Home / Publications / Zirconium-catalyzed cycloalumination of alkenes in the one-pot synthesis of 3-substituted 1H-phospholane oxides

Zirconium-catalyzed cycloalumination of alkenes in the one-pot synthesis of 3-substituted 1H-phospholane oxides

Leisan Kadyrovna Dil'mukhametova 1
Leisan Kadyrovna Dil'mukhametova
Tat'yana Viktorovna Tyumkina 1
Tat'yana Viktorovna Tyumkina
Vladimir Anatol'evich D'yakonov
Published 2016-12-29
CommunicationVolume 27, Issue 1, 23-25
8
Share
Cite this
GOST
 | 
Cite this
GOST Copy
Dil'mukhametova L. K. et al. Zirconium-catalyzed cycloalumination of alkenes in the one-pot synthesis of 3-substituted 1H-phospholane oxides // Mendeleev Communications. 2016. Vol. 27. No. 1. pp. 23-25.
GOST all authors (up to 50) Copy
Dil'mukhametova L. K., Tyumkina T. V., D'yakonov V. A., Dzhemilev U. M. Zirconium-catalyzed cycloalumination of alkenes in the one-pot synthesis of 3-substituted 1H-phospholane oxides // Mendeleev Communications. 2016. Vol. 27. No. 1. pp. 23-25.
RIS
 | 
Cite this
RIS Copy
TY - JOUR
DO - 10.1016/j.mencom.2017.01.006
UR - https://mendcomm.colab.ws/publications/10.1016/j.mencom.2017.01.006
TI - Zirconium-catalyzed cycloalumination of alkenes in the one-pot synthesis of 3-substituted 1H-phospholane oxides
T2 - Mendeleev Communications
AU - Dil'mukhametova, Leisan Kadyrovna
AU - Tyumkina, Tat'yana Viktorovna
AU - D'yakonov, Vladimir Anatol'evich
AU - Dzhemilev, Usein Memetovich
PY - 2016
DA - 2016/12/29
PB - Mendeleev Communications
SP - 23-25
IS - 1
VL - 27
ER -
BibTex
 | 
Cite this
BibTex (up to 50 authors) Copy
@article{2016_Dil'mukhametova,
author = {Leisan Kadyrovna Dil'mukhametova and Tat'yana Viktorovna Tyumkina and Vladimir Anatol'evich D'yakonov and Usein Memetovich Dzhemilev},
title = {Zirconium-catalyzed cycloalumination of alkenes in the one-pot synthesis of 3-substituted 1H-phospholane oxides},
journal = {Mendeleev Communications},
year = {2016},
volume = {27},
publisher = {Mendeleev Communications},
month = {Dec},
url = {https://mendcomm.colab.ws/publications/10.1016/j.mencom.2017.01.006},
number = {1},
pages = {23--25},
doi = {10.1016/j.mencom.2017.01.006}
}
MLA
Cite this
MLA Copy
Dil'mukhametova, Leisan Kadyrovna, et al. “Zirconium-catalyzed cycloalumination of alkenes in the one-pot synthesis of 3-substituted 1H-phospholane oxides.” Mendeleev Communications, vol. 27, no. 1, Dec. 2016, pp. 23-25. https://mendcomm.colab.ws/publications/10.1016/j.mencom.2017.01.006.

Abstract

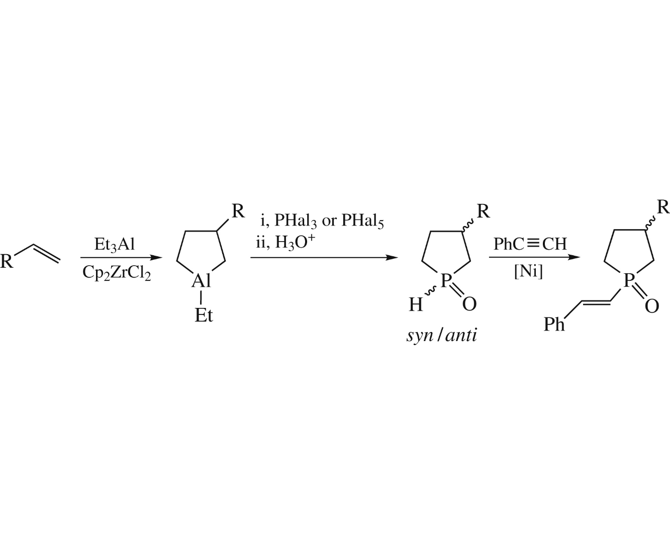
A new one-pot synthesis of 3-R-1H-phospholane oxides (57–65% yield) was implemented by reaction of phosphorus tri- or pentahalides with 3-R-1-aluminacyclopentanes (in situ generated by Zr-catalyzed cycloalumination of alkenes). The products are readily P-vinylated by Cu-promoted reaction with alkynes.

