Home / Publications / Heteropoly metallophosphoric acid-catalyzed Prins-type cyclizations in the synthesis of functionalized 8-oxabicyclo[5.4.0]undecanes

Heteropoly metallophosphoric acid-catalyzed Prins-type cyclizations in the synthesis of functionalized 8-oxabicyclo[5.4.0]undecanes

Aleksandr Igorevich Tsybin 1
Aleksandr Igorevich Tsybin
Valeriy Pavlovich Perevalov 1
Valeriy Pavlovich Perevalov
Tatiana Yuryevna Koldaeva 1
Tatiana Yuryevna Koldaeva
Published 2015-09-10
CommunicationVolume 25, Issue 5, 380-381
1
Share
Cite this
GOST
 | 
Cite this
GOST Copy
Tsybin A. I., Perevalov V. P., Koldaeva T. Y. Heteropoly metallophosphoric acid-catalyzed Prins-type cyclizations in the synthesis of functionalized 8-oxabicyclo[5.4.0]undecanes // Mendeleev Communications. 2015. Vol. 25. No. 5. pp. 380-381.
GOST all authors (up to 50) Copy
Tsybin A. I., Perevalov V. P., Koldaeva T. Y. Heteropoly metallophosphoric acid-catalyzed Prins-type cyclizations in the synthesis of functionalized 8-oxabicyclo[5.4.0]undecanes // Mendeleev Communications. 2015. Vol. 25. No. 5. pp. 380-381.
RIS
 | 
Cite this
RIS Copy
TY - JOUR
DO - 10.1016/j.mencom.2015.09.022
UR - https://mendcomm.colab.ws/publications/10.1016/j.mencom.2015.09.022
TI - Heteropoly metallophosphoric acid-catalyzed Prins-type cyclizations in the synthesis of functionalized 8-oxabicyclo[5.4.0]undecanes
T2 - Mendeleev Communications
AU - Tsybin, Aleksandr Igorevich
AU - Perevalov, Valeriy Pavlovich
AU - Koldaeva, Tatiana Yuryevna
PY - 2015
DA - 2015/09/10
PB - Mendeleev Communications
SP - 380-381
IS - 5
VL - 25
ER -
BibTex
 | 
Cite this
BibTex (up to 50 authors) Copy
@article{2015_Tsybin,
author = {Aleksandr Igorevich Tsybin and Valeriy Pavlovich Perevalov and Tatiana Yuryevna Koldaeva},
title = {Heteropoly metallophosphoric acid-catalyzed Prins-type cyclizations in the synthesis of functionalized 8-oxabicyclo[5.4.0]undecanes},
journal = {Mendeleev Communications},
year = {2015},
volume = {25},
publisher = {Mendeleev Communications},
month = {Sep},
url = {https://mendcomm.colab.ws/publications/10.1016/j.mencom.2015.09.022},
number = {5},
pages = {380--381},
doi = {10.1016/j.mencom.2015.09.022}
}
MLA
Cite this
MLA Copy
Tsybin, Aleksandr Igorevich, et al. “Heteropoly metallophosphoric acid-catalyzed Prins-type cyclizations in the synthesis of functionalized 8-oxabicyclo[5.4.0]undecanes.” Mendeleev Communications, vol. 25, no. 5, Sep. 2015, pp. 380-381. https://mendcomm.colab.ws/publications/10.1016/j.mencom.2015.09.022.

