Home / Publications / Direct reagentless detection of the affinity binding of recombinant His-tagged firefly luciferase with a nickel-modified gold electrode

Direct reagentless detection of the affinity binding of recombinant His-tagged firefly luciferase with a nickel-modified gold electrode

0
Share
Cite this
GOST
 | 
Cite this
GOST Copy
Vagin M. Y. et al. Direct reagentless detection of the affinity binding of recombinant His-tagged firefly luciferase with a nickel-modified gold electrode // Mendeleev Communications. 2015. Vol. 25. No. 4. pp. 290-292.
GOST all authors (up to 50) Copy
Vagin M. Y., Trashin S. A., Beloglazkina E. K., Majouga A. G. Direct reagentless detection of the affinity binding of recombinant His-tagged firefly luciferase with a nickel-modified gold electrode // Mendeleev Communications. 2015. Vol. 25. No. 4. pp. 290-292.
RIS
 | 
Cite this
RIS Copy
TY - JOUR
DO - 10.1016/j.mencom.2015.07.021
UR - https://mendcomm.colab.ws/publications/10.1016/j.mencom.2015.07.021
TI - Direct reagentless detection of the affinity binding of recombinant His-tagged firefly luciferase with a nickel-modified gold electrode
T2 - Mendeleev Communications
AU - Vagin, Mikhail Yuryevich
AU - Trashin, Stanislav Aleksandrovich
AU - Beloglazkina, Elena Kimovna
AU - Majouga, Alexander Georgievich
PY - 2015
DA - 2015/07/08
PB - Mendeleev Communications
SP - 290-292
IS - 4
VL - 25
ER -
BibTex
 | 
Cite this
BibTex (up to 50 authors) Copy
@article{2015_Vagin,
author = {Mikhail Yuryevich Vagin and Stanislav Aleksandrovich Trashin and Elena Kimovna Beloglazkina and Alexander Georgievich Majouga},
title = {Direct reagentless detection of the affinity binding of recombinant His-tagged firefly luciferase with a nickel-modified gold electrode},
journal = {Mendeleev Communications},
year = {2015},
volume = {25},
publisher = {Mendeleev Communications},
month = {Jul},
url = {https://mendcomm.colab.ws/publications/10.1016/j.mencom.2015.07.021},
number = {4},
pages = {290--292},
doi = {10.1016/j.mencom.2015.07.021}
}
MLA
Cite this
MLA Copy
Vagin, Mikhail Yuryevich, et al. “Direct reagentless detection of the affinity binding of recombinant His-tagged firefly luciferase with a nickel-modified gold electrode.” Mendeleev Communications, vol. 25, no. 4, Jul. 2015, pp. 290-292. https://mendcomm.colab.ws/publications/10.1016/j.mencom.2015.07.021.

Abstract

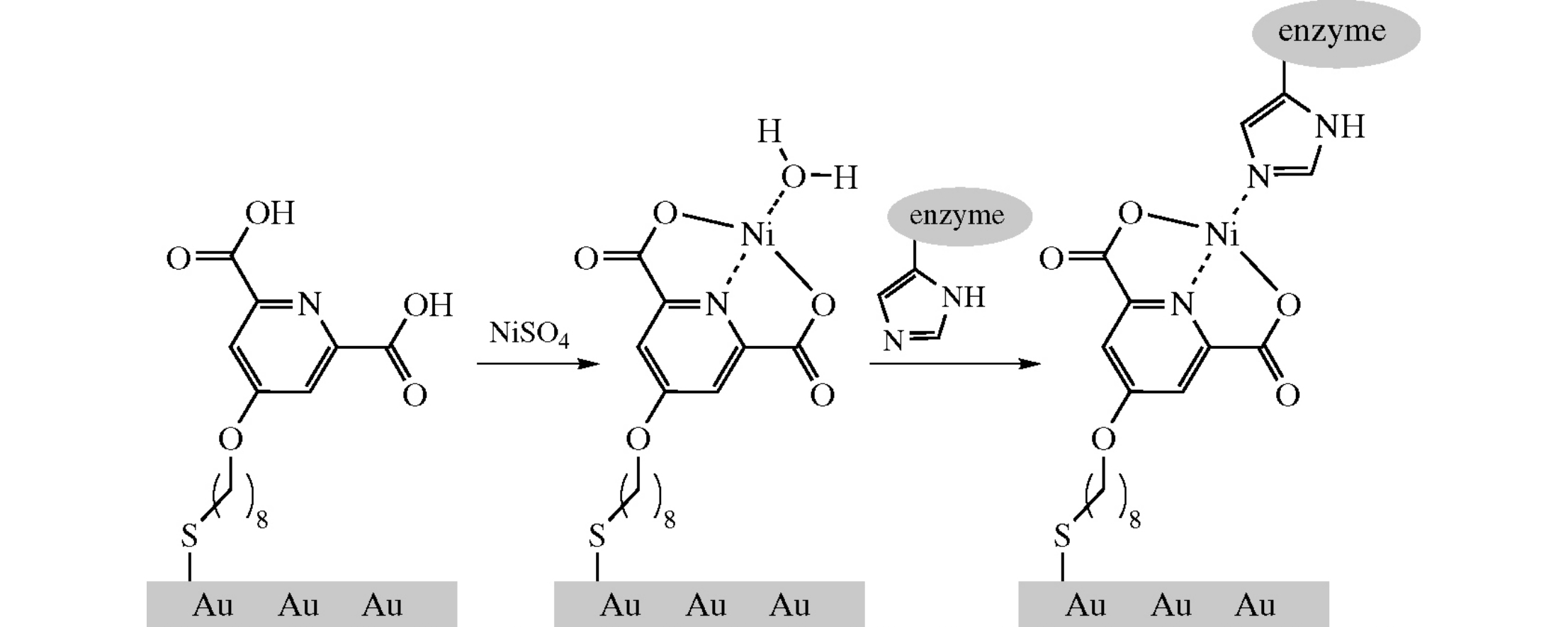
The direct reagentless electrochemical detection of recombinant firefly luciferase binding with a gold electrode modified with nickel complex of 1,16-di[4-(2,6-dihydroxycarbonyl)pyridyl]-1,16-dioxa-8,9-dithiahexadecane has been carried out.

