Home / Publications / The next generation of positron emission tomography radiopharmaceuticals labeled with non-conventional radionuclides

The next generation of positron emission tomography radiopharmaceuticals labeled with non-conventional radionuclides

16
Share
Cite this
GOST
 | 
Cite this
GOST Copy
Krasikova R. N., Aliev R. A., Kalmykov S. N. The next generation of positron emission tomography radiopharmaceuticals labeled with non-conventional radionuclides // Mendeleev Communications. 2016. Vol. 26. No. 2. pp. 85-94.
GOST all authors (up to 50) Copy
Krasikova R. N., Aliev R. A., Kalmykov S. N. The next generation of positron emission tomography radiopharmaceuticals labeled with non-conventional radionuclides // Mendeleev Communications. 2016. Vol. 26. No. 2. pp. 85-94.
RIS
 | 
Cite this
RIS Copy
TY - JOUR
DO - 10.1016/j.mencom.2016.03.001
UR - https://mendcomm.colab.ws/publications/10.1016/j.mencom.2016.03.001
TI - The next generation of positron emission tomography radiopharmaceuticals labeled with non-conventional radionuclides
T2 - Mendeleev Communications
AU - Krasikova, Raisa Nikolaevna
AU - Aliev, Ramiz Avtandilovich
AU - Kalmykov, Stepan Nikolaevich
PY - 2016
DA - 2016/03/02
PB - Mendeleev Communications
SP - 85-94
IS - 2
VL - 26
ER -
BibTex
 | 
Cite this
BibTex (up to 50 authors) Copy
@article{2016_Krasikova,
author = {Raisa Nikolaevna Krasikova and Ramiz Avtandilovich Aliev and Stepan Nikolaevich Kalmykov},
title = {The next generation of positron emission tomography radiopharmaceuticals labeled with non-conventional radionuclides},
journal = {Mendeleev Communications},
year = {2016},
volume = {26},
publisher = {Mendeleev Communications},
month = {Mar},
url = {https://mendcomm.colab.ws/publications/10.1016/j.mencom.2016.03.001},
number = {2},
pages = {85--94},
doi = {10.1016/j.mencom.2016.03.001}
}
MLA
Cite this
MLA Copy
Krasikova, Raisa Nikolaevna, et al. “The next generation of positron emission tomography radiopharmaceuticals labeled with non-conventional radionuclides.” Mendeleev Communications, vol. 26, no. 2, Mar. 2016, pp. 85-94. https://mendcomm.colab.ws/publications/10.1016/j.mencom.2016.03.001.
Views / Downloads
1 / 2

Abstract

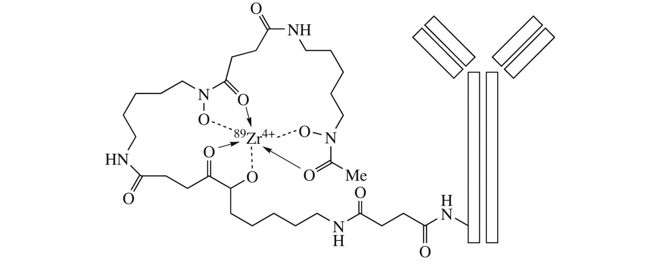
The nuclear and chemical properties of ‘non-traditional’ positron emission tomography (PET) radionuclides, i.e. 44Sc, 61,64Cu, 68Ga, 86Y, 89Zr, as well as their production routes are discussed. The bio-conjugation of these radionuclides with various vectors for target delivery to tumor cells using bifunctional chelating agents is reviewed. The applications of various radiopharmaceuticals with ‘non-traditional’ PET radionuclides for molecular visualization of various tumors are summarized.

References

1.
10.1016/j.mencom.2016.03.001_bib0005
Laforest
Q.J. Nucl. Med. Mol. Imaging, 2008
2.
10.1016/j.mencom.2016.03.001_bib0010
Gallagher
J. Nucl. Med., 1997
3.
Fluorine-18 labeling of three novel d-peptides by conjugation with N-succinimidyl-4-[18F]fluorobenzoate and preliminary examination by postmortem whole-hemisphere human brain autoradiography
Jahan M., Nag S., Krasikova R., Weber U., Muhs A., Pfeifer A., Spenger C., Willbold D., Gulyás B., Halldin C.
