Home / Publications / Synthesis of 2-octyloxy-7H-benzo[e]perimidin-7-one and 3-substituted 3H-benzo[e]perimidine-2,7-diones

Synthesis of 2-octyloxy-7H-benzo[e]perimidin-7-one and 3-substituted 3H-benzo[e]perimidine-2,7-diones

6
Share
Cite this
GOST
 | 
Cite this
GOST Copy
Baranov D. S., Fadeev D. S. Synthesis of 2-octyloxy-7H-benzo[e]perimidin-7-one and 3-substituted 3H-benzo[e]perimidine-2,7-diones // Mendeleev Communications. 2016. Vol. 26. No. 2. pp. 174-176.
GOST all authors (up to 50) Copy
Baranov D. S., Fadeev D. S. Synthesis of 2-octyloxy-7H-benzo[e]perimidin-7-one and 3-substituted 3H-benzo[e]perimidine-2,7-diones // Mendeleev Communications. 2016. Vol. 26. No. 2. pp. 174-176.
RIS
 | 
Cite this
RIS Copy
TY - JOUR
DO - 10.1016/j.mencom.2016.03.032
UR - https://mendcomm.colab.ws/publications/10.1016/j.mencom.2016.03.032
TI - Synthesis of 2-octyloxy-7H-benzo[e]perimidin-7-one and 3-substituted 3H-benzo[e]perimidine-2,7-diones
T2 - Mendeleev Communications
AU - Baranov, Denis Sergeevich
AU - Fadeev, Dmitry Sergeevich
PY - 2016
DA - 2016/03/02
PB - Mendeleev Communications
SP - 174-176
IS - 2
VL - 26
ER -
BibTex
 | 
Cite this
BibTex (up to 50 authors) Copy
@article{2016_Baranov,
author = {Denis Sergeevich Baranov and Dmitry Sergeevich Fadeev},
title = {Synthesis of 2-octyloxy-7H-benzo[e]perimidin-7-one and 3-substituted 3H-benzo[e]perimidine-2,7-diones},
journal = {Mendeleev Communications},
year = {2016},
volume = {26},
publisher = {Mendeleev Communications},
month = {Mar},
url = {https://mendcomm.colab.ws/publications/10.1016/j.mencom.2016.03.032},
number = {2},
pages = {174--176},
doi = {10.1016/j.mencom.2016.03.032}
}
MLA
Cite this
MLA Copy
Baranov, Denis Sergeevich, and Dmitry Sergeevich Fadeev. “Synthesis of 2-octyloxy-7H-benzo[e]perimidin-7-one and 3-substituted 3H-benzo[e]perimidine-2,7-diones.” Mendeleev Communications, vol. 26, no. 2, Mar. 2016, pp. 174-176. https://mendcomm.colab.ws/publications/10.1016/j.mencom.2016.03.032.

Abstract

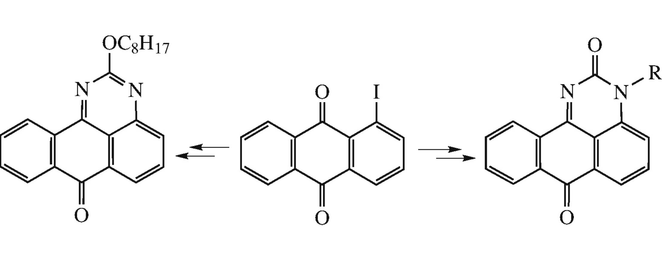
New 2-octyloxy-7H-benzo[e]perimidin-7-one and 3-benzylor 3-propargyl-3H-benzo[e]perimidine-2,7-diones were synthesized from 1-iodoanthraquinone. The propargyl derivative was subjected to Mannich and cycloaddition reactions.

