Home / Publications / Synthesis of benzo[de]isoquino[1,8-gh]quinolines and light-induced electron transfer in their composites with conductive polymer poly(3-hexylthiophene)

Synthesis of benzo[de]isoquino[1,8-gh]quinolines and light-induced electron transfer in their composites with conductive polymer poly(3-hexylthiophene)

Denis Sergeevich Baranov 1, 2
Denis Sergeevich Baranov
Alexander G Popov 1, 2
Alexander G Popov
Mikhail Nikolaevich Uvarov 1
Mikhail Nikolaevich Uvarov
Leonid Viktorovich Kulik 1, 2
Leonid Viktorovich Kulik
Published 2014-10-30
CommunicationVolume 24, Issue 6, 383-385
13
Share
Cite this
GOST
 | 
Cite this
GOST Copy
Baranov D. S. et al. Synthesis of benzo[de]isoquino[1,8-gh]quinolines and light-induced electron transfer in their composites with conductive polymer poly(3-hexylthiophene) // Mendeleev Communications. 2014. Vol. 24. No. 6. pp. 383-385.
GOST all authors (up to 50) Copy
Baranov D. S., Popov A. G., Uvarov M. N., Kulik L. V. Synthesis of benzo[de]isoquino[1,8-gh]quinolines and light-induced electron transfer in their composites with conductive polymer poly(3-hexylthiophene) // Mendeleev Communications. 2014. Vol. 24. No. 6. pp. 383-385.
RIS
 | 
Cite this
RIS Copy
TY - JOUR
DO - 10.1016/j.mencom.2014.11.026
UR - https://mendcomm.colab.ws/publications/10.1016/j.mencom.2014.11.026
TI - Synthesis of benzo[de]isoquino[1,8-gh]quinolines and light-induced electron transfer in their composites with conductive polymer poly(3-hexylthiophene)
T2 - Mendeleev Communications
AU - Baranov, Denis Sergeevich
AU - Popov, Alexander G
AU - Uvarov, Mikhail Nikolaevich
AU - Kulik, Leonid Viktorovich
PY - 2014
DA - 2014/10/30
PB - Mendeleev Communications
SP - 383-385
IS - 6
VL - 24
ER -
BibTex
 | 
Cite this
BibTex (up to 50 authors) Copy
@article{2014_Baranov,
author = {Denis Sergeevich Baranov and Alexander G Popov and Mikhail Nikolaevich Uvarov and Leonid Viktorovich Kulik},
title = {Synthesis of benzo[de]isoquino[1,8-gh]quinolines and light-induced electron transfer in their composites with conductive polymer poly(3-hexylthiophene)},
journal = {Mendeleev Communications},
year = {2014},
volume = {24},
publisher = {Mendeleev Communications},
month = {Oct},
url = {https://mendcomm.colab.ws/publications/10.1016/j.mencom.2014.11.026},
number = {6},
pages = {383--385},
doi = {10.1016/j.mencom.2014.11.026}
}
MLA
Cite this
MLA Copy
Baranov, Denis Sergeevich, et al. “Synthesis of benzo[de]isoquino[1,8-gh]quinolines and light-induced electron transfer in their composites with conductive polymer poly(3-hexylthiophene).” Mendeleev Communications, vol. 24, no. 6, Oct. 2014, pp. 383-385. https://mendcomm.colab.ws/publications/10.1016/j.mencom.2014.11.026.