Nuclear Medicine and Biology, 2012
4.
Radiopeptide Imaging and Therapy in Europe
Ambrosini V., Fani M., Fanti S., Forrer F., Maecke H.R.
Journal of Nuclear Medicine, 2011
5.
177Lu-DOTATATE Molecular Radiotherapy for Childhood Neuroblastoma
Gains J.E., Bomanji J.B., Fersht N.L., Sullivan T., D'Souza D., Sullivan K.P., Aldridge M., Waddington W., Gaze M.N.
Journal of Nuclear Medicine, 2011
7.
Mapping biological behaviors by application of longer-lived positron emitting radionuclides
8.
Study of the excitation functions for 43K, 43,44,44mSc and 44Ti by proton irradiation on 45Sc up to 37MeV
Daraban L., Adam Rebeles R., Hermanne A., Tarkanyi F., Takacs S.
Nuclear Instruments and Methods in Physics Research, Section B: Beam Interactions with Materials and Atoms, 2009
9.
Cyclotron production of high purity 44m,44 Sc with deuterons from 44 CaCO 3 targets
Alliot C., Kerdjoudj R., Michel N., Haddad F., Huclier-Markai S.
Nuclear Medicine and Biology, 2015
11.
Production possibility of radioisotopes by alpha induced reactions on cobalt for PET studies
Szelecsényi F., Suzuki K., Kovács Z., Takei M., Okada K.
Nuclear Instruments and Methods in Physics Research, Section B: Beam Interactions with Materials and Atoms, 2002
12.
Production possibility of 61Cu using proton induced nuclear reactions on zinc for PET studies
Szelecs'nyi F., Kovécs Z., Suzuki K., Okada K., van der Walt T.N., Steyn G.F., Mukherjee S.
Journal of Radioanalytical and Nuclear Chemistry, 2005
13.
Cyclotron production of 64Cu by deuteron irradiation of 64Zn
Abbas K., Kozempel J., Bonardi M., Groppi F., Alfarano A., Holzwarth U., Simonelli F., Hofman H., Horstmann W., Menapace E., Lešetický L., Gibson N.
Applied Radiation and Isotopes, 2006
15.
[55Co]- and [64Cu]DTPA: New radiopharmaceuticals for quantitative tomocisternography
Mazière B., Stulzaft O., Verret J.M., Comar D., Syrota A.
The International Journal of Applied Radiation and Isotopes, 1983
16.
Excitation functions for deuteron induced reactions in natural nickel: Production of no-carrier-added 64Cu from enriched 64Ni targets for positron emission tomography
Zweit J., Smith A.M., Downey S., Sharma H.L.
International Journal of Radiation Applications and Instrumentation Part A Applied Radiation and Isotopes, 1991
17.
Investigation of the 66Zn(p,2pn)64Cu and 68Zn(p,x)64Cu nuclear processes up to 100 MeV: Production of 64Cu
Szelecsényi F., Steyn G.F., Kovács Z., Vermeulen C., van der Meulen N.P., Dolley S.G., van der Walt T.N., Suzuki K., Mukai K.
Nuclear Instruments and Methods in Physics Research, Section B: Beam Interactions with Materials and Atoms, 2005
19.
Activation cross-sections of long-lived products of proton-induced nuclear reactions on zinc
Tárkányi F., Ditrói F., Csikai J., Takács S., Uddin M.S., Hagiwara M., Baba M., Shubin Y.N., Dityuk A.I.
Applied Radiation and Isotopes, 2005
21.
A novel method for n.c.a.64Cu production by the64Zn(d, 2p)64Cu reaction and dual ion-exchange column chromatography
Kozempel J., Abbas K., Simonelli F., Zampese M., Holzwarth U., Gibson N., Lešetický L.
Radiochimica Acta, 2007
23.
Nuclear reactions of Ga69 and Ga71 with 13–56 MeV protons
Porile N.T., Tanaka S., Amano H., Furukawa M., Iwata S., Yagi M.
Nuclear Physics A, 1963
24.
P.P. Dmitriev, Radionuclide Yield in Reactions with Protons, Deuterons, Alpha Particles and Helium-3. INDC(CCP)-263/G + CN + SZ, IAEA. Vienna 1986.
29.
