Home / Publications / Surface modification of zirconia by Arsenazo III

Surface modification of zirconia by Arsenazo III

Tatyana Ivanovna Tikhomirova 1
Tatyana Ivanovna Tikhomirova
Alexander Vadimovich Ivanov 1
Alexander Vadimovich Ivanov
Published 2016-04-28
CommunicationVolume 26, Issue 3, 259-260
1
Share
Cite this
GOST
 | 
Cite this
GOST Copy
Tikhomirova T. I., Ivanov A. V. Surface modification of zirconia by Arsenazo III // Mendeleev Communications. 2016. Vol. 26. No. 3. pp. 259-260.
GOST all authors (up to 50) Copy
Tikhomirova T. I., Ivanov A. V. Surface modification of zirconia by Arsenazo III // Mendeleev Communications. 2016. Vol. 26. No. 3. pp. 259-260.
RIS
 | 
Cite this
RIS Copy
TY - JOUR
DO - 10.1016/j.mencom.2016.05.013
UR - https://mendcomm.colab.ws/publications/10.1016/j.mencom.2016.05.013
TI - Surface modification of zirconia by Arsenazo III
T2 - Mendeleev Communications
AU - Tikhomirova, Tatyana Ivanovna
AU - Ivanov, Alexander Vadimovich
PY - 2016
DA - 2016/04/28
PB - Mendeleev Communications
SP - 259-260
IS - 3
VL - 26
ER -
BibTex
 | 
Cite this
BibTex (up to 50 authors) Copy
@article{2016_Tikhomirova,
author = {Tatyana Ivanovna Tikhomirova and Alexander Vadimovich Ivanov},
title = {Surface modification of zirconia by Arsenazo III},
journal = {Mendeleev Communications},
year = {2016},
volume = {26},
publisher = {Mendeleev Communications},
month = {Apr},
url = {https://mendcomm.colab.ws/publications/10.1016/j.mencom.2016.05.013},
number = {3},
pages = {259--260},
doi = {10.1016/j.mencom.2016.05.013}
}
MLA
Cite this
MLA Copy
Tikhomirova, Tatyana Ivanovna, and Alexander Vadimovich Ivanov. “Surface modification of zirconia by Arsenazo III.” Mendeleev Communications, vol. 26, no. 3, Apr. 2016, pp. 259-260. https://mendcomm.colab.ws/publications/10.1016/j.mencom.2016.05.013.

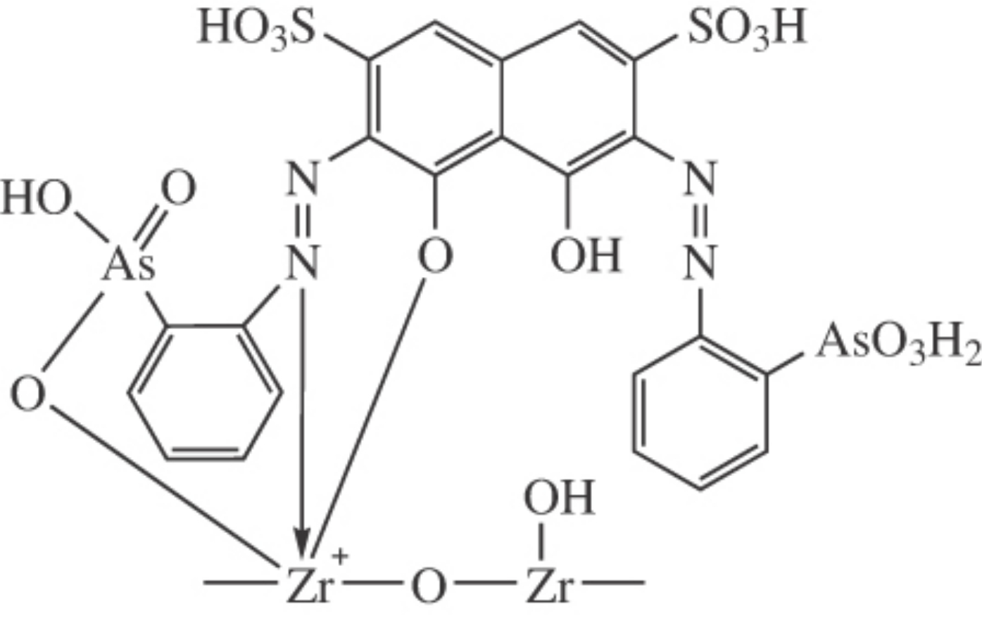
Abstract

A sorbent of zirconia with covalently immobilized Arsenazo III has been obtained by the sorption of the organic reagent from aqueous solutions, and its properties have been defined.

References

1.
10.1016/j.mencom.2016.05.013_bib0005
Khimiya privitykh poverkhnostnykh soedinenii (Chemistry of Grafted Surface Compounds), 2003
2.
10.1016/j.mencom.2016.05.013_bib0010
Jiang
2002
3.
Stability of alumina suspensions in the presence of Tiron
Gulicovski J.J., Čerović L.S., Milonjić S.K.
Ceramics International, 2008
5.
Catechol derivatives and anion adsorption onto alumina surfaces in aqueous media: influence on the electrokinetic properties
Laucournet R., Pagnoux C., Chartier T., Baumard J.F.
Journal of the European Ceramic Society, 2001
6.
Sorbent based on aluminum oxide modified with Tiron
Tikhomirova T.I., Kubyshev S.S., Ivanov A.V., Nesterenko P.N.
Russian Journal of Physical Chemistry A, 2009
7.
Preconcentration of metal ions on aluminum oxide modified with tiron
Tikhomirova T.I., Kubyshev S.S., Sorokina N.M., Goloviznin V.A.
Journal of Analytical Chemistry, 2011
8.
10.1016/j.mencom.2016.05.013_bib0040
Pagnoux
J. Ceram. Proc. Res., 2002
9.
Influence of the Dispersant Structure on Properties of Electrostatically Stabilized Aqueous Alumina
Hidber P.C., Graule T.J., Gauckler L.J.
Journal of the European Ceramic Society, 1997
10.
10.1016/j.mencom.2016.05.013_bib0050
Savvin
Arsenazo III, 1966