Home / Publications / Syntheses of chiral nopinane-annelated pyridines of C2 and D2-symmetry: X-ray structures of the fused derivatives of 4,5-diazafluorene, 4,5-diaza-9H-fluoren-9-one, and 9,9’-bi-4,5-diazafluorenylidene

Syntheses of chiral nopinane-annelated pyridines of C2 and D2-symmetry: X-ray structures of the fused derivatives of 4,5-diazafluorene, 4,5-diaza-9H-fluoren-9-one, and 9,9’-bi-4,5-diazafluorenylidene

15
Share
Cite this
GOST
 | 
Cite this
GOST Copy
Vasilyev E. S., Bagryanskaya I. Y., Tkachev A. V. Syntheses of chiral nopinane-annelated pyridines of C2 and D2-symmetry: X-ray structures of the fused derivatives of 4,5-diazafluorene, 4,5-diaza-9H-fluoren-9-one, and 9,9’-bi-4,5-diazafluorenylidene // Mendeleev Communications. 2017. Vol. 27. No. 2. pp. 128-130.
GOST all authors (up to 50) Copy
Vasilyev E. S., Bagryanskaya I. Y., Tkachev A. V. Syntheses of chiral nopinane-annelated pyridines of C2 and D2-symmetry: X-ray structures of the fused derivatives of 4,5-diazafluorene, 4,5-diaza-9H-fluoren-9-one, and 9,9’-bi-4,5-diazafluorenylidene // Mendeleev Communications. 2017. Vol. 27. No. 2. pp. 128-130.
RIS
 | 
Cite this
RIS Copy
TY - JOUR
DO - 10.1016/j.mencom.2017.03.006
UR - https://mendcomm.colab.ws/publications/10.1016/j.mencom.2017.03.006
TI - Syntheses of chiral nopinane-annelated pyridines of C2 and D2-symmetry: X-ray structures of the fused derivatives of 4,5-diazafluorene, 4,5-diaza-9H-fluoren-9-one, and 9,9’-bi-4,5-diazafluorenylidene
T2 - Mendeleev Communications
AU - Vasilyev, Eugene Sergeevich
AU - Bagryanskaya, Irina Yur'evna
AU - Tkachev, Alexey Vasil'evich
PY - 2017
DA - 2017/02/27
PB - Mendeleev Communications
SP - 128-130
IS - 2
VL - 27
ER -
BibTex
 | 
Cite this
BibTex (up to 50 authors) Copy
@article{2017_Vasilyev,
author = {Eugene Sergeevich Vasilyev and Irina Yur'evna Bagryanskaya and Alexey Vasil'evich Tkachev},
title = {Syntheses of chiral nopinane-annelated pyridines of C2 and D2-symmetry: X-ray structures of the fused derivatives of 4,5-diazafluorene, 4,5-diaza-9H-fluoren-9-one, and 9,9’-bi-4,5-diazafluorenylidene},
journal = {Mendeleev Communications},
year = {2017},
volume = {27},
publisher = {Mendeleev Communications},
month = {Feb},
url = {https://mendcomm.colab.ws/publications/10.1016/j.mencom.2017.03.006},
number = {2},
pages = {128--130},
doi = {10.1016/j.mencom.2017.03.006}
}
MLA
Cite this
MLA Copy
Vasilyev, Eugene Sergeevich, et al. “Syntheses of chiral nopinane-annelated pyridines of C2 and D2-symmetry: X-ray structures of the fused derivatives of 4,5-diazafluorene, 4,5-diaza-9H-fluoren-9-one, and 9,9’-bi-4,5-diazafluorenylidene.” Mendeleev Communications, vol. 27, no. 2, Feb. 2017, pp. 128-130. https://mendcomm.colab.ws/publications/10.1016/j.mencom.2017.03.006.

Abstract

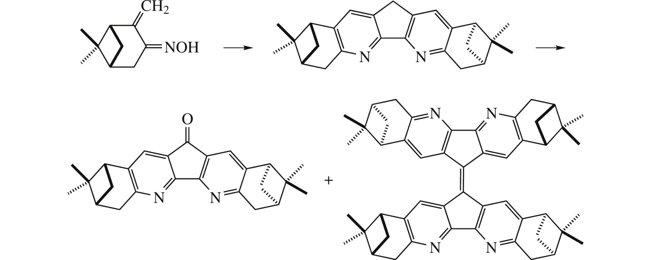
Reaction of (+)-pinocarvone oxime with 2-morpholinocyclopent-2-enone and FeCl3·6H2O affords chiral C2-symmetric fused derivative of 4,5-diazafluorene, whose oxidation with SeO2 gives nopinane-annelated derivatives of 4,5-diaza-9Hfluoren- 9-one (C2-symmetry) and of 9,9-bi-4,5-diazafluorenylidene (D2-symmetry). Structures of the compounds synthesized were proved by X-ray crystallography.

References

4.
Helical Chiral PyridineN-Oxides: A New Family of Asymmetric Catalysts
Chen J., Takenaka N.
Chemistry - A European Journal, 2009
7.
Chiral 2,2‘-Bipyridine-Type N-Monoxides as Organocatalysts in the Enantioselective Allylation of Aldehydes with Allyltrichlorosilane
Malkov A.V., Orsini M., Pernazza D., Muir K.W., Langer V., Meghani P., Kočovský P.
Organic Letters, 2002
8.
Chiral N‐Oxides in Asymmetric Catalysis
Malkov A.V., Kočovský P.
European Journal of Organic Chemistry, 2006
10.
Chiral zinc(II) and cadmium(II) complexes with a dihydrophenanthroline ligand bearing (–)-α-pinene fragments: Synthesis, crystal structures and photophysical properties
Kokina T.E., Glinskaya L.A., Tkachev A.V., Plyusnin V.F., Tsoy Y.V., Bagryanskaya I.Y., Vasilyev E.S., Piryazev D.A., Sheludyakova L.A., Larionov S.V.
Polyhedron, 2016
12.
Synthesis of 2-hydroxy-3-methylcyclopent-2-en-1-one. III
Sato K., Inoue S., Kitagawa T., Takahashi T.
Journal of Organic Chemistry, 1973
13.
Vasilyev E.S., Agafontsev A.M., Kolesnik V.D., Gatilov Y.V., Tkachev A.V.
Mendeleev Communications, 2011
16.
10.1016/j.mencom.2017.03.006_bib0050
Sheldrick
SHELX-97, Programs for Crystal Structure Analysis (Release 97-2), 1997
17.
10.1016/j.mencom.2017.03.006_sbref0055a
Spek
PLATON, A Multipurpose Crystallographic Tool (Version 10M), 2003
18.
Single-crystal structure validation with the programPLATON