Home / Publications / Insertion of 1,3-diphenylprop-2-yn-1-one into imidazo[4,5-b]pyridines in the presence of water: one-pot synthesis of pyrido[2,3-b][1,4]diazocin-9-ones

Insertion of 1,3-diphenylprop-2-yn-1-one into imidazo[4,5-b]pyridines in the presence of water: one-pot synthesis of pyrido[2,3-b][1,4]diazocin-9-ones

Boris Aleksandrovich Trofimov 1
Boris Aleksandrovich Trofimov
Lina Pavlovna Nikitina 1
Lina Pavlovna Nikitina
Ludmila Viktorovna Andriyankova 1
Ludmila Viktorovna Andriyankova
Anastasiya Grigor'evna Mal'kina 1
Anastasiya Grigor'evna Mal'kina
Irina Yur'evna Bagryanskaya 2, 3
Irina Yur'evna Bagryanskaya
Andrei Valer'evich Afonin 1
Andrei Valer'evich Afonin
Igor Alekseevich Ushakov 1
Igor Alekseevich Ushakov
Published 2015-12-30
CommunicationVolume 26, Issue 1, 16-18
9
Share
Cite this
GOST
 | 
Cite this
GOST Copy
Trofimov B. A. et al. Insertion of 1,3-diphenylprop-2-yn-1-one into imidazo[4,5-b]pyridines in the presence of water: one-pot synthesis of pyrido[2,3-b][1,4]diazocin-9-ones // Mendeleev Communications. 2015. Vol. 26. No. 1. pp. 16-18.
GOST all authors (up to 50) Copy
Trofimov B. A., Nikitina L. P., Belyaeva K. V., Andriyankova L. V., Mal'kina A. G., Bagryanskaya I. Y., Afonin A. V., Ushakov I. A. Insertion of 1,3-diphenylprop-2-yn-1-one into imidazo[4,5-b]pyridines in the presence of water: one-pot synthesis of pyrido[2,3-b][1,4]diazocin-9-ones // Mendeleev Communications. 2015. Vol. 26. No. 1. pp. 16-18.
RIS
 | 
Cite this
RIS Copy
TY - JOUR
DO - 10.1016/j.mencom.2016.01.007
UR - https://mendcomm.colab.ws/publications/10.1016/j.mencom.2016.01.007
TI - Insertion of 1,3-diphenylprop-2-yn-1-one into imidazo[4,5-b]pyridines in the presence of water: one-pot synthesis of pyrido[2,3-b][1,4]diazocin-9-ones
T2 - Mendeleev Communications
AU - Trofimov, Boris Aleksandrovich
AU - Nikitina, Lina Pavlovna
AU - Belyaeva, Kseniya Vasil'evna
AU - Andriyankova, Ludmila Viktorovna
AU - Mal'kina, Anastasiya Grigor'evna
AU - Bagryanskaya, Irina Yur'evna
AU - Afonin, Andrei Valer'evich
AU - Ushakov, Igor Alekseevich
PY - 2015
DA - 2015/12/30
PB - Mendeleev Communications
SP - 16-18
IS - 1
VL - 26
ER -
BibTex
 | 
Cite this
BibTex (up to 50 authors) Copy
@article{2015_Trofimov,
author = {Boris Aleksandrovich Trofimov and Lina Pavlovna Nikitina and Kseniya Vasil'evna Belyaeva and Ludmila Viktorovna Andriyankova and Anastasiya Grigor'evna Mal'kina and Irina Yur'evna Bagryanskaya and Andrei Valer'evich Afonin and Igor Alekseevich Ushakov},
title = {Insertion of 1,3-diphenylprop-2-yn-1-one into imidazo[4,5-b]pyridines in the presence of water: one-pot synthesis of pyrido[2,3-b][1,4]diazocin-9-ones},
journal = {Mendeleev Communications},
year = {2015},
volume = {26},
publisher = {Mendeleev Communications},
month = {Dec},
url = {https://mendcomm.colab.ws/publications/10.1016/j.mencom.2016.01.007},
number = {1},
pages = {16--18},
doi = {10.1016/j.mencom.2016.01.007}
}
MLA
Cite this
MLA Copy
Trofimov, Boris Aleksandrovich, et al. “Insertion of 1,3-diphenylprop-2-yn-1-one into imidazo[4,5-b]pyridines in the presence of water: one-pot synthesis of pyrido[2,3-b][1,4]diazocin-9-ones.” Mendeleev Communications, vol. 26, no. 1, Dec. 2015, pp. 16-18. https://mendcomm.colab.ws/publications/10.1016/j.mencom.2016.01.007.

