Home / Publications / Unexpected formation of 6-[benzofuran-3(2H)-ylidene]-3,3a,9,9a-tetra-hydroimidazo[4,5-e]thiazolo[3,2-b][1,2,4]triazine-2,7-dione derivative

Unexpected formation of 6-[benzofuran-3(2H)-ylidene]-3,3a,9,9a-tetra-hydroimidazo[4,5-e]thiazolo[3,2-b][1,2,4]triazine-2,7-dione derivative

Angelina Nikolaevna Kravchenko 1
Angelina Nikolaevna Kravchenko
Sergei Vitalyevich Vasilevskii 1
Sergei Vitalyevich Vasilevskii
Galina Anatol'evna Gazieva 1
Galina Anatol'evna Gazieva
Published 2015-11-09
CommunicationVolume 25, Issue 6, 476-478
6
Share
Cite this
GOST
 | 
Cite this
GOST Copy
Kravchenko A. N. et al. Unexpected formation of 6-[benzofuran-3(2H)-ylidene]-3,3a,9,9a-tetra-hydroimidazo[4,5-e]thiazolo[3,2-b][1,2,4]triazine-2,7-dione derivative // Mendeleev Communications. 2015. Vol. 25. No. 6. pp. 476-478.
GOST all authors (up to 50) Copy
Kravchenko A. N., Vasilevskii S. V., Gazieva G. A., Nelyubina Y. V. Unexpected formation of 6-[benzofuran-3(2H)-ylidene]-3,3a,9,9a-tetra-hydroimidazo[4,5-e]thiazolo[3,2-b][1,2,4]triazine-2,7-dione derivative // Mendeleev Communications. 2015. Vol. 25. No. 6. pp. 476-478.
RIS
 | 
Cite this
RIS Copy
TY - JOUR
DO - 10.1016/j.mencom.2015.11.027
UR - https://mendcomm.colab.ws/publications/10.1016/j.mencom.2015.11.027
TI - Unexpected formation of 6-[benzofuran-3(2H)-ylidene]-3,3a,9,9a-tetra-hydroimidazo[4,5-e]thiazolo[3,2-b][1,2,4]triazine-2,7-dione derivative
T2 - Mendeleev Communications
AU - Kravchenko, Angelina Nikolaevna
AU - Vasilevskii, Sergei Vitalyevich
AU - Gazieva, Galina Anatol'evna
AU - Nelyubina, Yulia Vladimirovna
PY - 2015
DA - 2015/11/09
PB - Mendeleev Communications
SP - 476-478
IS - 6
VL - 25
ER -
BibTex
 | 
Cite this
BibTex (up to 50 authors) Copy
@article{2015_Kravchenko,
author = {Angelina Nikolaevna Kravchenko and Sergei Vitalyevich Vasilevskii and Galina Anatol'evna Gazieva and Yulia Vladimirovna Nelyubina},
title = {Unexpected formation of 6-[benzofuran-3(2H)-ylidene]-3,3a,9,9a-tetra-hydroimidazo[4,5-e]thiazolo[3,2-b][1,2,4]triazine-2,7-dione derivative},
journal = {Mendeleev Communications},
year = {2015},
volume = {25},
publisher = {Mendeleev Communications},
month = {Nov},
url = {https://mendcomm.colab.ws/publications/10.1016/j.mencom.2015.11.027},
number = {6},
pages = {476--478},
doi = {10.1016/j.mencom.2015.11.027}
}
MLA
Cite this
MLA Copy
Kravchenko, Angelina Nikolaevna, et al. “Unexpected formation of 6-[benzofuran-3(2H)-ylidene]-3,3a,9,9a-tetra-hydroimidazo[4,5-e]thiazolo[3,2-b][1,2,4]triazine-2,7-dione derivative.” Mendeleev Communications, vol. 25, no. 6, Nov. 2015, pp. 476-478. https://mendcomm.colab.ws/publications/10.1016/j.mencom.2015.11.027.

Abstract

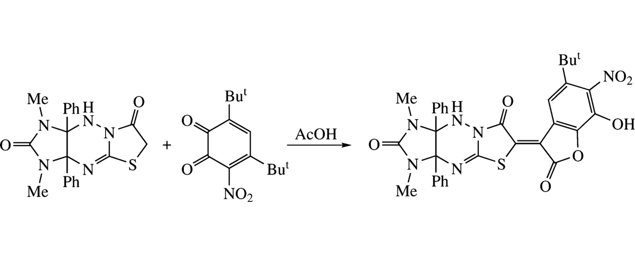
Condensation of 4,6-di(tert-butyl)-3-nitro-1,2-benzoquinone with 1,3-dimethyl-3a,9a-diphenyl-3,3a,9,9a-tetrahydroimidazo[4,5-e]-thiazolo[3,2-b][1,2,4]triazine-2,7(1H,6H)-dione in AcOH gives a new 6-(benzofuranylidene)tetrahydroimidazo[4,5-e]thiazolo[3,2-b]-[1,2,4]triazine-2,7-dione derivative, whose structure was confirmed by X-ray diffraction analysis.