Cyclotron production of 44Sc: From bench to bedside
van der Meulen N.P., Bunka M., Domnanich K.A., Müller C., Haller S., Vermeulen C., Türler A., Schibli R.
Nuclear Medicine and Biology, 2015
30.
44gSc production using a water target on a 13MeV cyclotron
Hoehr C., Oehlke E., Benard F., Lee C.J., Hou X., Badesso B., Ferguson S., Miao Q., Yang H., Buckley K., Hanemaayer V., Zeisler S., Ruth T., Celler A., Schaffer P., et. al.
Nuclear Medicine and Biology, 2014
33.
Development of cost effective method for production of 64Cu from natNi
Szűcs Z., Takács S., Alirezapour B.
Journal of Radioanalytical and Nuclear Chemistry, 2014
34.
Cross section studies on 64Cu with zinc target in the proton energy range from 141 down to 31 MeV
Bonardi M.L., Groppi F., Mainardi H.S., Kokhanyuk V.M., Lapshina E.V., Mebel M.V., Zhuikov B.L.
Journal of Radioanalytical and Nuclear Chemistry, 2005
37.
V.N. Levkovskij, Secheniya aktivatsii nuklidov srednei massy (A = 40-100) protonami i alfa-chastitsami srednikh energii (E = 10-50 MeV) [Activation Cross-Sections of Nuclides of Average Masses (A = 40-100) by Protons and Alpha-particles with Average Energies (E = 10-50 MeV)], Inter-Vesy, Moscow, 1991 (in Russian).
38.
Investigations of 89Y(p,x)86,88,89gZr, 86m+g,87g,87m,88gY, 85gSr, and 84gRb nuclear processes up to 42MeV
Khandaker M.U., Kim K., Lee M., Kim K., Kim G., Otuka N.
Nuclear Instruments and Methods in Physics Research, Section B: Beam Interactions with Materials and Atoms, 2012
39.
Excitation functions of (α,xn) reactions on natRb and natSr from threshold up to 26MeV: Possibility of production of 87Y, 88Y and 89Zr
Kandil S.A., Spahn I., Scholten B., Saleh Z.A., Saad S.M., Coenen H.H., Qaim S.M.
Applied Radiation and Isotopes, 2007
41.
Matching chelators to radiometals for radiopharmaceuticals
Price E.W., Orvig C.
Chemical Society Reviews, 2014
42.
H2azapa: a Versatile Acyclic Multifunctional Chelator for 67Ga, 64Cu, 111In, and 177Lu
Bailey G.A., Price E.W., Zeglis B.M., Ferreira C.L., Boros E., Lacasse M.J., Patrick B.O., Lewis J.S., Adam M.J., Orvig C.
Inorganic Chemistry, 2012
43.
Evaluation of novel bifunctional chelates for the development of Cu-64-based radiopharmaceuticals
Ferreira C.L., Yapp D.T., Lamsa E., Gleave M., Bensimon C., Jurek P., Kiefer G.E.
Nuclear Medicine and Biology, 2008
44.
Comparison of 64Cu-Complexing Bifunctional Chelators for Radioimmunoconjugation: Labeling Efficiency, Specific Activity, and in Vitro/in Vivo Stability
Cooper M.S., Ma M.T., Sunassee K., Shaw K.P., Williams J.D., Paul R.L., Donnelly P.S., Blower P.J.
Bioconjugate Chemistry, 2012
45.
Stability constants of metal complexes of macrocyclic ligands with pendant donor groups
Martell A.E., Motekaitis R.J., Clarke E.T., Delgado R., Sun Y., Ma R.
Supramolecular Chemistry, 1996
46.
10.1016/j.mencom.2016.03.001_bib0230
Velikyan
J. Nucl. Med., 2005
47.
68Ga-Labeled Bombesin Studies in Patients with Gastrointestinal Stromal Tumors: Comparison with 18F-FDG
Dimitrakopoulou-Strauss A., Hohenberger P., Haberkorn U., Macke H.R., Eisenhut M., Strauss L.G.
Journal of Nuclear Medicine, 2007
48.
68Ga-DOTA-Affibody molecule for in vivo assessment of HER2/neu expression with PET
Kramer-Marek G., Shenoy N., Seidel J., Griffiths G.L., Choyke P., Capala J.
European Journal of Nuclear Medicine and Molecular Imaging, 2011
49.