Abstract

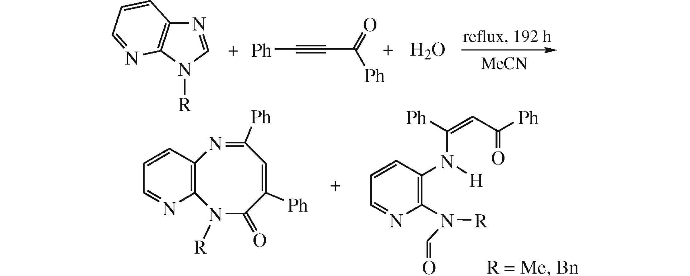
1,3-Diphenylprop-2-yn-1-one is inserted into 3-substituted imidazo[4,5-b]pyridines upon refluxing in MeCN in the presence of equimolar amount of water to afford pyrido[2,3-b][1,4]diazocin-9-ones in up to 61% yield.

References

1.
10.1016/j.mencom.2016.01.007_bib0005
Shcherbakova
2008
2.
10.1016/j.mencom.2016.01.007_bib0010
Isaacs
PCT Int. Appl., WO 2009154870 A1 20091223, 2009
3.
Expeditious Synthesis of Imidazole- and Pyrrole-Fused Benzodiazocines
Mishra A., Batra S.
European Journal of Organic Chemistry, 2010
8.
The first structure of a benzo[b][1,4]diazocine
Wallis J.D.
Acta Crystallographica Section C Crystal Structure Communications, 1992
9.
Belyaeva K.V., Andriyankova L.V., Nikitina L.P., Afonin A.V., Ushakov I.A., Mal’kina A.G., Trofimov B.A.
Mendeleev Communications, 2015
10.
Reaction of 1-substituted benzimidazoles with acylacetylenes and water: ring-opening versus ring-expansion and isotopic effect of deuterium
Belyaeva K.V., Andriyankova L.V., Nikitina L.P., Bagryanskaya I.Y., Afonin A.V., Ushakov I.A., Mal'kina A.G., Trofimov B.A.
Tetrahedron, 2015
11.
A facile annelation of pyridines with nitriles of α,β-acetylenic γ-hydroxyacids
Trofimov B.A., Andriyankova L.V., Zhivet'ev S.A., Mal'kina A.G., Voronov V.K.
Tetrahedron Letters, 2002
12.
Reaction of 3-(1-Hydroxycyclohexyl)-2-propynenitrile with Tris[2-(4-pyridyl)ethyl]phosphine Oxide
Trofimov B.A., Andriyankova L.V., Shaikhudinova S.I., Kazantseva T.I., Mal’kina A.G., Afonin A.V.
Synthesis, 2002
13.
Stereoselective Tandem Ring Opening of Imidazoles with Electron-Deficient Acetylenes and Water: Synthesis of Functionalized (Z,Z)-1,4-Diaza-2,5-dienes
Trofimov B.A., Andriyankova L.V., Nikitina L.P., Belyaeva K.V., Mal’kina A.G., Sobenina L.N., Afonin A.V., Ushakov I.A.
Organic Letters, 2013
14.
Starikova O.V., Dolgushin G.V., Larina L.I., Komarova T.N., Lopyrev V.A.
Arkivoc, 2003
15.
A new route for the synthesis of 1,3-diketones
Zanina A.S., Shergina S.I., Sokolov I.E., Myasnikova R.N.
Russian Chemical Bulletin, 1995
16.
SADABS, v. 2008-1, Bruker AXS, Madison, WI, USA, 2008.
17.
A short history of SHELX
Sheldrick G.M.
Acta Crystallographica Section A Foundations of Crystallography, 2007
18.
10.1016/j.mencom.2016.01.007_sbref0065a
Spek
PLATON, A Multipurpose Crystallographic Tool, version 10M, 2003
19.
Single-crystal structure validation with the programPLATON
20.
Mercury: visualization and analysis of crystal structures
Macrae C.F., Edgington P.R., McCabe P., Pidcock E., Shields G.P., Taylor R., Towler M., van de Streek J.
Journal of Applied Crystallography, 2006