Home / Publications / Multivalent glycoconjugate as the vector of target delivery of bioactive compounds

Multivalent glycoconjugate as the vector of target delivery of bioactive compounds

Ul'yana Alexandrovna Budanova 1
Ul'yana Alexandrovna Budanova
Inga Sergeevna Shchelik 1
Inga Sergeevna Shchelik
Olesya Olegovna Koloskova 1
Olesya Olegovna Koloskova
Yurii Lvovich Sebyakin 1
Yurii Lvovich Sebyakin
Published 2016-04-28
CommunicationVolume 26, Issue 3, 205-206
8
Share
Cite this
GOST
 | 
Cite this
GOST Copy
Budanova U. A. et al. Multivalent glycoconjugate as the vector of target delivery of bioactive compounds // Mendeleev Communications. 2016. Vol. 26. No. 3. pp. 205-206.
GOST all authors (up to 50) Copy
Budanova U. A., Shchelik I. S., Koloskova O. O., Sebyakin Y. L. Multivalent glycoconjugate as the vector of target delivery of bioactive compounds // Mendeleev Communications. 2016. Vol. 26. No. 3. pp. 205-206.
RIS
 | 
Cite this
RIS Copy
TY - JOUR
DO - 10.1016/j.mencom.2016.04.008
UR - https://mendcomm.colab.ws/publications/10.1016/j.mencom.2016.04.008
TI - Multivalent glycoconjugate as the vector of target delivery of bioactive compounds
T2 - Mendeleev Communications
AU - Budanova, Ul'yana Alexandrovna
AU - Shchelik, Inga Sergeevna
AU - Koloskova, Olesya Olegovna
AU - Sebyakin, Yurii Lvovich
PY - 2016
DA - 2016/04/28
PB - Mendeleev Communications
SP - 205-206
IS - 3
VL - 26
ER -
BibTex
 | 
Cite this
BibTex (up to 50 authors) Copy
@article{2016_Budanova,
author = {Ul'yana Alexandrovna Budanova and Inga Sergeevna Shchelik and Olesya Olegovna Koloskova and Yurii Lvovich Sebyakin},
title = {Multivalent glycoconjugate as the vector of target delivery of bioactive compounds},
journal = {Mendeleev Communications},
year = {2016},
volume = {26},
publisher = {Mendeleev Communications},
month = {Apr},
url = {https://mendcomm.colab.ws/publications/10.1016/j.mencom.2016.04.008},
number = {3},
pages = {205--206},
doi = {10.1016/j.mencom.2016.04.008}
}
MLA
Cite this
MLA Copy
Budanova, Ul'yana Alexandrovna, et al. “Multivalent glycoconjugate as the vector of target delivery of bioactive compounds.” Mendeleev Communications, vol. 26, no. 3, Apr. 2016, pp. 205-206. https://mendcomm.colab.ws/publications/10.1016/j.mencom.2016.04.008.

Abstract

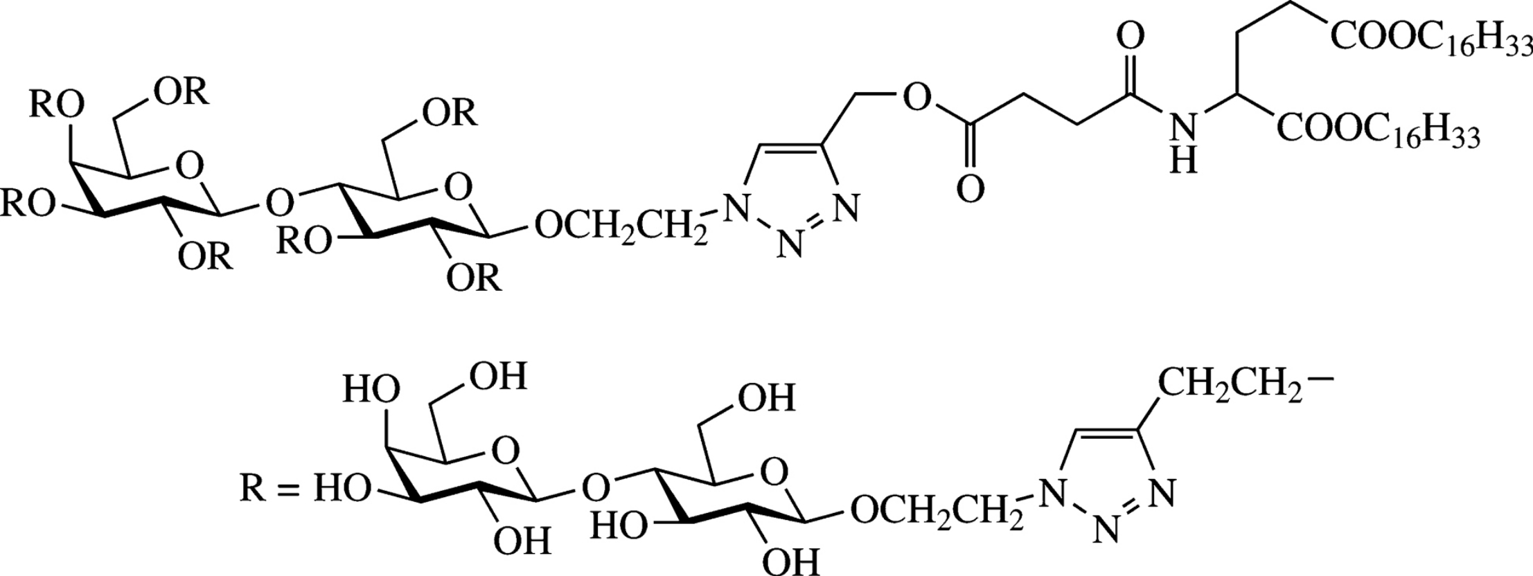
New amphiphilic glycoconjugate with seven terminal lactose residues was synthesized. The properties of delivery systems from bioactive substance containing this conjugate were investigated.

References

1.
Dzyurkevich M.S., Timofeeva K.N., Faizullin D.A., Zuev Y.F., Stoikov I.I., Plemenkov V.V.
Mendeleev Communications, 2014
3.
A review of glycosylated carriers for drug delivery.
Jain K., Kesharwani P., Gupta U., Jain N.K.
Biomaterials, 2012
4.
Glycan-based DC-SIGN targeting vaccines to enhance antigen cross-presentation
van Kooyk Y., Unger W.W., Fehres C.M., Kalay H., García-Vallejo J.J.
Molecular Immunology, 2013
5.
Stimuli sensitive amphiphilic dendrimers
R. Ramireddy R., Raghupathi K.R., Torres D.A., Thayumanavan S.
New Journal of Chemistry, 2012
7.
10.1016/j.mencom.2016.04.008_bib0035
Koloskova
Russ. J. Biopharm, 2011
8.
Design and synthesis of cluster neoglycoconjugates based on D-glucose
Kurochkina N.A., Budanova U.A., Sebyakin Y.L.
Russian Journal of Organic Chemistry, 2014
9.
Koloskova O.O., Budanova U.A., Sumina A.M., Sarychev G.A., Sebyakin Y.L.
Mendeleev Communications, 2014
12.
10.1016/j.mencom.2016.04.008_bib0060
Dulaney
Mol. Cell. Biochem, 1979