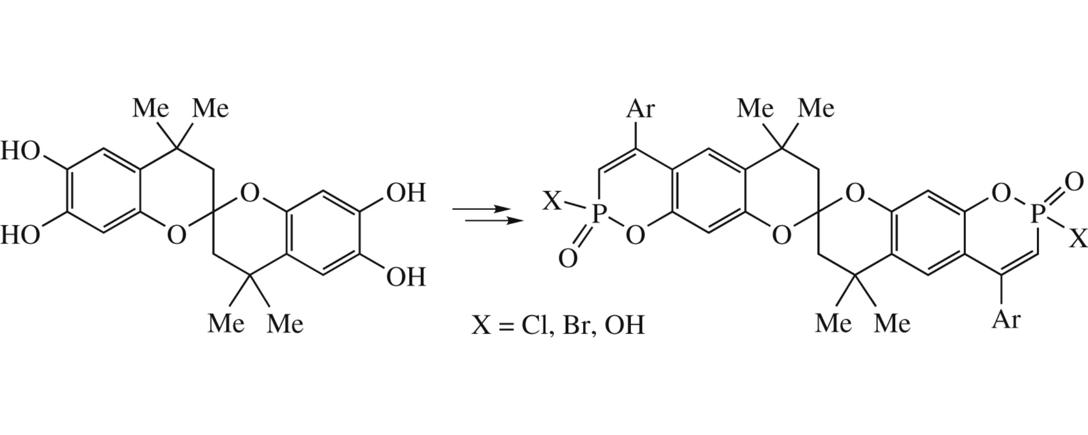
8,8-Spirobi(chromano-1,2-oxaphosphinines) were obtained by the reaction between phosphorylated derivatives of spirodichromane and arylacetylenes with a high chemoselectivity.

References

1.
10.1016/j.mencom.2017.03.007_bib0005
Nifant’ev
Dokl. Chem., 1997
2.
Synthesis and Gas Permeation Properties of Spirobischromane‐Based Polymers of Intrinsic Microporosity
Fritsch D., Bengtson G., Carta M., McKeown N.B.
Macromolecular Chemistry and Physics, 2011
4.
Phthalocyanine-based nanoporous network polymers
McKeown N.B., Makhseed S., Budd P.M.
Chemical Communications, 2002
5.
Tuktarov A.R., Khalilov L.M., Babievskii K.K., Akhmetov A.R., Sokolov V.I., Dzhemilev U.M.
Mendeleev Communications, 2015
7.
The structure of products of reaction of o-phenylenedioxytrichlorophosphorane with arylacetylenes
Mironov V.F., Zyablikova T.A., Konovalova I.V., Khanipova M.G., Musin R.A.
Russian Chemical Bulletin, 1997
8.
Phosphaisocoumarins as a new class of potent inhibitors for pancreatic cholesterol esterase.
Li B., Zhou B., Lu H., Ma L., Peng A.
European Journal of Medicinal Chemistry, 2010
10.
Reaction of phenylenedioxytrihalogenophosphoranes with arylacetylenes. Synthesis and spatial structure of the derivatives of 2-oxo-4-aryl-5,6-benzo-1,2-oxaphosphorin-2-enes
Mironov V.F., Gubaidullin A.T., Petrov R.R., Litvinov I.A., Shtyrlina A.A., Zyablikova T.A., Azancheev N.M., Konovalov A.I., Musin R.Z.
Phosphorus, Sulfur and Silicon and the Related Elements, 1999