Home / Publications / Synthesis of tris[2-(2-furyl)ethyl]phosphine its chalcogenides and Pdii complex

Synthesis of tris[2-(2-furyl)ethyl]phosphine its chalcogenides and Pdii complex

Alexandr Viktorovich Artem’ev 1
Alexandr Viktorovich Artem’ev
Nina Kuzminichna Gusarova 1
Nina Kuzminichna Gusarova
Anastasiya Olegovna Sutyrina 1
Anastasiya Olegovna Sutyrina
Yuriy Vasil'evich Gatilov 2, 3
Yuriy Vasil'evich Gatilov
Boris Aleksandrovich Trofimov 1
Boris Aleksandrovich Trofimov
Published 2016-07-07
CommunicationVolume 26, Issue 4, 314-316
5
Share
Cite this
GOST
 | 
Cite this
GOST Copy
Artem’ev A. V. et al. Synthesis of tris[2-(2-furyl)ethyl]phosphine its chalcogenides and Pdii complex // Mendeleev Communications. 2016. Vol. 26. No. 4. pp. 314-316.
GOST all authors (up to 50) Copy
Artem’ev A. V., Gusarova N. K., Sutyrina A. O., Gatilov Y. V., Trofimov B. A. Synthesis of tris[2-(2-furyl)ethyl]phosphine its chalcogenides and Pdii complex // Mendeleev Communications. 2016. Vol. 26. No. 4. pp. 314-316.
RIS
 | 
Cite this
RIS Copy
TY - JOUR
DO - 10.1016/j.mencom.2016.07.016
UR - https://mendcomm.colab.ws/publications/10.1016/j.mencom.2016.07.016
TI - Synthesis of tris[2-(2-furyl)ethyl]phosphine its chalcogenides and Pdii complex
T2 - Mendeleev Communications
AU - Artem’ev, Alexandr Viktorovich
AU - Gusarova, Nina Kuzminichna
AU - Sutyrina, Anastasiya Olegovna
AU - Gatilov, Yuriy Vasil'evich
AU - Trofimov, Boris Aleksandrovich
PY - 2016
DA - 2016/07/07
PB - Mendeleev Communications
SP - 314-316
IS - 4
VL - 26
ER -
BibTex
 | 
Cite this
BibTex (up to 50 authors) Copy
@article{2016_Artem’ev,
author = {Alexandr Viktorovich Artem’ev and Nina Kuzminichna Gusarova and Anastasiya Olegovna Sutyrina and Yuriy Vasil'evich Gatilov and Boris Aleksandrovich Trofimov},
title = {Synthesis of tris[2-(2-furyl)ethyl]phosphine its chalcogenides and Pdii complex},
journal = {Mendeleev Communications},
year = {2016},
volume = {26},
publisher = {Mendeleev Communications},
month = {Jul},
url = {https://mendcomm.colab.ws/publications/10.1016/j.mencom.2016.07.016},
number = {4},
pages = {314--316},
doi = {10.1016/j.mencom.2016.07.016}
}
MLA
Cite this
MLA Copy
Artem’ev, Alexandr Viktorovich, et al. “Synthesis of tris[2-(2-furyl)ethyl]phosphine its chalcogenides and Pdii complex.” Mendeleev Communications, vol. 26, no. 4, Jul. 2016, pp. 314-316. https://mendcomm.colab.ws/publications/10.1016/j.mencom.2016.07.016.

Abstract

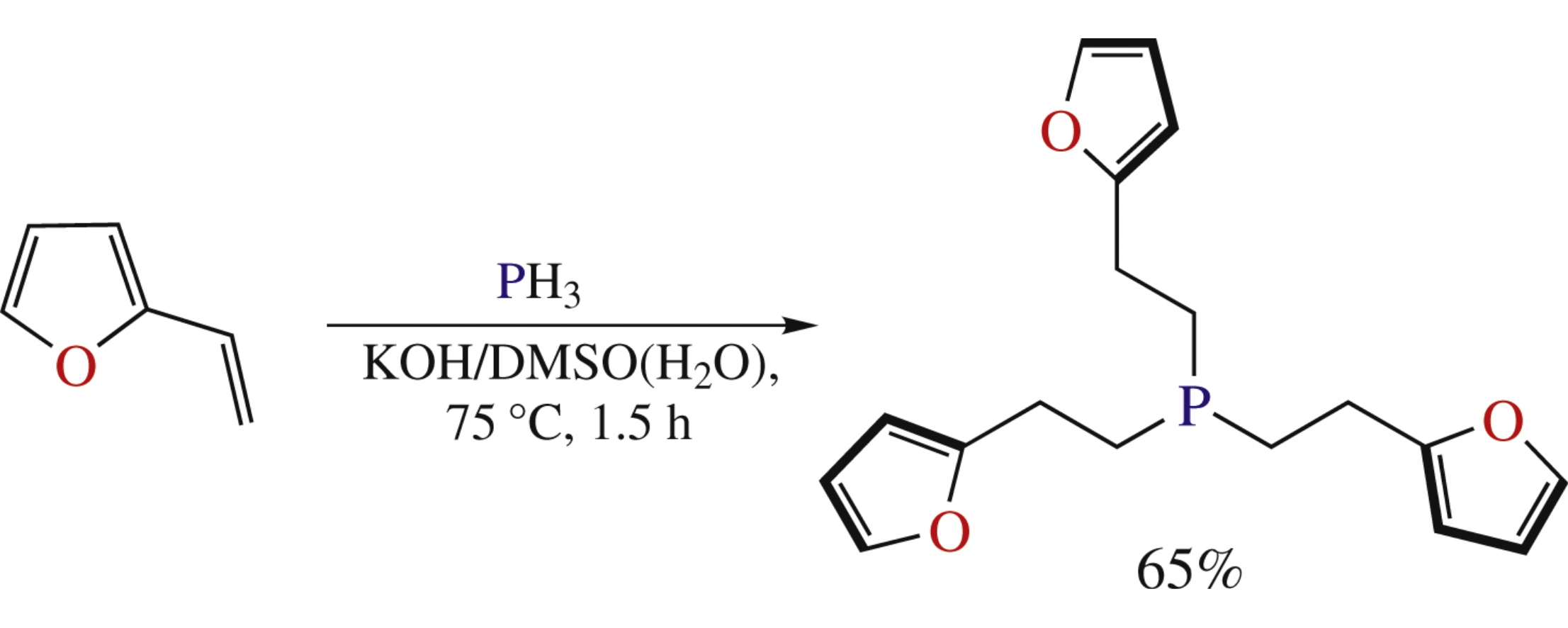
Nucleophilic addition of PH3 to 2-vinylfuran in the KOH/DMSO(H2O) suspension affords 65% of tris[2-(2-furyl)ethyl]-phosphine, whose treatment with H2O2, Se or PdCl gives the corresponding phosphine oxide, selenide and complex of trans-[Pd(L)2Cl2] type in good to excellent yields.

