Home / Publications / New photochromes equipped with positively charged ammonium fragments

New photochromes equipped with positively charged ammonium fragments

Vladimir Abramovich Lokshin 1
Vladimir Abramovich Lokshin
Sergey Victorovich Paramonov 2
Sergey Victorovich Paramonov
Olga Anatol'evna Fedorova 2
Olga Anatol'evna Fedorova
Published 2015-09-10
CommunicationVolume 25, Issue 5, 370-371
1
Share
Cite this
GOST
 | 
Cite this
GOST Copy
Lokshin V. A., Paramonov S. V., Fedorova O. A. New photochromes equipped with positively charged ammonium fragments // Mendeleev Communications. 2015. Vol. 25. No. 5. pp. 370-371.
GOST all authors (up to 50) Copy
Lokshin V. A., Paramonov S. V., Fedorova O. A. New photochromes equipped with positively charged ammonium fragments // Mendeleev Communications. 2015. Vol. 25. No. 5. pp. 370-371.
RIS
 | 
Cite this
RIS Copy
TY - JOUR
DO - 10.1016/j.mencom.2015.09.018
UR - https://mendcomm.colab.ws/publications/10.1016/j.mencom.2015.09.018
TI - New photochromes equipped with positively charged ammonium fragments
T2 - Mendeleev Communications
AU - Lokshin, Vladimir Abramovich
AU - Paramonov, Sergey Victorovich
AU - Fedorova, Olga Anatol'evna
PY - 2015
DA - 2015/09/10
PB - Mendeleev Communications
SP - 370-371
IS - 5
VL - 25
ER -
BibTex
 | 
Cite this
BibTex (up to 50 authors) Copy
@article{2015_Lokshin,
author = {Vladimir Abramovich Lokshin and Sergey Victorovich Paramonov and Olga Anatol'evna Fedorova},
title = {New photochromes equipped with positively charged ammonium fragments},
journal = {Mendeleev Communications},
year = {2015},
volume = {25},
publisher = {Mendeleev Communications},
month = {Sep},
url = {https://mendcomm.colab.ws/publications/10.1016/j.mencom.2015.09.018},
number = {5},
pages = {370--371},
doi = {10.1016/j.mencom.2015.09.018}
}
MLA
Cite this
MLA Copy
Lokshin, Vladimir Abramovich, et al. “New photochromes equipped with positively charged ammonium fragments.” Mendeleev Communications, vol. 25, no. 5, Sep. 2015, pp. 370-371. https://mendcomm.colab.ws/publications/10.1016/j.mencom.2015.09.018.