68Ga- and 111In-labelled DOTA-RGD peptides for imaging of αvβ3 integrin expression
Decristoforo C., Hernandez Gonzalez I., Carlsen J., Rupprich M., Huisman M., Virgolini I., Wester H., Haubner R.
European Journal of Nuclear Medicine and Molecular Imaging, 2008
50.
68Ga-DOTA-Tyr3-Octreotide PET in Neuroendocrine Tumors: Comparison with Somatostatin Receptor Scintigraphy and CT
Gabriel M., Decristoforo C., Kendler D., Dobrozemsky G., Heute D., Uprimny C., Kovacs P., Von Guggenberg E., Bale R., Virgolini I.J.
Journal of Nuclear Medicine, 2007
51.
Gallium-68-labeled DOTA-rhenium-cyclized α-melanocyte-stimulating hormone analog for imaging of malignant melanoma
Wei L., Miao Y., Gallazzi F., Quinn T.P., Welch M.J., Vāvere A.L., Lewis J.S.
Nuclear Medicine and Biology, 2007
52.
Acyclic Chelate with Ideal Properties for 68Ga PET Imaging Agent Elaboration
Boros E., Ferreira C.L., Cawthray J.F., Price E.W., Patrick B.O., Wester D.W., Adam M.J., Orvig C.
Journal of the American Chemical Society, 2010
54.
Imaging of Protein Synthesis: In Vitro and In Vivo Evaluation of 44Sc-DOTA-Puromycin
Eigner S., Vera D.R., Fellner M., Loktionova N.S., Piel M., Lebeda O., Rösch F., Roß T.L., Henke K.E.
Molecular Imaging and Biology, 2012
56.
Optimising conditions for radiolabelling of DOTA-peptides with 90Y, 111In and 177Lu at high specific activities
Breeman W.A., Jong M., Visser T.J., Erion J.L., Krenning E.P.
European Journal of Nuclear Medicine and Molecular Imaging, 2003
58.
10.1016/j.mencom.2016.03.001_bib0290
Perk
J. Nucl. Med., 2005
60.
10.1016/j.mencom.2016.03.001_bib0300
Anderson
J. Nucl. Med., 2001
64.
Positron Emission Tomography Imaging of CD105 Expression with a 64Cu-Labeled Monoclonal Antibody: NOTA Is Superior to DOTA
Zhang Y., Hong H., Engle J.W., Bean J., Yang Y., Leigh B.R., Barnhart T.E., Cai W.
PLoS ONE, 2011
65.
Convenient Preparation of 68Ga-Based PET-Radiopharmaceuticals at Room Temperature
Velikyan I., Maecke H., Langstrom B.
Bioconjugate Chemistry, 2008
68.
10.1016/j.mencom.2016.03.001_bib0340
Martell
Critical Stability Constants, 1974
69.
In vivo detection of Staphylococcus aureus endocarditis by targeting pathogen-specific prothrombin activation
Panizzi P., Nahrendorf M., Figueiredo J., Panizzi J., Marinelli B., Iwamoto Y., Keliher E., Maddur A.A., Waterman P., Kroh H.K., Leuschner F., Aikawa E., Swirski F.K., Pittet M.J., Hackeng T.M., et. al.
Nature Medicine, 2011
70.
10.1016/j.mencom.2016.03.001_bib0350
Kojima
Eur. J. Nucl. Med., 1987
71.
10.1016/j.mencom.2016.03.001_bib0355
Koppe
J. Nucl. Med., 2004
72.
Preparation and evaluation of 89Zr-Zevalin for monitoring of 90Y-Zevalin biodistribution with positron emission tomography
Perk L.R., Visser O.J., Stigter-van Walsum M., Vosjan M.J., Visser G.W., Zijlstra J.M., Huijgens P.C., van Dongen G.A.
European Journal of Nuclear Medicine and Molecular Imaging, 2006
73.
Evaluation of the H2dedpa Scaffold and its cRGDyK Conjugates for Labeling with 64Cu
Boros E., Cawthray J.F., Ferreira C.L., Patrick B.O., Adam M.J., Orvig C.
Inorganic Chemistry, 2012
74.
RGD conjugates of the H2dedpa scaffold: synthesis, labeling and imaging with 68Ga
Boros E., Ferreira C.L., Yapp D.T., Gill R.K., Price E.W., Adam M.J., Orvig C.