References

1.
10.1016/j.mencom.2017.01.006_bib0005
2004
2.
10.1016/j.mencom.2017.01.006_bib0010
Phosphorus Ligands in Asymmetric Catalysis, 2008
4.
P-Heterocycles as Ligands in Homogeneous Catalytic Reactions
5.
Chiral phosphines in nucleophilic organocatalysis
Xiao Y., Sun Z., Guo H., Kwon O.
Beilstein Journal of Organic Chemistry, 2014
7.
A New Access to Chiral Phospholanes
Dubrovina N.V., Jiao H., Tararov V.I., Spannenberg A., Kadyrov R., Monsees A., Christiansen A., Börner A.
European Journal of Organic Chemistry, 2006
9.
1-Alkoxy-2,5-diphenylphospholane and -phospholanium Salts in Rhodium-Catalyzed Asymmetric Hydrogenation
Galland A., Paris J.M., Schlama T., Guillot R., Fiaud J., Toffano M.
European Journal of Organic Chemistry, 2007
10.
Application of Monodentate Secondary Phosphine Oxides, a New Class of Chiral Ligands, in Ir(I)-Catalyzed Asymmetric Imine Hydrogenation
Jiang X., Minnaard A.J., Hessen B., Feringa B.L., Duchateau A.L., Andrien J.G., Boogers J.A., de Vries J.G.
Organic Letters, 2003
11.
Optically Active Phospholanes as Substituents on Ferrocene and Chromium‐Arene Complexes
Braun W., Calmuschi B., Haberland J., Hummel W., Liese A., Nickel T., Stelzer O., Salzer A.
European Journal of Inorganic Chemistry, 2004
16.
Catalytic methods for building up phosphorus-carbon bond
Beletskaya I.P., Kazankova M.A.
Russian Journal of Organic Chemistry, 2002
17.
The comparison of addition of molecules possessing P(V)-H bond to alkynes catalyzed with Pd and Ni complexes
Ananikov V.P., Khemchyan L.L., Beletskaya I.P.
Russian Journal of Organic Chemistry, 2010
19.
Unusual control of reaction selectivity through a subtle change in the ligand: Proof of concept and application in Pd-catalyzed C-P bond formation
20.
Development of new methods in modern selective organic synthesis: Preparation of functionalized molecules with atomic precision
Ananikov V.P., Khemchyan L.L., Ivanova Y.V., Bukhtiyarov V.I., Sorokin A.M., Prosvirin I.P., Vatsadze S.Z., Medved'ko A.V., Nuriev V.N., Dilman A.D., Levin V.V., Koptyug I.V., Kovtunov K.V., Zhivonitko V.V., Likholobov V.A., et. al.
Russian Chemical Reviews, 2014
24.
Synthesis of phosphonate derivatives of uridine, cytidine, and cytosine arabinoside
Jung K., Hohl R.J., Wiemer A.J., Wiemer D.F.
Bioorganic and Medicinal Chemistry, 2000
25.
2-(Acyloxy)ethylphosphonate analogues of prenyl pyrophosphates: synthesis and biological characterization
Cermak D.M., Wiemer D.F., Lewis K., Hohl R.J.
Bioorganic and Medicinal Chemistry, 2000
26.
Novel acyclonucleotides: synthesis and antiviral activity of alkenylphosphonic acid derivatives of purines and a pyrimidine
27.
Artem’ev A.V., Gusarova N.K., Malysheva S.F., Belogorlova N.A., Kazheva O.N., Alexandrov G.G., Dyachenko O.A., Trofimov B.A.
Mendeleev Communications, 2015
28.
Artem’ev A.V., Gusarova N.K., Sutyrina A.O., Gatilov Y.V., Trofimov B.A.
Mendeleev Communications, 2016
31.
Generation and reactivity of a 3H-phosphaindene: the first 3H-phosphole
Aitken R.A., Clasper P.N., Wilson N.J.
Tetrahedron Letters, 1999
36.
Synthesis and transformations of metallacycles 40. Catalytic cycloalumination in the synthesis of 3-substituted phospholanes
D’yakonov V.A., Makhamatkhanova A.L., Tyumkina T.V., Dzhemilev U.M.
Russian Chemical Bulletin, 2012
37.
Targeted synthesis of 2,3-disubstituted 2-phospholenes using catalytic cycloalumination of acetylenes
D’yakonov V.A., Makhamatkhanova A.L., Agliullina R.A., Tyumkina T.V., Dzhemilev U.M.
Tetrahedron Letters, 2014
38.
Synthesis and transformations of metallacycles 43. One-pot synthesis of polycyclic 3-alkyl(phenyl)phospholane 3-oxides
Makhamatkhanova A.L., Dil’mukhametova L.K., Tyumkina T.V., D’yakonov V.A., Dzhemilev U.M.
Russian Chemical Bulletin, 2013
39.
Catalytic Cycloalumination for the Synthesis of Norbornane-Annulated Phospholanes
D’yakonov V.A., Makhamatkhanova A.L., Dilmukhametova L.K., Agliullina R.A., Tyumkina T.V., Dzhemilev U.M.
Organometallics, 2014
40.
Synthesis and transformations of metallacycles 46. Catalytic cycloalumination reaction in the synthesis of bis(phospholanes)
D’yakonov V.A., Makhamatkhanova A.L., Agliullina R.A., Tyumkina T.V., Dzhemilev U.M.
Russian Chemical Bulletin, 2015
41.
Structure and conformations of 2-substituted and 3-substituted alumolanes in polar solvents: a direct NMR observation
Tyumkina T. ., Islamov D. ., Parfenova L. ., Khalilov L. ., Dzhemilev U. .
Magnetic Resonance in Chemistry, 2015
42.
Concept of Improved Rigidity:  How to Make Enantioselective Hydrophosphonylation of Cyclic Imines Catalyzed by Chiral Heterobimetallic Lanthanoid Complexes Almost Perfect
Schlemminger I., Saida Y., Gröger H., Maison W., Durot N., Sasai H., Shibasaki M., Martens J.
Journal of Organic Chemistry, 2000