Home / Publications / Mesoporic material from microcrystalline cellulose with gold nanoparticles: A new approach to metal-carrying polysaccharides

Mesoporic material from microcrystalline cellulose with gold nanoparticles: A new approach to metal-carrying polysaccharides

Alexander Yur'evich Vasil'kov 1
Alexander Yur'evich Vasil'kov
Margarita Sergeevna Rubina 1
Margarita Sergeevna Rubina
Albina Al'bertovna Gallyamova 2
Albina Al'bertovna Gallyamova
Galina Petrovna Murav'eva 2
Galina Petrovna Murav'eva
Published 2015-09-10
CommunicationVolume 25, Issue 5, 358-360
12
Share
Cite this
GOST
 | 
Cite this
GOST Copy
Vasil'kov A. Y. et al. Mesoporic material from microcrystalline cellulose with gold nanoparticles: A new approach to metal-carrying polysaccharides // Mendeleev Communications. 2015. Vol. 25. No. 5. pp. 358-360.
GOST all authors (up to 50) Copy
Vasil'kov A. Y., Rubina M. S., Gallyamova A. A., Naumkin A. V., Buzin M. I., Murav'eva G. P. Mesoporic material from microcrystalline cellulose with gold nanoparticles: A new approach to metal-carrying polysaccharides // Mendeleev Communications. 2015. Vol. 25. No. 5. pp. 358-360.
RIS
 | 
Cite this
RIS Copy
TY - JOUR
DO - 10.1016/j.mencom.2015.09.014
UR - https://mendcomm.colab.ws/publications/10.1016/j.mencom.2015.09.014
TI - Mesoporic material from microcrystalline cellulose with gold nanoparticles: A new approach to metal-carrying polysaccharides
T2 - Mendeleev Communications
AU - Vasil'kov, Alexander Yur'evich
AU - Rubina, Margarita Sergeevna
AU - Gallyamova, Albina Al'bertovna
AU - Naumkin, Alexander Vasil'evich
AU - Buzin, Mikhail Igorevich
AU - Murav'eva, Galina Petrovna
PY - 2015
DA - 2015/09/10
PB - Mendeleev Communications
SP - 358-360
IS - 5
VL - 25
ER -
BibTex
 | 
Cite this
BibTex (up to 50 authors) Copy
@article{2015_Vasil'kov,
author = {Alexander Yur'evich Vasil'kov and Margarita Sergeevna Rubina and Albina Al'bertovna Gallyamova and Alexander Vasil'evich Naumkin and Mikhail Igorevich Buzin and Galina Petrovna Murav'eva},
title = {Mesoporic material from microcrystalline cellulose with gold nanoparticles: A new approach to metal-carrying polysaccharides},
journal = {Mendeleev Communications},
year = {2015},
volume = {25},
publisher = {Mendeleev Communications},
month = {Sep},
url = {https://mendcomm.colab.ws/publications/10.1016/j.mencom.2015.09.014},
number = {5},
pages = {358--360},
doi = {10.1016/j.mencom.2015.09.014}
}
MLA
Cite this
MLA Copy
Vasil'kov, Alexander Yur'evich, et al. “Mesoporic material from microcrystalline cellulose with gold nanoparticles: A new approach to metal-carrying polysaccharides.” Mendeleev Communications, vol. 25, no. 5, Sep. 2015, pp. 358-360. https://mendcomm.colab.ws/publications/10.1016/j.mencom.2015.09.014.