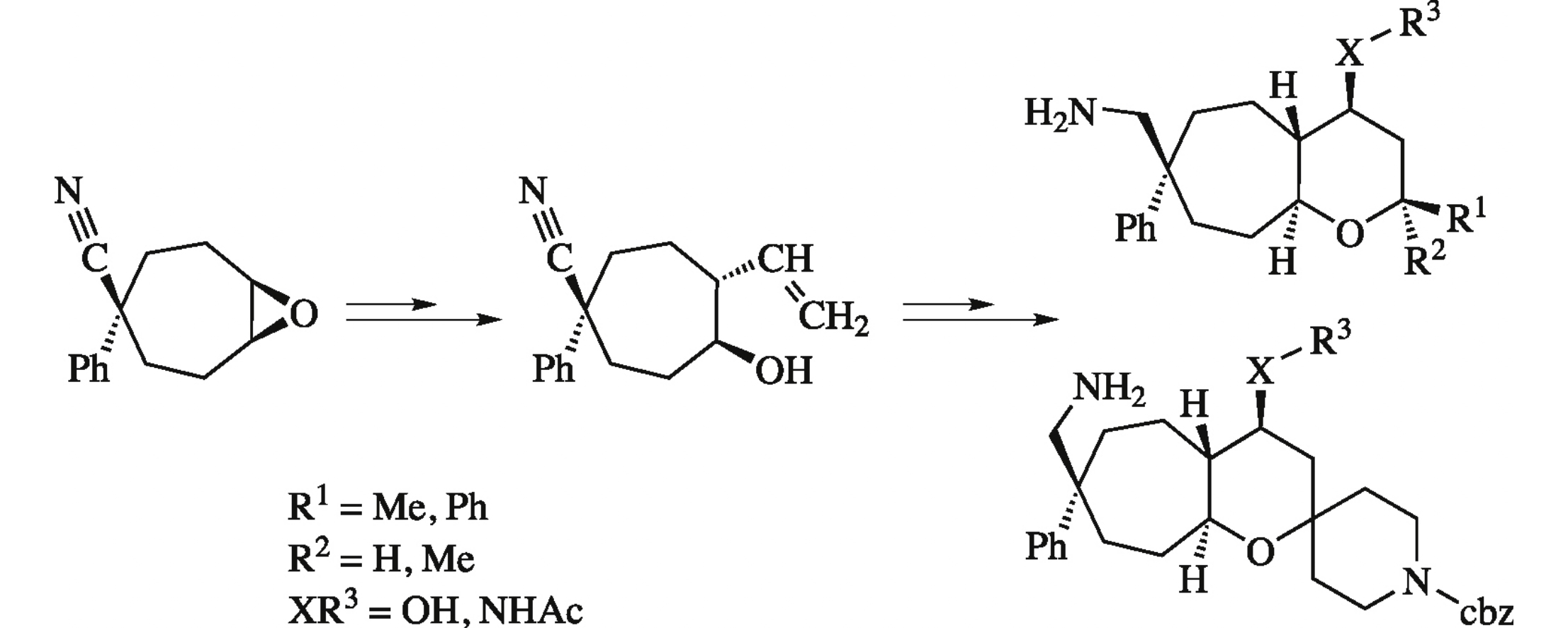
Abstract

Heteropoly metallophosphoric acid-catalyzed microwave-assisted Prins cyclizations of 4-cyano-4-phenyl-7-vinylcycloheptanol with carbonyl compounds affords functionalized 8-oxabicyclo[5.4.0]undecanes in good yields and with high stereoselectivity.

References

3.
On the choice of Lewis acids for the Prins reaction; two total syntheses of (±)-Civet
Chio F.K., Warne J., Gough D., Penny M., Green (née Martinović) S., Coles S.J., Hursthouse M.B., Jones P., Hassall L., McGuire T.M., Dobbs A.P.
Tetrahedron, 2011
5.
Monofluorinated di- and tetrahydropyrans via Prins-type cyclisations
Dobbs A.P., Pivnevi L., Penny M.J., Martinovi? S., Iley J.N., Stephenson P.T.
Chemical Communications, 2006
6.
Prins Desymmetrization of a C2-Symmetric Diol:  Application to the Synthesis of 17-Deoxyroflamycoin
Rychnovsky S.D., Yang G., Hu Y., Khire U.R.
Journal of Organic Chemistry, 1997
9.
Tsybin A.I., Perevalov V.P.
Mendeleev Communications, 2015
14.
Hydroalkylation of alkynyl ethers via a gold(I)-catalyzed 1,5-hydride shift/cyclization sequence.
Jurberg I.D., Odabachian Y., Gagosz F.
Journal of the American Chemical Society, 2010
15.
H. Lindlar and R. Dubuis, in Organic Syntheses, Wiley, New York, 1973, coll. vol. V, p. 880.
16.
L. E. Overman, M.J. Brown and S. F. McCann, in Organic Syntheses, Wiley, New York, 1993, coll. vol. VIII, p. 609.
18.
Advances in the development of nucleoside and nucleotide analogues for cancer and viral diseases
Jordheim L.P., Durantel D., Zoulim F., Dumontet C.
Nature Reviews Drug Discovery, 2013
19.
trans-2-Cyanocycloalkanols: Versatile Synthons for Alicyclic cis- and trans-1,3-Amino Alcohols
Fülöp F., Huber I., Bernáth G., Hönig H., Seufer-Wasserthal P.
Synthesis, 1991