Home / Publications / Stereo- and regioselective synthesis of spacer armed α2-6 sialooligosaccharides

Stereo- and regioselective synthesis of spacer armed α2-6 sialooligosaccharides

Galina Valentinovna Pazynina 1
Galina Valentinovna Pazynina
Svetlana Vladimirovna Tsygankova 1
Svetlana Vladimirovna Tsygankova
Marina Aleksandrovna Sablina 1
Marina Aleksandrovna Sablina
Alexander Sergeyevich Paramonov
Alexander Borisovich Tuzikov 1
Alexander Borisovich Tuzikov
Published 2016-09-08
CommunicationVolume 26, Issue 5, 380-382
1
Share
Cite this
GOST
 | 
Cite this
GOST Copy
Pazynina G. V. et al. Stereo- and regioselective synthesis of spacer armed α2-6 sialooligosaccharides // Mendeleev Communications. 2016. Vol. 26. No. 5. pp. 380-382.
GOST all authors (up to 50) Copy
Pazynina G. V., Tsygankova S. V., Sablina M. A., Paramonov A. S., Tuzikov A. B., Bovin N. V. Stereo- and regioselective synthesis of spacer armed α2-6 sialooligosaccharides // Mendeleev Communications. 2016. Vol. 26. No. 5. pp. 380-382.
RIS
 | 
Cite this
RIS Copy
TY - JOUR
DO - 10.1016/j.mencom.2016.09.004
UR - https://mendcomm.colab.ws/publications/10.1016/j.mencom.2016.09.004
TI - Stereo- and regioselective synthesis of spacer armed α2-6 sialooligosaccharides
T2 - Mendeleev Communications
AU - Pazynina, Galina Valentinovna
AU - Tsygankova, Svetlana Vladimirovna
AU - Sablina, Marina Aleksandrovna
AU - Paramonov, Alexander Sergeyevich
AU - Tuzikov, Alexander Borisovich
AU - Bovin, Nicolai Vladimirovich
PY - 2016
DA - 2016/09/08
PB - Mendeleev Communications
SP - 380-382
IS - 5
VL - 26
ER -
BibTex
 | 
Cite this
BibTex (up to 50 authors) Copy
@article{2016_Pazynina,
author = {Galina Valentinovna Pazynina and Svetlana Vladimirovna Tsygankova and Marina Aleksandrovna Sablina and Alexander Sergeyevich Paramonov and Alexander Borisovich Tuzikov and Nicolai Vladimirovich Bovin},
title = {Stereo- and regioselective synthesis of spacer armed α2-6 sialooligosaccharides},
journal = {Mendeleev Communications},
year = {2016},
volume = {26},
publisher = {Mendeleev Communications},
month = {Sep},
url = {https://mendcomm.colab.ws/publications/10.1016/j.mencom.2016.09.004},
number = {5},
pages = {380--382},
doi = {10.1016/j.mencom.2016.09.004}
}
MLA
Cite this
MLA Copy
Pazynina, Galina Valentinovna, et al. “Stereo- and regioselective synthesis of spacer armed α2-6 sialooligosaccharides.” Mendeleev Communications, vol. 26, no. 5, Sep. 2016, pp. 380-382. https://mendcomm.colab.ws/publications/10.1016/j.mencom.2016.09.004.

