Home / Publications / New epoxy-amine oligomers with chromophore-containing dendritic fragments in the side chain and determination of their nonlinear-optical characteristics

New epoxy-amine oligomers with chromophore-containing dendritic fragments in the side chain and determination of their nonlinear-optical characteristics

Tatyana Anatol'evna Vakhonina 1
Tatyana Anatol'evna Vakhonina
Sirina Muzagidanovna Sharipova 1
Sirina Muzagidanovna Sharipova
Natalia Vladimirovna Ivanova 1
Natalia Vladimirovna Ivanova
Anvar Sharafulislamovich Mukhtarov 1, 2
Anvar Sharafulislamovich Mukhtarov
Maksim Aleksandrovich Smirnov 1
Maksim Aleksandrovich Smirnov
Marina Yur'evna Balakina 1
Marina Yur'evna Balakina
Published 2015-03-06
CommunicationVolume 25, Issue 2, 101-102
9
Share
Cite this
GOST
 | 
Cite this
GOST Copy
Vakhonina T. A. et al. New epoxy-amine oligomers with chromophore-containing dendritic fragments in the side chain and determination of their nonlinear-optical characteristics // Mendeleev Communications. 2015. Vol. 25. No. 2. pp. 101-102.
GOST all authors (up to 50) Copy
Vakhonina T. A., Sharipova S. M., Ivanova N. V., Mukhtarov A. S., Smirnov M. A., Balakina M. Y., Sinyashin O. G. New epoxy-amine oligomers with chromophore-containing dendritic fragments in the side chain and determination of their nonlinear-optical characteristics // Mendeleev Communications. 2015. Vol. 25. No. 2. pp. 101-102.
RIS
 | 
Cite this
RIS Copy
TY - JOUR
DO - 10.1016/j.mencom.2015.03.006
UR - https://mendcomm.colab.ws/publications/10.1016/j.mencom.2015.03.006
TI - New epoxy-amine oligomers with chromophore-containing dendritic fragments in the side chain and determination of their nonlinear-optical characteristics
T2 - Mendeleev Communications
AU - Vakhonina, Tatyana Anatol'evna
AU - Sharipova, Sirina Muzagidanovna
AU - Ivanova, Natalia Vladimirovna
AU - Mukhtarov, Anvar Sharafulislamovich
AU - Smirnov, Maksim Aleksandrovich
AU - Balakina, Marina Yur'evna
AU - Sinyashin, Oleg Gerol'dovich
PY - 2015
DA - 2015/03/06
PB - Mendeleev Communications
SP - 101-102
IS - 2
VL - 25
ER -
BibTex
 | 
Cite this
BibTex (up to 50 authors) Copy
@article{2015_Vakhonina,
author = {Tatyana Anatol'evna Vakhonina and Sirina Muzagidanovna Sharipova and Natalia Vladimirovna Ivanova and Anvar Sharafulislamovich Mukhtarov and Maksim Aleksandrovich Smirnov and Marina Yur'evna Balakina and Oleg Gerol'dovich Sinyashin},
title = {New epoxy-amine oligomers with chromophore-containing dendritic fragments in the side chain and determination of their nonlinear-optical characteristics},
journal = {Mendeleev Communications},
year = {2015},
volume = {25},
publisher = {Mendeleev Communications},
month = {Mar},
url = {https://mendcomm.colab.ws/publications/10.1016/j.mencom.2015.03.006},
number = {2},
pages = {101--102},
doi = {10.1016/j.mencom.2015.03.006}
}
MLA
Cite this
MLA Copy
Vakhonina, Tatyana Anatol'evna, et al. “New epoxy-amine oligomers with chromophore-containing dendritic fragments in the side chain and determination of their nonlinear-optical characteristics.” Mendeleev Communications, vol. 25, no. 2, Mar. 2015, pp. 101-102. https://mendcomm.colab.ws/publications/10.1016/j.mencom.2015.03.006.