References

1.
Synthesis and cytotoxic activity of [benzo[b][1,4]oxazepino[7,6,5-de]quinolin-2-yl]-1,3-tropolones
Bang D.N., Sayapin Y.A., Lam H., Duc N.D., Komissarov V.N.
Chemistry of Heterocyclic Compounds, 2015
2.
Synthesis and structure of 3-(tert-butyl)-10,10-dimethyl-10H-indolo[1,2-a]indoline-1,4-dione
Sayapin Y.A., Tupaeva I.O., Gusakov E.A., Shilov G.V., Tkachev V.V., Aldoshin S.M., Minkin V.I.
Doklady Chemistry, 2015
3.
Synthesis and isomerization reaction of 2-(benzoxazol-2-yl)-1,3-tropolones
Tupaeva I.O., Sayapin Y.A., Bang Z.N., Komissarov V.N., Tkachev V.V., Shilov G.V., Aldoshin S.M., Minkin V.I.
Russian Chemical Bulletin, 2013
4.
Synthesis and structure of 3-arylamino-2-(quinolin-2-yl)tropones
Sayapin Y.A., Gusakov E.A., Bang Z.N., Tupaeva I.O., Komissarov V.N., Dorogan I.V., Tkachev V.V., Aldoshin S.M., Minkin V.I.
Russian Chemical Bulletin, 2013
5.
Synthesis and molecular structure of 3-[5-(quinolin-2-yl)penta-1,4-dien-1-yl]-1,4-benzodioxin-2-one
Tkachev V.V., Sayapin Y.A., Dorogan I.V., Gorkovets V.S., Kolodina A.A., Komissarov V.N., Shilov G.V., Aldoshin S.M., Minkin V.I.
Russian Journal of Organic Chemistry, 2013
6.
Synthesis, structure, and photoisomerization of derivatives of 2-(2-quinolyl)-1,3-tropolones prepared by the condensation of 2-methylquinolines with 3,4,5,6-tetrachloro-1,2-benzoquinone
Sayapin Y.A., Duong B.N., Komissarov V.N., Dorogan I.V., Makarova N.I., Bondareva I.O., Tkachev V.V., Shilov G.V., Aldoshin S.M., Minkin V.I.
Tetrahedron, 2010
7.
Synthesis and molecular structure of 7H-12-oxa-3,7-diazapleiadene-substituted 1,3-tropolones
Aldoshin S.M., Sayapin Y.A., Bang Z.N., Bondareva I.O., Komissarov V.N., Dorogan I.V., Tkachev V.V., Shilov G.V., Minkin V.I.
Russian Chemical Bulletin, 2011
8.
The facile formation of trioxanaphthacenes by a [4+2] addition of flavonols to 1,2-benzoquinone
Kaizer J., Speier G., Ősz E., Giorgi M., Réglier M.
Tetrahedron Letters, 2004
10.
Kravchenko A.N., Gazieva G.A., Vasilevskii S.V., Nelyubina Y.V.
Mendeleev Communications, 2014
11.
Gazieva G.A., Vasilevskii S.V., Belyakov P.A., Nelyubina Y.V., Lubuzh E.D., Kravchenko A.N.
Mendeleev Communications, 2010
12.
Diastereoselective synthesis of (Z)-6-(2-oxo-1,2-dihydro-3H-indol-3- ylidene)-3,3a,9,9a-tetrahydroimidazo[4,5-e]thiazolo[3,2-b]-1,2,4-triazin-2,7(1H, 6H)-diones
Gazieva G.A., Shishkova E.A., Kulikova L.B., Kolotyrkina N.G., Sigay N.V., Kravchenko A.N.
Journal of Heterocyclic Chemistry, 2013
13.
Synthesis and structure of heterocyclic derivatives of pyran-2-ones based on the dimer of 4,6-di(tert-butyl)-3-hydroxy-1,2-benzoquinone
Sayapin Y.A., Bang Z.N., Komissarov V.N., Dorogan I.V., Tkachev V.V., Shilov G.V., Aldoshin S.M., Minkin V.I.
Russian Journal of Organic Chemistry, 2009
14.
Vasilevskii S.V., Belyakov P.A., Gazieva G.A., Nelyubina Y.V., Kolotyrkina N.G., Kravchenko A.N.
Mendeleev Communications, 2010
15.
Sigachev A.S., Kravchenko A.N., Lyssenko K.A., Belyakov P.A., Lebedev O.V., Makhova N.N.
Mendeleev Communications, 2003
16.
10.1016/j.mencom.2015.11.027_bib0050
Neville
J. Org. Chem., 1958
17.
Über Sauerstoffradikale, V. Mitteil.: Über die Nitrierung des 2.4.6-Tri-tert.-butyl-phenols
Ley K., Müller E., Ley K., Müller E.
European Journal of Inorganic Chemistry, 1956
18.
A short history of SHELX
Sheldrick G.M.
Acta Crystallographica Section A Foundations of Crystallography, 2007