Home / Publications / Properties and transfection activity of cationic dimeric amphiphiles based on amino acids

Properties and transfection activity of cationic dimeric amphiphiles based on amino acids

Ul'yana Alexandrovna Budanova 1
Ul'yana Alexandrovna Budanova
Varvara V Marusova 1
Varvara V Marusova
Yurii Lvovich Sebyakin 1
Yurii Lvovich Sebyakin
Published 2016-03-02
CommunicationVolume 26, Issue 2, 101-102
4
Share
Cite this
GOST
 | 
Cite this
GOST Copy
Budanova U. A., Marusova V. V., Sebyakin Y. L. Properties and transfection activity of cationic dimeric amphiphiles based on amino acids // Mendeleev Communications. 2016. Vol. 26. No. 2. pp. 101-102.
GOST all authors (up to 50) Copy
Budanova U. A., Marusova V. V., Sebyakin Y. L. Properties and transfection activity of cationic dimeric amphiphiles based on amino acids // Mendeleev Communications. 2016. Vol. 26. No. 2. pp. 101-102.
RIS
 | 
Cite this
RIS Copy
TY - JOUR
DO - 10.1016/j.mencom.2016.03.004
UR - https://mendcomm.colab.ws/publications/10.1016/j.mencom.2016.03.004
TI - Properties and transfection activity of cationic dimeric amphiphiles based on amino acids
T2 - Mendeleev Communications
AU - Budanova, Ul'yana Alexandrovna
AU - Marusova, Varvara V
AU - Sebyakin, Yurii Lvovich
PY - 2016
DA - 2016/03/02
PB - Mendeleev Communications
SP - 101-102
IS - 2
VL - 26
ER -
BibTex
 | 
Cite this
BibTex (up to 50 authors) Copy
@article{2016_Budanova,
author = {Ul'yana Alexandrovna Budanova and Varvara V Marusova and Yurii Lvovich Sebyakin},
title = {Properties and transfection activity of cationic dimeric amphiphiles based on amino acids},
journal = {Mendeleev Communications},
year = {2016},
volume = {26},
publisher = {Mendeleev Communications},
month = {Mar},
url = {https://mendcomm.colab.ws/publications/10.1016/j.mencom.2016.03.004},
number = {2},
pages = {101--102},
doi = {10.1016/j.mencom.2016.03.004}
}
MLA
Cite this
MLA Copy
Budanova, Ul'yana Alexandrovna, et al. “Properties and transfection activity of cationic dimeric amphiphiles based on amino acids.” Mendeleev Communications, vol. 26, no. 2, Mar. 2016, pp. 101-102. https://mendcomm.colab.ws/publications/10.1016/j.mencom.2016.03.004.