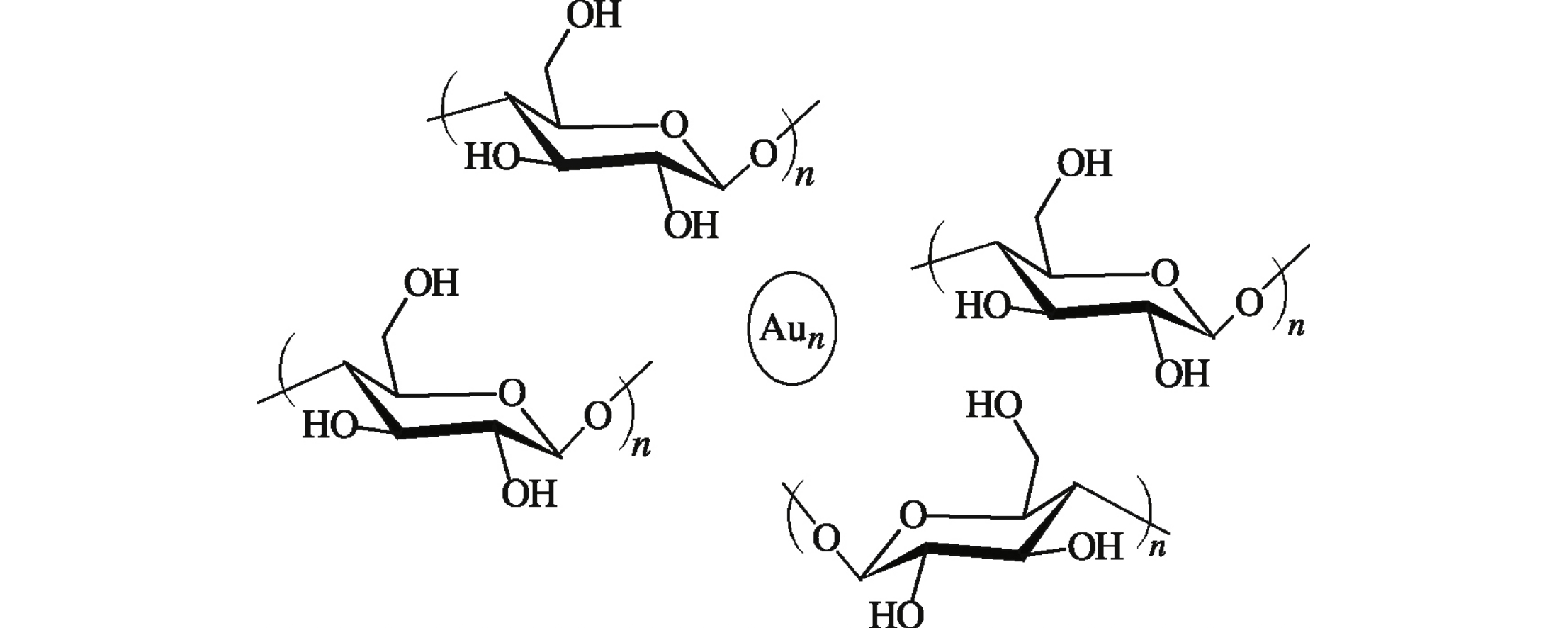
Abstract

The mesoporic hybrid material was prepared from microcrystalline cellulose modified with gold nanoparticles by metal-vapor synthesis.

References

1.
Polysaccharide-based aerogels as drug carriers
Mehling T., Smirnova I., Guenther U., Neubert R.H.
Journal of Non-Crystalline Solids, 2009
2.
Starbons: New Starch-Derived Mesoporous Carbonaceous Materials with Tunable Properties
Budarin V., Clark J.H., Hardy J.J., Luque R., Milkowski K., Tavener S.J., Wilson A.J.
Angewandte Chemie - International Edition, 2006
4.
Design of biocompatible magnetic pectin aerogel monoliths and microspheres
García-González C.A., Carenza E., Zeng M., Smirnova I., Roig A.
RSC Advances, 2012
6.
Rapid microwave-assisted preparation and characterization of cellulose–silver nanocomposites
Li S., Jia N., Zhu J., Ma M., Xu F., Wang B., Sun R.
Carbohydrate Polymers, 2011
9.
Synthesis and characterization of silver nanoparticles impregnated into bacterial cellulose
de Santa Maria L.C., Santos A.L., Oliveira P.C., Barud H.S., Messaddeq Y., Ribeiro S.J.
Materials Letters, 2009
11.
Porous membrane catalysts with Pd-M-clusters for liquid phase hydrogenation of dehydrolinalool
Karavanov A.N., Gryaznov V.M., Lebedeva V.I., Litvinov I.A., Vasil'kov A.Y., Olenin A.Y.
Catalysis Today, 1995
12.
Nenajdenko V.G., Vasil’kov A.Y., Goldberg A.A., Muzalevskiy V.M., Naumkin A.V., Podshibikhin V.L., Shastin A.V., Balenkova E.S.
Mendeleev Communications, 2010
13.
Vasil’kov A.Y., Nikolaev S.A., Smirnov V.V., Naumkin A.V., Volkov I.O., Podshibikhin V.L.
Mendeleev Communications, 2007
14.
Magnetodielectric composites based on functionalized polyphenylene sulfides containing iron nanoparticles
Vasil’kov A.Y., Zachernyuk B.A., Karpikov Z.N., Volkov I.O., Zubavichus Y.V., Veligzhanin A.A., Chernyshov A.A., Buzin M.I., Nikitin L.N., Nedel’kin V.I.
Russian Journal of Applied Chemistry, 2007
15.
Colloidal Cu nanoparticles/chitosan composite film obtained by microwave heating for food package applications
Cárdenas G., Díaz V. J., Meléndrez M.F., Cruzat C. C., García Cancino A.
Polymer Bulletin, 2009
16.
Cellulose Aerogels from Aqueous Alkali Hydroxide–Urea Solution
Cai J., Kimura S., Wada M., Kuga S., Zhang L.
ChemSusChem, 2008
17.
XPS/TEM characterisation of Pt-Au/C cathode electrocatalysts prepared by metal vapour synthesis
Vasil'kov A.Y., Naumkin A.V., Volkov I.O., Podshibikhin V.L., Lisichkin G.V., Khokhlov A.R.
Surface and Interface Analysis, 2010
20.
Crystalline structure analysis of cellulose treated with sodium hydroxide and carbon dioxide by means of X-ray diffraction and FTIR spectroscopy
22.
Nanoporous Cellulose as Metal Nanoparticles Support
Cai J., Kimura S., Wada M., Kuga S.
Biomacromolecules, 2008