References

1.
Phosphine in the synthesis of organophosphorus compounds
Trofimov B.A., Arbuzova S.N., Gusarova N.K.
Russian Chemical Reviews, 1999
2.
Catalytic Synthesis of Phosphines and Related Compounds
Baillie C., Xiao J.
Current Organic Chemistry, 2003
4.
10.1016/j.mencom.2016.07.016_sbref0010a
Quin
A Guide to Organophosphorus Chemistry, 2000
5.
10.1016/j.mencom.2016.07.016_sbref0010b
Organophosphorus Reagents, 2004
7.
Novel general halogen-free methodology for the synthesis of organophosphorus compounds
Gusarova N.K., Arbuzova S.N., Trofimov B.A.
Pure and Applied Chemistry, 2012
8.
Gusarova N.K., Malysheva S.F., Kuimov V.A., Belogorlova N.A., Mikhailenko V.L., Trofimov B.A.
Mendeleev Communications, 2008
9.
Superbase-Assisted Addition of Phosphine to 1-Methoxy-4-vinylbenzene: Toward a Rare Family of Organic Phosphines
Malysheva S.F., Gusarova N.K., Artem'ev A.V., Belogorlova N.A., Smirnov V.I., Shagun V.A., Kuimov V.A., Trofimov B.A.
Synthetic Communications, 2012
10.
Nucleophilic addition of phosphine to 4-chlorostyrenes in the KOH-DMSO system
Artem’ev A.V., Malysheva S.F., Gusarova N.K., Korocheva A.O., Timokhina L.V., Trofimov B.A.
Russian Chemical Bulletin, 2013
11.
10.1016/j.mencom.2016.07.016_sbref0035a
Gusarova
Russ. J. Gen. Chem., 1997
12.
10.1016/j.mencom.2016.07.016_sbref0035b
Trofimov
Russ. J. Gen. Chem., 2000
13.
Synthesis of new secondary phosphine chalcogenides with bulky substituents from aryl(hetaryl)ethenes, red phosphorus, sulfur, and selenium
Malysheva S.F., Artem’ev A.V., Gusarova N.K., Timokhin B.V., Tatarinova A.A., Trofimov B.A.
Russian Journal of General Chemistry, 2009
15.
A CONVENIENT SYNTHESIS OF TERTIARY PHOSPHINES FROM RED PHOSPHORUS AND ARYL- OR HETEROARYLETHENES
Brandsma L., Arbuzova S., Lang R.D., Gusarova N., Trofimov B.
Phosphorus, Sulfur and Silicon and the Related Elements, 1997
17.
Artem’ev A.V., Gusarova N.K., Malysheva S.F., Belogorlova N.A., Kazheva O.N., Alexandrov G.G., Dyachenko O.A., Trofimov B.A.
Mendeleev Communications, 2015
18.
Gold-Catalyzed Synthesis of Furans and Furanones from Sulfur Ylides
Huang X., Peng B., Luparia M., Gomes L.F., Veiros L.F., Maulide N.
Angewandte Chemie - International Edition, 2012
19.
New class of potent antitumor acylhydrazone derivatives containing furan
Cui Z., Li Y., Ling Y., Huang J., Cui J., Wang R., Yang X.
European Journal of Medicinal Chemistry, 2010
20.
Total Synthesis of (±)-Bipinnatin J
Huang Q., Rawal V.H.
Organic Letters, 2006
21.
Synthesis and Biological Evaluation of a Novel Series of Furans:  Ligands Selective for Estrogen Receptor α
Mortensen D.S., Rodriguez A.L., Carlson K.E., Sun J., Katzenellenbogen B.S., Katzenellenbogen J.A.
Journal of Medicinal Chemistry, 2001
22.
10.1016/j.mencom.2016.07.016_sbref0060a
Keay
in Comprehensive Heterocyclic Chemistry III, 2008
23.
Natural sesquiterpenoids
Fraga B.M.
Natural Product Reports, 1992
24.
Clerodane diterpenoids
Merritt A.T., Ley S.V.
Natural Product Reports, 1992
25.
10.1016/j.mencom.2016.07.016_sbref0065a
Sheldrick
Program for the Solution of Crystal Structures SHELXS-97, 1997
26.
10.1016/j.mencom.2016.07.016_sbref0065b
Sheldrick
Program for Refinement of Crystal Structures SHELXL-97, 1997