Abstract

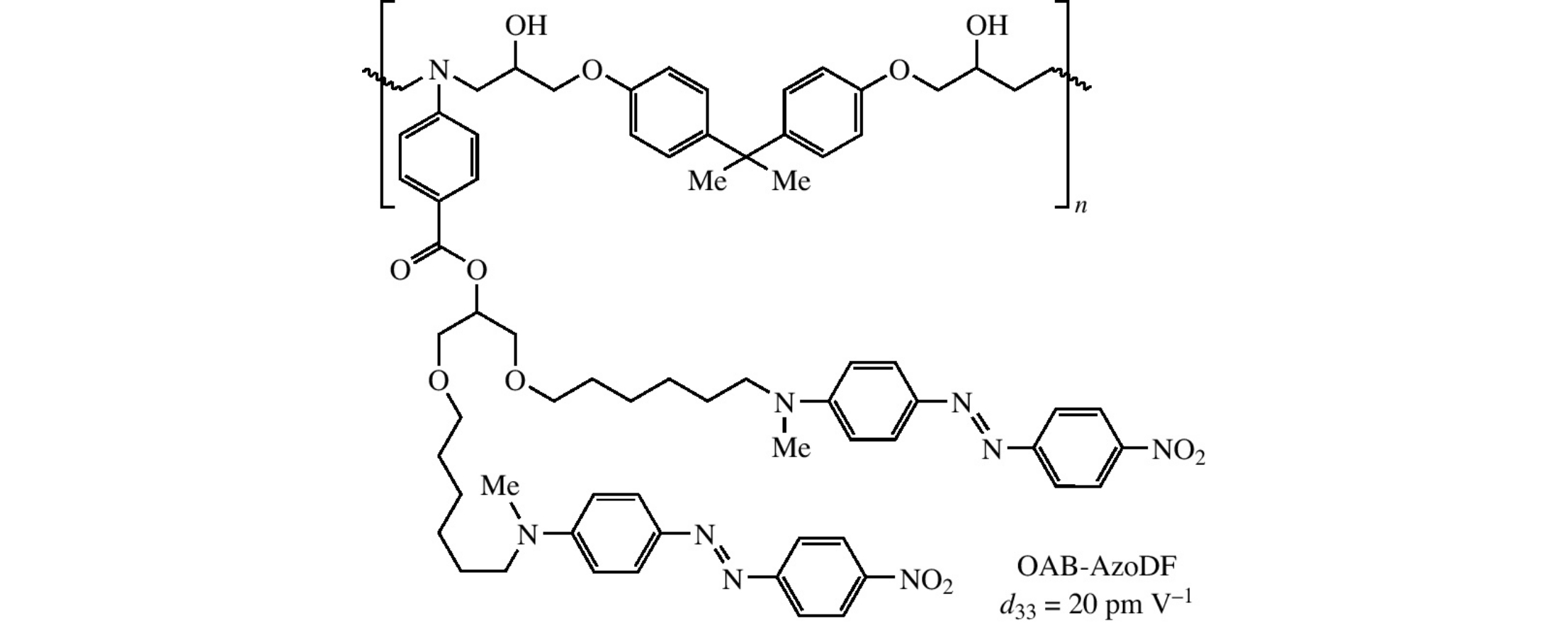
New epoxy-amine oligomers with azochromophore-containing dendritic fragments in the side-chain are synthesized and characterized; nonlinear-optical coefficients of the obtained oligomers are equal to 20 pm V–1.

References

1.
Second-order nonlinearity in poled-polymer systems
Burland D.M., Miller R.D., Walsh C.A.
Chemical Reviews, 1994
2.
Recent progress in second-order nonlinear optical polymers and dendrimers
Cho M.J., Choi D.H., Sullivan P.A., Akelaitis A.J., Dalton L.R.
Progress in Polymer Science, 2008
3.
Intermolecular Coupling Enhancement of the Molecular Hyperpolarizability in Multichromophoric Dipolar Dendrons
Yokoyama S., Nakahama T., Otomo A., Mashiko S.
Journal of the American Chemical Society, 2000
4.
Theory-Inspired Development of Organic Electro-optic Materials
Sullivan P.A., Dalton L.R.
Accounts of Chemical Research, 2009
7.
10.1016/j.mencom.2015.03.006_bib0035
Nazmieva
Butlerovskie Soobshcheniya, 2013
8.
Vakhonina T.A., Sharipova S.M., Ivanova N.V., Fominykh O.D., Smirnov N.N., Yakimansky A.V., Balakina M.Y., Sinyashin O.G.
Mendeleev Communications, 2011
9.
Vakhonina T.A., Ivanova N.V., Smirnov N.N., Yakimansky A.V., Balakina M.Y., Sinyashin O.G.
Mendeleev Communications, 2014
10.
Second-harmonic generation and absorption studies of polymer–dye films oriented by corona-onset poling at elevated temperatures
Mortazavi M.A., Higgins B.G., Dienes A., Knoesen A., Kowel S.T.
Journal of the Optical Society of America B: Optical Physics, 1989