References

2.
Diagnostic and analytical applications of protein microarrays
Dufva M., Christensen C.B.
Expert Review of Proteomics, 2005
5.
Chemical Introduction of Disulfide Groups on Glycoproteins:  A Direct Protein Anchoring Scenario
Suárez G., Jackson R.J., Spoors J.A., McNeil C.J.
Analytical Chemistry, 2007
7.
Selective Covalent Protein Immobilization: Strategies and Applications
Wong L.S., Khan F., Micklefield J.
Chemical Reviews, 2009
8.
10.1016/j.mencom.2015.07.021_bib0040
Eggins
Chichester, 2004
9.
Making the most of affinity tags
Waugh D.S.
Trends in Biotechnology, 2005
10.
Reversible oriented immobilization of histidine-tagged proteins on gold surfaces using a chelator thioalkane
Keller T.A., Duschl C., Kröger D., Sévin-Landais A., Vogel H., Cervigni S.E., Dumy P.
Supramolecular Science, 1995
11.
A Self-Assembled Monolayer for the Binding and Study of Histidine-Tagged Proteins by Surface Plasmon Resonance
Sigal G.B., Bamdad C., Barberis A., Strominger J., Whitesides G.M.
Analytical Chemistry, 1996
12.
Two-Dimensional Crystallization of a Histidine-Tagged Protein on Monolayers of Fluidity-Enhanced Ni2+-Chelating Lipids
Courty S., Lebeau L., Martel L., Lenné P., Balavoine F., Dischert W., Konovalov O., Mioskowski C., Legrand J., Vénien-Bryan C.
Langmuir, 2002
14.
Two-dimensional protein crystallization via metal-ion coordination by naturally occurring surface histidines.
Frey W., Schief W.R., Pack D.W., Chen C.T., Chilkoti A., Stayton P., Vogel V., Arnold F.H.
Proceedings of the National Academy of Sciences of the United States of America, 1996
18.
Specific Orientation and Two-dimensional Crystallization of the Proteasome at Metal-chelating Lipid Interfaces
Thess A., Hutschenreiter S., Hofmann M., Tampé R., Baumeister W., Guckenberger R.
Journal of Biological Chemistry, 2002
19.
Design of Bioelectronic Interfaces by Exploiting Hinge-Bending Motions in Proteins
Benson D.E., Conrad D.W., de R.M., Lorimier, Trammell S.A., Hellinga H.W.
Science, 2001
20.
Immobilization of histidine-tagged proteins on gold surfaces using chelator thioalkanes
Kröger D., Liley M., Schiweck W., Skerra A., Vogel H.
Biosensors and Bioelectronics, 1999
21.
Self-Assembled Monolayers Containing Terminal Mono-, Bis-, and Tris-nitrilotriacetic Acid Groups:  Characterization and Application
Valiokas R., Klenkar G., Tinazli A., Reichel A., Tampé R., Piehler J., Liedberg B.
Langmuir, 2008
22.
Functionalization of Thioctic Acid-Capped Gold Nanoparticles for Specific Immobilization of Histidine-Tagged Proteins
Abad J.M., Mertens S.F., Pita M., Fernández V.M., Schiffrin D.J.
Journal of the American Chemical Society, 2005
25.
Modulation of Electroenzymatic NADPH Oxidation through Oriented Immobilization of Ferredoxin:NADP+ Reductase onto Modified Gold Electrodes
Madoz-Gúrpide J., Abad J.M., Fernández-Recio J., Vélez M., Vázquez L., Gómez-Moreno C., Fernández V.M.
Journal of the American Chemical Society, 2000
26.
Reductive desorption of alkanethiolate monolayers at gold: a measure of surface coverage
Walczak M.M., Popenoe D.D., Deinhammer R.S., Lamp B.D., Chung C., Porter M.D.
Langmuir, 1991
32.
Real surface area measurements in electrochemistry
Trasatti S., Petrii O.A.
Pure and Applied Chemistry, 1991
36.
I. D. Raistrick, D.R. Franceschetti and J. R. Macdonald, Impedance Spectroscopy. Theory, Experiment, and Applications, 2nd edn., Wiley- Interscience, Hoboken, 2005.
37.
Imaging Globular and Filamentous Proteins in Physiological Buffer Solutions with Tapping Mode Atomic Force Microscopy
Fritz M., Radmacher M., Cleveland J.P., Allersma M.W., Stewart R.J., Gieselmann R., Janmey P., Schmidt C.F., Hansma P.K.
Langmuir, 1995
39.
Atomic force microscopy detection of molecular complexes in multiprotein P450cam containing monooxygenase system
Kuznetsov V.Y., Ivanov Y.D., Bykov V.A., Saunin S.A., Fedorov I.A., Lemeshko S.V., Hoa H.B., Archakov A.I.
Proteomics, 2002
40.
10.1016/j.mencom.2015.07.021_sbref0095d
Jovic
J. Electroanal. Chem., 2003