Abstract

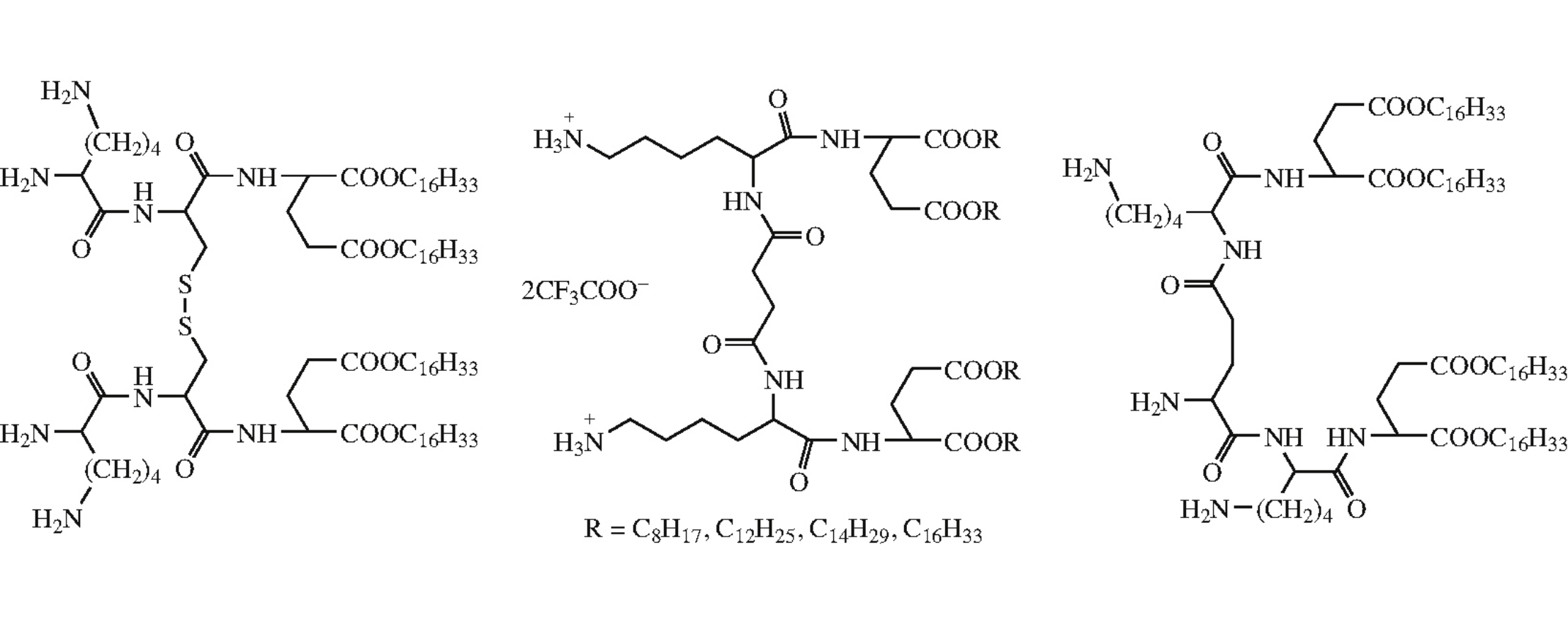
The physico-chemical and transfection properties of units self-formed by new cationic dimeric amphiphiles based on amino acids in water were characterized.

References

1.
Development of a protective dermal drug delivery system for therapeutic DNAzymes
Marquardt K., Eicher A., Dobler D., Mäder U., Schmidts T., Renz H., Runkel F.
International Journal of Pharmaceutics, 2015
2.
Extracellular vesicles as drug delivery systems: Lessons from the liposome field
van der Meel R., Fens M.H., Vader P., van Solinge W.W., Eniola-Adefeso O., Schiffelers R.M.
Journal of Controlled Release, 2014
3.
An overview of clinical and commercial impact of drug delivery systems
Anselmo A.C., Mitragotri S.
Journal of Controlled Release, 2014
4.
Veremeeva P.N., Grishina I.V., Lapteva V.L., Yaroslavov A.A., Sybachin A.V., Palyulin V.A., Zefirov N.S.
Mendeleev Communications, 2014
5.
Designer lipids for drug delivery: From heads to tails
Kohli A.G., Kierstead P.H., Venditto V.J., Walsh C.L., Szoka F.C.
Journal of Controlled Release, 2014
6.
Recent advances in delivery of drug–nucleic acid combinations for cancer treatment
7.
Koloskova O.O., Budanova U.A., Sumina A.M., Sarychev G.A., Sebyakin Y.L.
Mendeleev Communications, 2014
8.
Bis-quaternary gemini surfactants as components of nonviral gene delivery systems: A comprehensive study from physicochemical properties to membrane interactions
Cardoso A.M., Morais C.M., Silva S.G., Marques E.F., de Lima M.C., Jurado M.A.
International Journal of Pharmaceutics, 2014
9.
Fusion of gemini based cationic liposomes with cell membrane models: implications for their biological activity
Aleandri S., Bombelli C., Bonicelli M.G., Bordi F., Giansanti L., Mancini G., Ierino M., Sennato S.
Biochimica et Biophysica Acta - Biomembranes, 2013
10.
10.1016/j.mencom.2016.03.004_bib0050
Sumina
J. Biopharmaceuticals, 2013
11.
10.1016/j.mencom.2016.03.004_bib0055
Koloskova
J. Biopharmaceuticals, 2012
12.