Nuclear Medicine and Biology, 2012
75.
New Ga derivatives of the H2dedpa scaffold with improved clearance and persistent heart uptake
Boros E., Ferreira C.L., Patrick B.O., Adam M.J., Orvig C.
Nuclear Medicine and Biology, 2011
76.
Preclinical characterisation of 111 In-DTPA-trastuzumab
Lub-de Hooge M.N., Kosterink J.G., Perik P.J., Nijnuis H., Tran L., Bart J., Suurmeijer A.J., de Jong S., Jager P.L., de Vries E.G.
British Journal of Pharmacology, 2004
77.
Theranostics, Gallium-68, and Other Radionuclides, eds. R. P. Baum and F. Rösch, Springer, 2012, pp. 3-16.
79.
Automation synthesis modules review
Boschi S., Lodi F., Malizia C., Cicoria G., Marengo M.
Applied Radiation and Isotopes, 2013
81.
G. E. Kodina and R. N. Krasikova, Metody polucheniya radiofarmatsevticheskikh preparatov i radionuklidnykh generatorov dlya yadernoi meditsiny (Methods for the Preparation of Radiopharmaceutic Agents and Radionuclide Generators for Nuclear Medicine), Izd. MEI, Moscow, 2014 (in Russian).
83.
Development of Single Vial Kits for Preparation of 68Ga-Labelled Peptides for PET Imaging of Neuroendocrine Tumours
Mukherjee A., Pandey U., Chakravarty R., Sarma H.D., Dash A.
Molecular Imaging and Biology, 2014
84.
10.1016/j.mencom.2016.03.001_bib0420
Maecke
2007
86.
Clinical applications of Gallium-68
Banerjee S.R., Pomper M.G.
Applied Radiation and Isotopes, 2013
88.
10.1016/j.mencom.2016.03.001_bib0440
Larenkov
Meditsinskaya radiologiya i radiatsionnaya bezopasnost (Medical Radiology and Radiation Safety), 2011
89.
10.1016/j.mencom.2016.03.001_bib0445
Ryzhkova
Sibirskii Onkologicheskii Zh., 2013
90.
10.1016/j.mencom.2016.03.001_bib0450
Liu
Adv. Drug Deliv. Rev., 2008
91.
18F-FDOPA: A Multiple-Target Molecule
Minn H., Kauhanen S., Seppänen M., Nuutila P.
Journal of Nuclear Medicine, 2009
92.
68Ga-DOTA and analogs: Current status and future perspectives
Kilian K.
Reports of Practical Oncology and Radiotherapy, 2014
93.
Radiopeptides for Imaging and Therapy: A Radiant Future
Chatalic K.L., Kwekkeboom D.J., de Jong M.
Journal of Nuclear Medicine, 2015
94.
213Bi-DOTATOC receptor-targeted alpha-radionuclide therapy induces remission in neuroendocrine tumours refractory to beta radiation: a first-in-human experience
Kratochwil C., Giesel F.L., Bruchertseifer F., Mier W., Apostolidis C., Boll R., Murphy K., Haberkorn U., Morgenstern A.
European Journal of Nuclear Medicine and Molecular Imaging, 2014
95.
Procedure guidelines for PET/CT tumour imaging with 68Ga-DOTA-conjugated peptides: 68Ga-DOTA-TOC, 68Ga-DOTA-NOC, 68Ga-DOTA-TATE
Virgolini I., Ambrosini V., Bomanji J.B., Baum R.P., Fanti S., Gabriel M., Papathanasiou N.D., Pepe G., Oyen W., De Cristoforo C., Chiti A.
European Journal of Nuclear Medicine and Molecular Imaging, 2010
96.
G. E. Kodina, M.D. Kozlova and A. B. Malinin, RF Patent 2126271, 1999.
98.
Angiogenesis in cancer and other diseases
Carmeliet P., Jain R.K.
Nature, 2000
99.
[18F]Galacto-RGD:  Synthesis, Radiolabeling, Metabolic Stability, and Radiation Dose Estimates
Haubner R., Kuhnast B., Mang C., Weber W.A., Kessler H., Wester H., Schwaiger M.
Bioconjugate Chemistry, 2003
100.