References

1.
10.1016/j.mencom.2016.03.032_sbref0005a
Jones
Brit. J. Pharmacol., 1952
2.
6-[(Aminoalkyl)amino]-substituted 7H-benzo[e]perimidin-7-ones as novel antineoplastic agents. Synthesis and biological evaluation
Stefanska B., Dzieduszycka M., Martelli S., Tarasiuk J., Bontemps-Gracz M., Borowski E.
Journal of Medicinal Chemistry, 1993
3.
D. R. Bhumralkar, R.A. Bychowski, D.S. Dhanoa, D.R. Luthin and A. K. Rabinovich, US Patent WO 1998008821 A1, 1998
4.
8,11-Dihydroxy-6-[(aminoalkyl)amino]-7H-benzo[e]perimidin-7-ones with Activity in Multidrug-Resistant Cell Lines:  Synthesis and Antitumor Evaluation
Stefańska B., Dzieduszycka M., Bontemps-Gracz M.M., Borowski E., Martelli S., Supino R., Pratesi G., De Cesare M., Zunino F., Kuśnierczyk H., Radzikowski C.
Journal of Medicinal Chemistry, 1999
5.
Synthesis and Cytotoxic Activity of 7-Oxo-7H-dibenz[f,ij]isoquinoline and 7-Oxo-7H-benzo[e]perimidine Derivatives
Bu X., Deady L.W., Finlay G.J., Baguley B.C., Denny W.A.
Journal of Medicinal Chemistry, 2001
8.
Cytotoxic Oxoisoaporphine Alkaloids from Menispermum dauricum
Yu B., Meng L., Chen J., Zhou T., Cheng K., Ding J., Qin G.
Journal of Natural Products, 2001
10.
Derivatives of oxoisoaporphine alkaloids: A novel class of selective acetylcholinesterase inhibitors
Tang H., Ning F., Wei Y., Huang S., Huang Z., Chan A.S., Gu L.
Bioorganic and Medicinal Chemistry Letters, 2007
11.
Oxoisoaporphine alkaloid derivatives: Synthesis, DNA binding affinity and cytotoxicity
Tang H., Wang X., Wei Y., Huang S., Huang Z., Tan J., An L., Wu J., Sun-Chi Chan A., Gu L.
European Journal of Medicinal Chemistry, 2008
12.
Synthesis of Lakshminine and Antiproliferative Testing of Related Oxoisoaporphines
Castro-Castillo V., Rebolledo-Fuentes M., Theoduloz C., Cassels B.K.
Journal of Natural Products, 2010
13.
Syntheses and characterization of novel oxoisoaporphine derivatives as dual inhibitors for cholinesterases and amyloid beta aggregation
Li Y., Ning F., Yang M., Li Y., Nie M., Ou T., Tan J., Huang S., Li D., Gu L., Huang Z.
European Journal of Medicinal Chemistry, 2011
14.
Synthesis and antiplasmodial activity of some 1-azabenzanthrone derivatives
Castro-Castillo V., Suárez-Rozas C., Pabón A., Pérez E.G., Cassels B.K., Blair S.
Bioorganic and Medicinal Chemistry Letters, 2013
15.
M. Battegay, French Patent 736174, 1931.
16.
I. G. Farbenind, UK Patent 385295, 1931.
17.
10.1016/j.mencom.2016.03.032_sbref0015c
Battegay
Compt. Rend., 1932
18.
I. G. Farbenind, UK Patent 401731, 1933
19.
H. Weidinger, H. Eilingsfeld and G. Haese, German Patent 1159456, 1963
20.
W. Hohmann, German Patent 1232296, 1967
22.
Z. Golubski and R. Kowal, Polish Patent 192093, 2006
23.
Mechanistic Study of a Complementary Reaction System that Easily Affords Quinazoline and Perimidine Derivatives
Wang Z.D., Eilander J., Yoshida M., Wang T.
European Journal of Organic Chemistry, 2014
24.
J. F. Ryley and G. J. Stacey, UK Patent 876719, 1959.
25.
S. I. Popov, I.B. Krasnova and N. S. Dokunichin, SU Patent 388557, 1974.
26.
Synthesis of Anthrapyrimidine Derivatives
NISHIO K., KASAI T., TSURUOKA S.
The Journal of the Society of Chemical Industry Japan, 1968
27.
Simple pyrimidines. Part II. 1:2-Dihydro-1-methylpyrimidines and the configuration of the N-methyluracils
Brown D.J., Hoerger E., Mason S.F.
Journal of the Chemical Society (Resumed), 1955
28.
905. Pyrimidine reactions. Part XII. The thermal rearrangement of 2-alkoxypyrimidines
Brown D.J., Foster R.V.
Journal of the Chemical Society (Resumed), 1965
29.
Synthesis of Substituted N-Benzyl Pyridones via an O- to N-Alkyl Migration
Lanni E.L., Bosscher M.A., Ooms B.D., Shandro C.A., Ellsworth B.A., Anderson C.E.
Journal of Organic Chemistry, 2008
30.
10.1016/j.mencom.2016.03.032_sbref0045a
Acetylene Chemistry: Chemistry Biology and Material Science, 2005
31.
Chemicals from Alkynes with Palladium Catalysts
Chinchilla R., Nájera C.
Chemical Reviews, 2013
32.
Click chemistry reactions in medicinal chemistry: Applications of the 1,3‐dipolar cycloaddition between azides and alkynes
Tron G.C., Pirali T., Billington R.A., Canonico P.L., Sorba G., Genazzani A.A.
Medicinal Research Reviews, 2008
33.
Click Chemistry for Drug Development and Diverse Chemical–Biology Applications
Thirumurugan P., Matosiuk D., Jozwiak K.
Chemical Reviews, 2013
34.
gNMR 5.0 software, http://home.cc.umanitoba.ca/∼budzelaa/gNMR/gNMR.html.