Home / Publications / Synthesis of 1-BODIPY-labeled 2-amino-2-deoxy-d-glucose, substrate for acetyl-CoA:glucosaminide N-acetyltransferase

Synthesis of 1-BODIPY-labeled 2-amino-2-deoxy-d-glucose, substrate for acetyl-CoA:glucosaminide N-acetyltransferase

Tatiana Victorovna Ovchinnikova 1
Tatiana Victorovna Ovchinnikova
Alexey Valer'evich Pshezhetsky 2
Alexey Valer'evich Pshezhetsky
Alexander Borisovich Tuzikov 1
Alexander Borisovich Tuzikov
Published 2015-11-09
CommunicationVolume 25, Issue 6, 422-423
5
Share
Cite this
GOST
 | 
Cite this
GOST Copy
Ovchinnikova T. V. et al. Synthesis of 1-BODIPY-labeled 2-amino-2-deoxy-d-glucose, substrate for acetyl-CoA:glucosaminide N-acetyltransferase // Mendeleev Communications. 2015. Vol. 25. No. 6. pp. 422-423.
GOST all authors (up to 50) Copy
Ovchinnikova T. V., Pshezhetsky A. V., Tuzikov A. B., Bovin N. V. Synthesis of 1-BODIPY-labeled 2-amino-2-deoxy-d-glucose, substrate for acetyl-CoA:glucosaminide N-acetyltransferase // Mendeleev Communications. 2015. Vol. 25. No. 6. pp. 422-423.
RIS
 | 
Cite this
RIS Copy
TY - JOUR
DO - 10.1016/j.mencom.2015.11.007
UR - https://mendcomm.colab.ws/publications/10.1016/j.mencom.2015.11.007
TI - Synthesis of 1-BODIPY-labeled 2-amino-2-deoxy-d-glucose, substrate for acetyl-CoA:glucosaminide N-acetyltransferase
T2 - Mendeleev Communications
AU - Ovchinnikova, Tatiana Victorovna
AU - Pshezhetsky, Alexey Valer'evich
AU - Tuzikov, Alexander Borisovich
AU - Bovin, Nicolai Vladimirovich
PY - 2015
DA - 2015/11/09
PB - Mendeleev Communications
SP - 422-423
IS - 6
VL - 25
ER -
BibTex
 | 
Cite this
BibTex (up to 50 authors) Copy
@article{2015_Ovchinnikova,
author = {Tatiana Victorovna Ovchinnikova and Alexey Valer'evich Pshezhetsky and Alexander Borisovich Tuzikov and Nicolai Vladimirovich Bovin},
title = {Synthesis of 1-BODIPY-labeled 2-amino-2-deoxy-d-glucose, substrate for acetyl-CoA:glucosaminide N-acetyltransferase},
journal = {Mendeleev Communications},
year = {2015},
volume = {25},
publisher = {Mendeleev Communications},
month = {Nov},
url = {https://mendcomm.colab.ws/publications/10.1016/j.mencom.2015.11.007},
number = {6},
pages = {422--423},
doi = {10.1016/j.mencom.2015.11.007}
}
MLA
Cite this
MLA Copy
Ovchinnikova, Tatiana Victorovna, et al. “Synthesis of 1-BODIPY-labeled 2-amino-2-deoxy-d-glucose, substrate for acetyl-CoA:glucosaminide N-acetyltransferase.” Mendeleev Communications, vol. 25, no. 6, Nov. 2015, pp. 422-423. https://mendcomm.colab.ws/publications/10.1016/j.mencom.2015.11.007.

Abstract

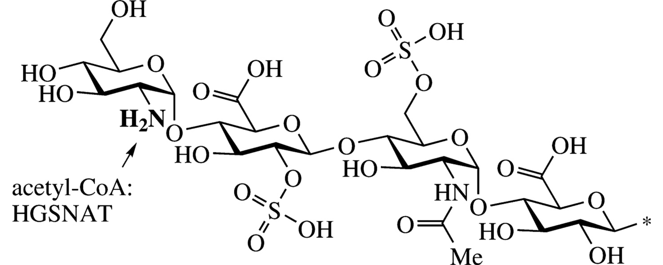
A new fluorescent substrate for acetyl-CoA: glucosaminide N-acetyltransferase, namely, 2-amino-2-deoxy-d-glucose BODIPY-labeled by the 1-position, was synthesized in five steps from 2-azido-2-deoxy-d-glucose.

References

1.
Sanfilippo syndrome type C: mutation spectrum in the heparan sulfate acetyl-CoA: α-glucosaminide N-acetyltransferase (HGSNAT) gene
Feldhammer M., Durand S., Mrázová L., Boucher R., Laframboise R., Steinfeld R., Wraith J.E., Michelakakis H., van Diggelen O.P., Hřebíček M., Kmoch S., Pshezhetsky A.V.
Human Mutation, 2009
3.
A fluorimetric enzyme assay for the diagnosis of Sanfilippo disease C (MPS III C)
Voznyi Y.V., Karpova E.A., Dudukina T.V., Tsvetkova I.V., Boer A.M., Janse H.C., van Diggelen O.P.
Journal of Inherited Metabolic Disease, 1993
4.
Fluorescent assay for studying the substrate specificity of neuraminidase
Mochalova L.V., Korchagina E.Y., Kurova V.S., Shtyria J.A., Gambaryan A.S., Bovin N.V.
Analytical Biochemistry, 2005
5.
Oligosaccharide specificity of influenza H1N1 virus neuraminidases
Mochalova L., Kurova V., Shtyrya Y., Korchagina E., Gambaryan A., Belyanchikov I., Bovin N.
Archives of Virology, 2007
6.
10.1016/j.mencom.2015.11.007_bib0030
Likhosherstov
Dokl. Chem., 2002
8.
Conversion of Complex Sialooligosaccharides into Polymeric Conjugates and their Anti-Influenza Virus Inhibitory Potency
Tuzikov A.B., Gambaryan A.S., Juneja L.R., Bovin N.V.
Journal of Carbohydrate Chemistry, 2000