Whole-Body Distribution and Radiation Dosimetry of68Ga-NOTA-RGD, a Positron Emission Tomography Agent for Angiogenesis Imaging
Kim J.H., Lee J.S., Kang K.W., Lee H., Han S., Kim T., Lee Y., Jeong J.M., Lee D.S.
Cancer Biotherapy and Radiopharmaceuticals, 2011
103.
68Ga-NODAGA-VEGF121 for in vivo imaging of VEGF receptor expression
Kang C.M., Koo H., Choe Y.S., Choi J.Y., Lee K., Kim B.
Nuclear Medicine and Biology, 2014
104.
10.1016/j.mencom.2016.03.001_bib0525
Haubner
BioMed. Res. Int., 2014
105.
10.1016/j.mencom.2016.03.001_bib0530
Kwee
J. Nucl. Med., 2006
106.
PET Imaging in Prostate Cancer: Focus on Prostate-Specific Membrane Antigen
Mease R.C., Foss C.A., Pomper M.G.
Current Topics in Medicinal Chemistry, 2013
107.
Prostate-specific membrane antigen-based imaging in prostate cancer: Impact on clinical decision making process
Demirkol M.O., Acar Ö., Uçar B., Ramazanoğlu S.R., Sağlıcan Y., Esen T.
Prostate, 2015
108.
Capromab Pendetide Imaging of Prostate Cancer
Haseman M.K., Rosenthal S.A., Polascik T.J.
Cancer Biotherapy and Radiopharmaceuticals, 2009
109.
68Ga-Complex Lipophilicity and the Targeting Property of a Urea-Based PSMA Inhibitor for PET Imaging
Eder M., Schäfer M., Bauder-Wüst U., Hull W., Wängler C., Mier W., Haberkorn U., Eisenhut M.
Bioconjugate Chemistry, 2012
110.
Novel Preclinical and Radiopharmaceutical Aspects of [68Ga]Ga-PSMA-HBED-CC: A New PET Tracer for Imaging of Prostate Cancer
Eder M., Neels O., Müller M., Bauder-Wüst U., Remde Y., Schäfer M., Hennrich U., Eisenhut M., Afshar-Oromieh A., Haberkorn U., Kopka K.
Pharmaceuticals, 2014
111.
PET imaging with a [68Ga]gallium-labelled PSMA ligand for the diagnosis of prostate cancer: biodistribution in humans and first evaluation of tumour lesions
Afshar-Oromieh A., Malcher A., Eder M., Eisenhut M., Linhart H.G., Hadaschik B.A., Holland-Letz T., Giesel F.L., Kratochwil C., Haufe S., Haberkorn U., Zechmann C.M.
European Journal of Nuclear Medicine and Molecular Imaging, 2012
112.
[177Lu]Lutetium-labelled PSMA ligand-induced remission in a patient with metastatic prostate cancer
Kratochwil C., Giesel F.L., Eder M., Afshar-Oromieh A., Benešová M., Mier W., Kopka K., Haberkorn U.
European Journal of Nuclear Medicine and Molecular Imaging, 2015
114.
In Vivo Imaging of Prostate Cancer Using [68Ga]-Labeled Bombesin Analog BAY86-7548
Kähkönen E., Jambor I., Kemppainen J., Lehtiö K., Grönroos T.J., Kuisma A., Luoto P., Sipilä H.J., Tolvanen T., Alanen K., Silén J., Kallajoki M., Roivainen A., Schäfer N., Schibli R., et. al.
Clinical Cancer Research, 2013
117.
The untapped potential of Gallium 68-PET: The next wave of 68Ga-agents
Smith D.L., Breeman W.A., Sims-Mourtada J.
Applied Radiation and Isotopes, 2013
118.
Comparative studies of Cu-64-ATSM and C-11-Acetate in an acute myocardial infarction model: ex vivo imaging of hypoxia in rats
Fujibayashi Y., Cutler C., Anderson C., McCarthy D., Jones L., Sharp T., Yonekura Y., Welch M.
Nuclear Medicine and Biology, 1999
119.
Evaluation of Hypoxia With Copper-Labeled Diacetyl-bis(N-Methylthiosemicarbazone)
120.
Copper bis(thiosemicarbazone) complexes as hypoxia imaging agents: structure-activity relationships
Dearling J.L., Lewis J.S., Mullen G.E., Welch M.J., Blower P.J.
