Home / Publications / Synthesis of glycoprotein N-chain core fragment GlcNAcβ1-4(Fucα1-6)GlcNAc

Synthesis of glycoprotein N-chain core fragment GlcNAcβ1-4(Fucα1-6)GlcNAc

Galina Valentinovna Pazynina 1
Galina Valentinovna Pazynina
Svetlana Vladimirovna Tsygankova 1
Svetlana Vladimirovna Tsygankova
Published 2015-07-08
CommunicationVolume 25, Issue 4, 250-251
2
Share
Cite this
GOST
 | 
Cite this
GOST Copy
Pazynina G. V., Tsygankova S. V., Bovin N. V. Synthesis of glycoprotein N-chain core fragment GlcNAcβ1-4(Fucα1-6)GlcNAc // Mendeleev Communications. 2015. Vol. 25. No. 4. pp. 250-251.
GOST all authors (up to 50) Copy
Pazynina G. V., Tsygankova S. V., Bovin N. V. Synthesis of glycoprotein N-chain core fragment GlcNAcβ1-4(Fucα1-6)GlcNAc // Mendeleev Communications. 2015. Vol. 25. No. 4. pp. 250-251.
RIS
 | 
Cite this
RIS Copy
TY - JOUR
DO - 10.1016/j.mencom.2015.07.004
UR - https://mendcomm.colab.ws/publications/10.1016/j.mencom.2015.07.004
TI - Synthesis of glycoprotein N-chain core fragment GlcNAcβ1-4(Fucα1-6)GlcNAc
T2 - Mendeleev Communications
AU - Pazynina, Galina Valentinovna
AU - Tsygankova, Svetlana Vladimirovna
AU - Bovin, Nicolai Vladimirovich
PY - 2015
DA - 2015/07/08
PB - Mendeleev Communications
SP - 250-251
IS - 4
VL - 25
ER -
BibTex
 | 
Cite this
BibTex (up to 50 authors) Copy
@article{2015_Pazynina,
author = {Galina Valentinovna Pazynina and Svetlana Vladimirovna Tsygankova and Nicolai Vladimirovich Bovin},
title = {Synthesis of glycoprotein N-chain core fragment GlcNAcβ1-4(Fucα1-6)GlcNAc},
journal = {Mendeleev Communications},
year = {2015},
volume = {25},
publisher = {Mendeleev Communications},
month = {Jul},
url = {https://mendcomm.colab.ws/publications/10.1016/j.mencom.2015.07.004},
number = {4},
pages = {250--251},
doi = {10.1016/j.mencom.2015.07.004}
}
MLA
Cite this
MLA Copy
Pazynina, Galina Valentinovna, et al. “Synthesis of glycoprotein N-chain core fragment GlcNAcβ1-4(Fucα1-6)GlcNAc.” Mendeleev Communications, vol. 25, no. 4, Jul. 2015, pp. 250-251. https://mendcomm.colab.ws/publications/10.1016/j.mencom.2015.07.004.