Abstract

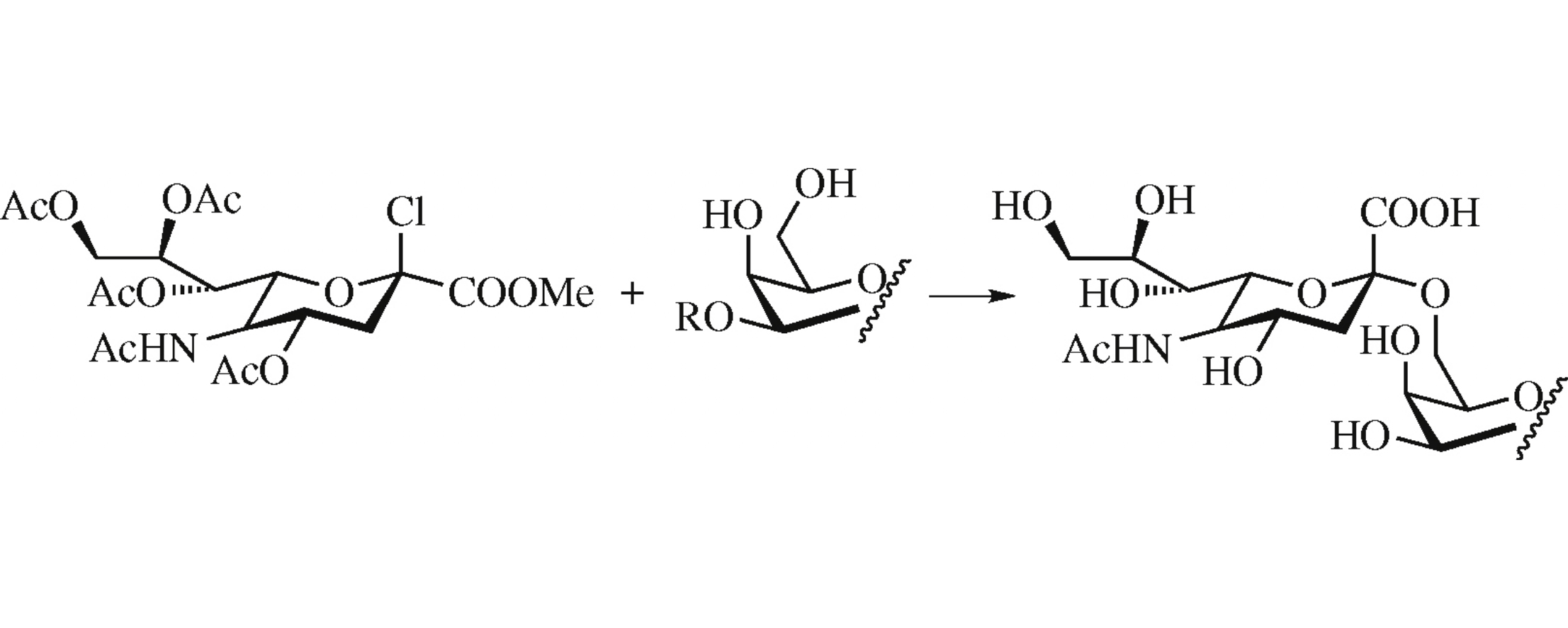
A simple protocol for the preparation of α2-6 sialooligosaccharides including SiaTn, SiaTF, 6 SL and 6 SLN in moderate yields involves room temperature glycosylation of 4,6-diol acceptors with routine sialic donor and one step isolation.

References

1.
10.1016/j.mencom.2016.09.004_bib0005
Shilova
SialoGlyco Chemistry and Biology 1, Biosynthesis, Structural Diversity and Sialoglycopathologies, 2015
3.
Anti-carbohydrate antibodies of normal sera: Findings, surprises and challenges
Huflejt M.E., Vuskovic M., Vasiliu D., Xu H., Obukhova P., Shilova N., Tuzikov A., Galanina O., Arun B., Lu K., Bovin N.
Molecular Immunology, 2009
5.
Simple stereoselective synthesis of α2-6 sialooligosaccharides
Pazynina G., Tuzikov A., Chinarev A., Obukhova P., Bovin N.
Tetrahedron Letters, 2002
6.
10.1016/j.mencom.2016.09.004_bib0030
Pazynina
Int. J. Carbohydr. Chem., 2010
9.
10.1016/j.mencom.2016.09.004_bib0045
Brocke
Synthesis, 2004
12.
10.1016/j.mencom.2016.09.004_bib0060
Ovchinnikova
Russ. J. Bioorg. Chem., 1997
15.
The synthesis of linear trilactosamine
Pazynina G.V., Severov V.V., Bovin N.V.
Russian Journal of Bioorganic Chemistry, 2008
16.
10.1016/j.mencom.2016.09.004_bib0080
Mikhura
Carbohydr. Lett., 1999
19.
10.1016/j.mencom.2016.09.004_bib0095
McCloskey
Org. Synth., 1945
20.
10.1016/j.mencom.2016.09.004_bib0100
Pazynina
2014
23.
10.1016/j.mencom.2016.09.004_bib0115
Simeoni
Russ. J. Bioorg. Chem., 1997