Journal of Biological Inorganic Chemistry, 2002
121.
10.1016/j.mencom.2016.03.001_bib0610
Lewis
J. Nucl. Med., 1999
122.
10.1016/j.mencom.2016.03.001_bib0615
Yuan
J. Nucl. Med., 2006
123.
64Cu-ATSM and 18FDG PET uptake and 64Cu-ATSM autoradiography in spontaneous canine tumors: comparison with pimonidazole hypoxia immunohistochemistry
Hansen A.E., Kristensen A.T., Jørgensen J.T., McEvoy F.J., Busk M., van der Kogel A.J., Bussink J., Engelholm S.A., Kjær A.
Radiation Oncology, 2012
124.
Copper-62 ATSM as a hypoxic tissue tracer in myocardial ischemia
Takahashi N., Fujibayashi Y., Yonekura Y., Welch M.J., Waki A., Tsuchida T., Sadato N., Sugimoto K., Nakano A., Lee J., Itoh H.
Annals of Nuclear Medicine, 2001
125.
Assessing Tumor Hypoxia in Cervical Cancer by PET with 60Cu-Labeled Diacetyl-Bis(N4-Methylthiosemicarbazone)
Dehdashti F., Grigsby P.W., Lewis J.S., Laforest R., Siegel B.A., Welch M.J.
Journal of Nuclear Medicine, 2008
126.
Tumor Hypoxia Detected by Positron Emission Tomography with 60Cu-ATSM as a Predictor of Response and Survival in Patients Undergoing Neoadjuvant Chemoradiotherapy for Rectal Carcinoma: A Pilot Study
Dietz D.W., Dehdashti F., Grigsby P.W., Malyapa R.S., Myerson R.J., Picus J., Ritter J., Lewis J.S., Welch M.J., Siegel B.A.
Diseases of the Colon and Rectum, 2008
127.
10.1016/j.mencom.2016.03.001_bib0640
Anderson
Q.J. Nucl. Med. Mol. Imaging, 2008
128.
Clinical PET of Neuroendocrine Tumors Using 64Cu-DOTATATE: First-in-Humans Study
Pfeifer A., Knigge U., Mortensen J., Oturai P., Berthelsen A.K., Loft A., Binderup T., Rasmussen P., Elema D., Klausen T.L., Holm S., von Benzon E., Højgaard L., Kjaer A.
Journal of Nuclear Medicine, 2012
129.
10.1016/j.mencom.2016.03.001_bib0650
Anderson
J. Nucl. Med., 2001
130.
RGD-based PET tracers for imaging receptor integrin αvβ3expression
Cai H., Conti P.S.
Journal of Labelled Compounds and Radiopharmaceuticals, 2013
131.
Mixed valence copper(I,II) binuclear complexes with unexpected structure: Synthesis, biological properties and anticancer activity
Majouga A.G., Zvereva M.I., Rubtsova M.P., Skvortsov D.A., Mironov A.V., Azhibek D.M., Krasnovskaya O.O., Gerasimov V.M., Udina A.V., Vorozhtsov N.I., Beloglazkina E.K., Agron L., Mikhina L.V., Tretyakova A.V., Zyk N.V., et. al.
Journal of Medicinal Chemistry, 2014
132.
Monoclonal antibodies for copper-64 PET dosimetry and radioimmunotherapy
Bryan J.N., Jia F., Mohsin H., Sivaguru G., Anderson C.J., Miller W.H., Henry C.J., Lewis M.R.
Cancer Biology and Therapy, 2011
133.
Radiolabelled proteins for positron emission tomography: Pros and cons of labelling methods
Tolmachev V., Stone-Elander S.
Biochimica et Biophysica Acta - General Subjects, 2010
134.
89Zr-DFO-J591 for ImmunoPET of Prostate-Specific Membrane Antigen Expression In Vivo
Holland J.P., Divilov V., Bander N.H., Smith-Jones P.M., Larson S.M., Lewis J.S.
Journal of Nuclear Medicine, 2010
135.
10.1016/j.mencom.2016.03.001_bib0680
van de Watering
BioMed. Res. Int., 2014
136.
PET imaging with 89Zr: From radiochemistry to the clinic
Deri M.A., Zeglis B.M., Francesconi L.C., Lewis J.S.
Nuclear Medicine and Biology, 2013