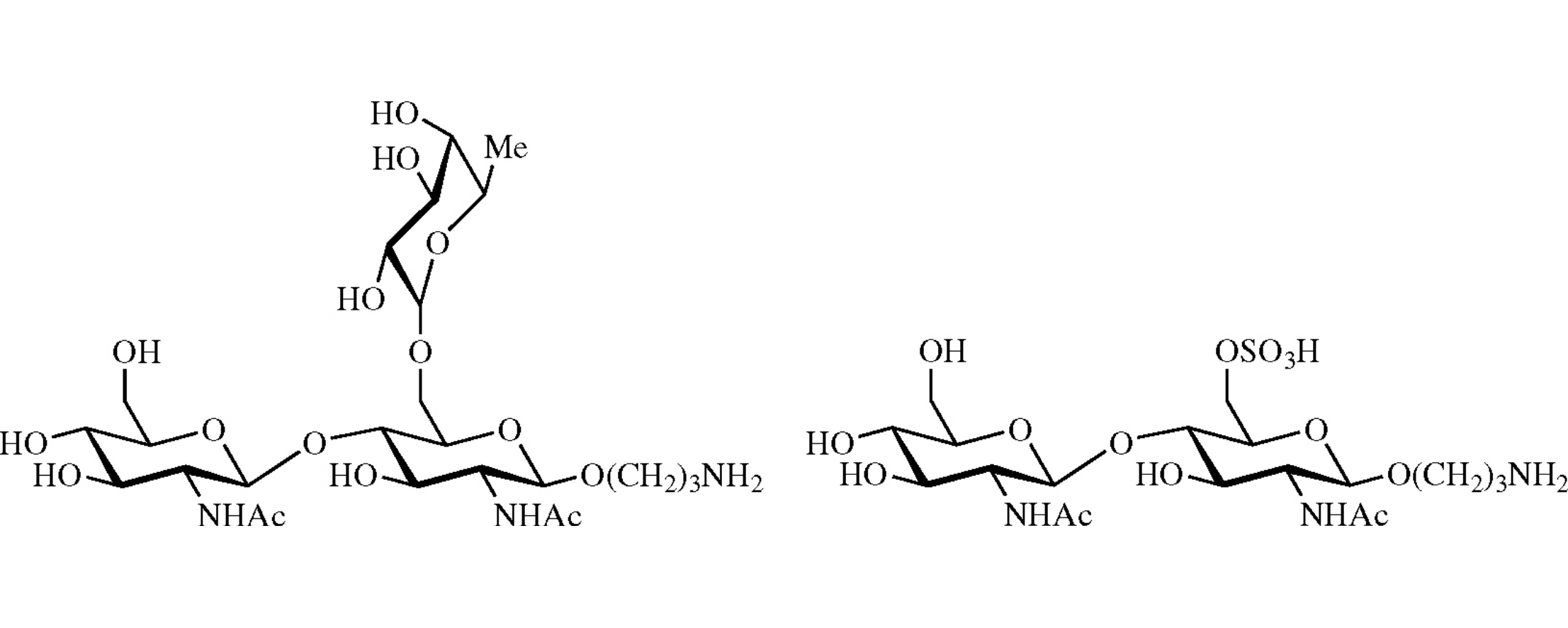
Abstract

Synthesis of Ac3GlcNAcβ(1-4)-3-Ac-6-BnGlcNTrocβ-O(CH2)3NHCOCF3, a convenient precursor for the preparation of 6-substituted derivatives of disaccharide GlcNAcβ1-4GlcNAc, is described. α-Fucosylation of this precursor after the removal of protection groups leads to the title trisaccharide, whereas O-sulfation results in 6-O-sulfated derivative of chitobiose.

References

1.
Essentials of Glycobiology, 2nd edn., eds. A. Varki, R.D. Cummings, J.D. Esko, H.H. Freeze, P. Stanley, C.R. Bertozzi, G.W. Hart and M. E. Etzler, Cold Spring Harbor Laboratory Press, Cold Spring Harbor, NY, 2009.
2.
Printed covalent glycan array for ligand profiling of diverse glycan binding proteins
Blixt O., Head S., Mondala T., Scanlan C., Huflejt M.E., Alvarez R., Bryan M.C., Fazio F., Calarese D., Stevens J., Razi N., Stevens D.J., Skehel J.J., van Die I., Burton D.R., et. al.
Proceedings of the National Academy of Sciences of the United States of America, 2004
3.
Anti-carbohydrate antibodies of normal sera: Findings, surprises and challenges
Huflejt M.E., Vuskovic M., Vasiliu D., Xu H., Obukhova P., Shilova N., Tuzikov A., Galanina O., Arun B., Lu K., Bovin N.
Molecular Immunology, 2009
4.
Printed glycan array: antibodies as probed in undiluted serum and effects of dilution
Shilova N., Navakouski M., Khasbiullina N., Blixt O., Bovin N.
Glycoconjugate Journal, 2012
5.
Repertoire of human natural anti-glycan immunoglobulins. Do we have auto-antibodies?
Bovin N., Obukhova P., Shilova N., Rapoport E., Popova I., Navakouski M., Unverzagt C., Vuskovic M., Huflejt M.
Biochimica et Biophysica Acta - General Subjects, 2012
6.
Pazynina G.V., Sablina M.A., Nasonov V.V., Pustovalova Y.E., Belyanchikov I.M., Bovin N.V.
Mendeleev Communications, 2010
7.
Chemical synthesis of 6(GlcNAc)- and 6(Gal)-O-sulfated SiaLeX tetrasaccharides in spacer-armed form
Pazynina G., Sablina M., Mayzel M., Nasonov V., Tuzikov A., Bovin N.
Glycobiology, 2009
8.
Korchagina E.Y., Ryzhov I.M., Byrgazov K.A., Popova I.S., Pokrovsky S.N., Bovin N.V.
Mendeleev Communications, 2009
9.
Pazynina G.V., Severov V.V., Maisel M.L., Belyanchikov I.M., Bovin N.V.
Mendeleev Communications, 2008
13.
Synthesis of N-acetyllactosamine-containing oligosaccharides, galectin ligands
Severov V.V., Belyanchikov I.M., Pazynina G.V., Bovin N.V.
Russian Journal of Bioorganic Chemistry, 2007
14.
The synthesis of oligosaccharides containing internal and terminal Galβ1-3GlcNAcβ fragments
Severov V.V., Pazynina G.V., Ovchinnikova T.V., Bovin N.V.
Russian Journal of Bioorganic Chemistry, 2015
15.
The synthesis of linear trilactosamine
Pazynina G.V., Severov V.V., Bovin N.V.
Russian Journal of Bioorganic Chemistry, 2008
16.
Artificial antigens and affinity sorbents with groups specificities Lea, Leb, and Led
Bovin N.V., Zemlyanukhina T.V., Chagiashvili T.N., Khorlin A.Y.
Chemistry of Natural Compounds, 1988
17.
Widely Applicable Deprotection Method of 2,2,2-Trichloroethoxycarbonyl (Troc) Group Using Tetrabutylammonium Fluoride
Huang C., Wang N., Fujiki K., Otsuka Y., Akamatsu M., Fujimoto Y., Fukase K.
Journal of Carbohydrate Chemistry, 2010