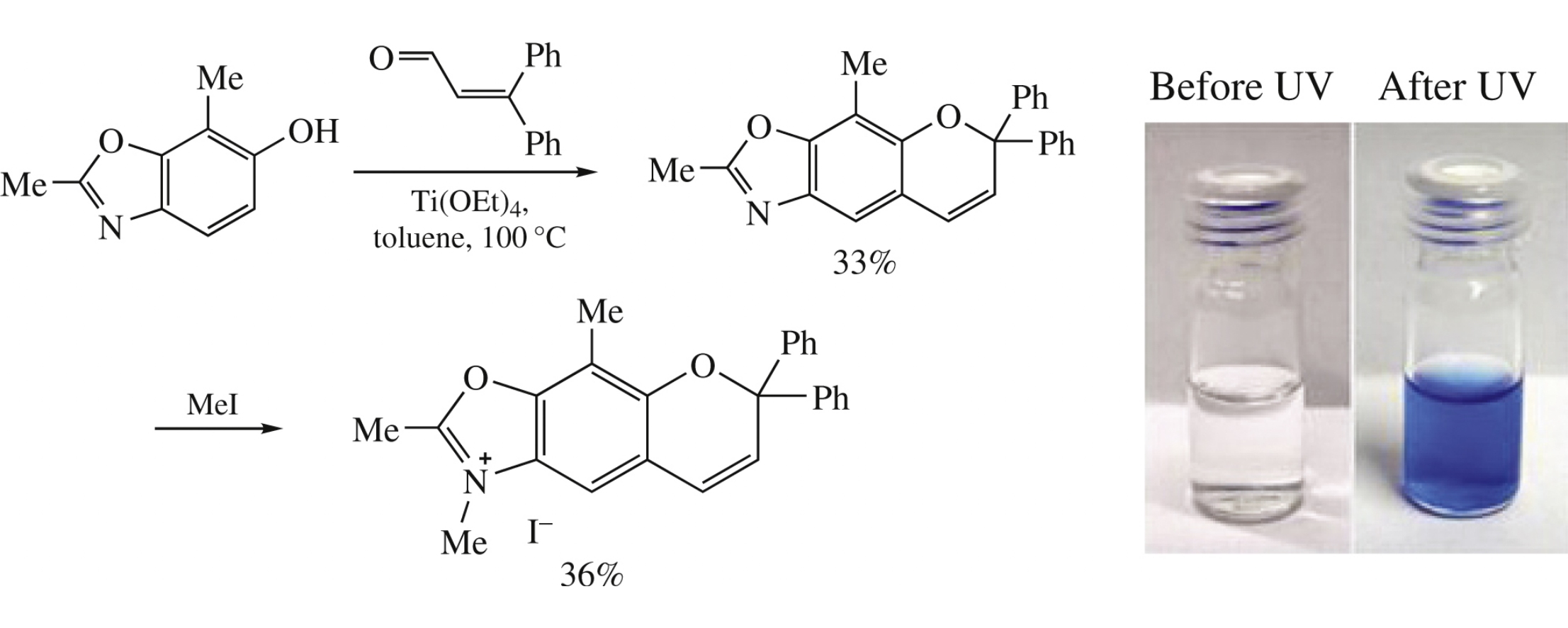
Abstract

Quaternization of N-heterocycle-fused chromenes with iodomethane and of triethylamine with 3-bromopropyl-substituted spiro- naphthoxazine affords new ammonium-equipped photochromes.

References

1.
Photoswitched DNA-binding of a photochromic spiropyran.
Andersson J., Li S., Lincoln P., Andréasson J.
Journal of the American Chemical Society, 2008
2.
Molecular AND-logic for dually controlled activation of a DNA-binding spiropyran
Hammarson M., Andersson J., Li S., Lincoln P., Andréasson J.
Chemical Communications, 2010
3.
Light-Regulated RNA-Small Molecule Interactions
4.
Influence of DNA-binding on the photochromic equilibrium of a chromene derivative
Paramonov S.V., Lokshin V., Ihmels H., Fedorova O.A.
Photochemical and Photobiological Sciences, 2011
5.
Photoinduced in situ generation of a DNA-binding benzothiazoloquinolinium derivative
Berdnikova D., Fedorova O., Gulakova E., Ihmels H.
Chemical Communications, 2012
6.
Laptev A.V., Lukin A.Y., Belikov N.E., Barachevskii V.A., Demin O.V., Khodonov A.A., Varfolomeev S.D., Shvets V.I.
Mendeleev Communications, 2013
7.
Laptev A.V., Lukin A.Y., Belikov N.E., Demina O.V., Khodonov A.A., Shvets V.I.
Mendeleev Communications, 2014
9.
A convenient synthesis of azolo-fused 2H-[1] benzopyrans
Pozzo J., Lokshin V.A., Guglielmetti R.
Journal of the Chemical Society Perkin Transactions 1, 1994
10.
New Photochromic 2,2-Diphenyl-[2H]-Chromenes Annellated With Nitrogenated Sex-Membered Ring
Pozzo J.L., Lokshin V.A., Guglielmetti R.
Molecular Crystals and Liquid Crystals Science and Technology Section A Molecular Crystals and Liquid Crystals, 1994
11.
Synthesis and Photochromic Behaviour of Naphthopyrans, Pyranoquinolines, Pyranoquinazolines and Pyranoquinoxalines
12.
B. Van Gemert, in Organic Photochromic and Thermochromic Com- pounds, eds. J. C. Crano and R. J. Guglielmetti, Plenum Press, New York, 1999, p. 111.