Abstract

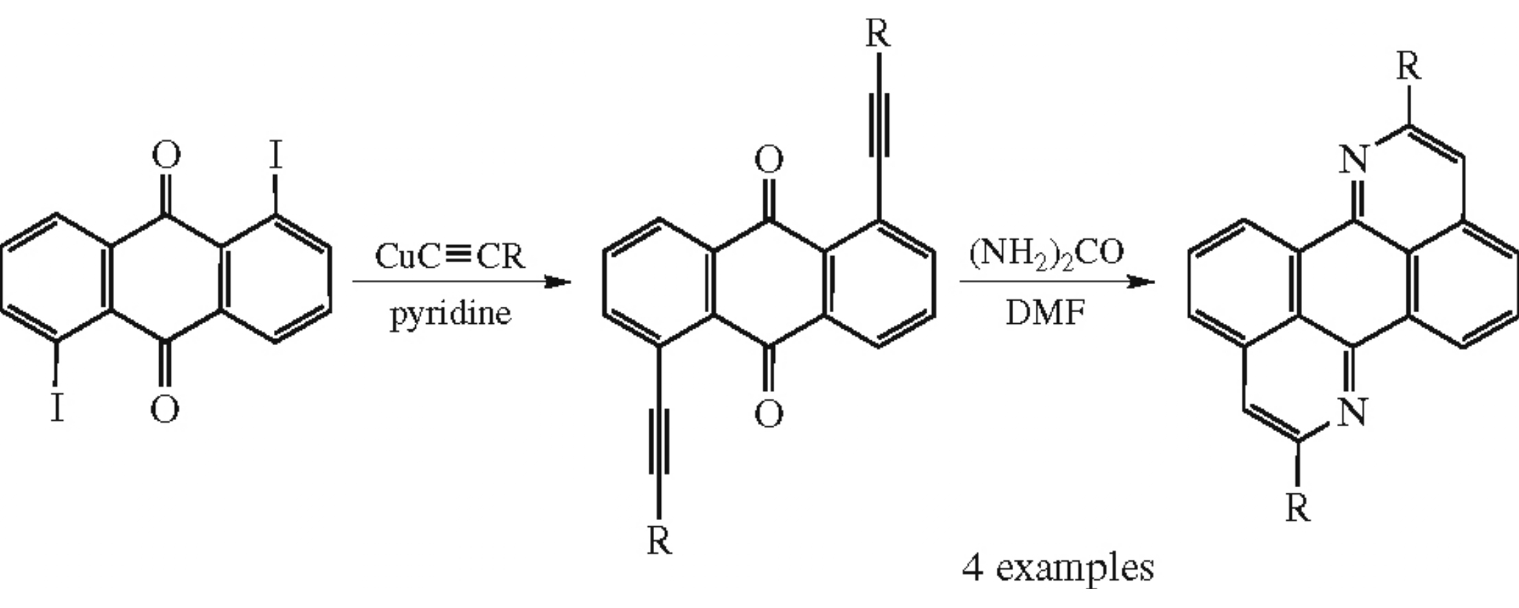
Benzo[de]isoquino[1,8-gh]quinolines were prepared by the reaction between 1,5-diethynyl-9,10-anthraquinones and urea in DMF. Light-induced electron transfer from regioregular poly(3-hexylthiophene) to the synthesized molecules was detected by an EPR spectroscopy technique.

References

1.
Organic Photovoltaics: Concepts and Realization, eds. C. J. Brabec, V. Dyakonov, J. Parisi and N. S. Sariciftci, Springer, Berlin, 2010.
2.
Rational design on n-type organic materials for high performance organic photovoltaics
4.
Mumyatov A.V., Leshanskaya L.I., Anokhin D.V., Dremova N.N., Troshin P.A.
Mendeleev Communications, 2014
6.
317. Extrusion of sulphur. Part III. Polycyclic 1 : 4-thiazepines
Galt R.H., Loudon J.D., Sloan A.D.
Journal of the Chemical Society (Resumed), 1958
7.
Synthese von 1,7‐Diazaperylen
Naumann C., Langhals H.
Chemische Berichte, 1990
8.
H. Langhals and C. Naumann, German Patent 4005056, 1991.
9.
F. Bienewald, B. Schmidhalter, U. Berens, H.J. Kirner, US Patent WO 2006/120143, 2006.
10.
F. Bienewald, B. Schmidhalter, U. Berens and H. J. Kirner, US Patent US 2009/101890, 2009.
12.
Acetylenic derivatives of anthraquinone
Moroz A.A., Piskunov A.V., Shvartsberg M.S.
Russian Chemical Bulletin, 1981
13.
Structural Conversion and Spin Separation in Bis(ferrocenylethynyl)anthraquinones Triggered by Proton-Coupled Intramolecular Electron Transfer
Murata M., Yamada M., Fujita T., Kojima K., Kurihara M., Kubo K., Kobayashi Y., Nishihara H.
Journal of the American Chemical Society, 2001
14.
Control Over Charge Separation in Phthalocyanine−Anthraquinone Conjugates as a Function of the Aggregation Status
Gouloumis A., González-Rodríguez D., Vázquez P., Torres T., Liu S., Echegoyen L., Ramey J., Hug G.L., Guldi D.M.
Journal of the American Chemical Society, 2006
15.
Synthesis, Characterization, and Electrochemical Properties of Diruthenium Complexes Bridged by Anthraquinones
Li F., Cheng J., Chai X., Jin S., Wu X., Yu G., Liu S.H., Chen G.Z.
Organometallics, 2011
16.
Synthesis and properties of new 9,10-anthraquinone derived compounds for molecular electronics
Seidel N., Hahn T., Liebing S., Seichter W., Kortus J., Weber E.
New Journal of Chemistry, 2013
17.
10.1016/j.mencom.2014.11.026_bib0040
Castro
J. Org. Chem., 1963
18.
Über Anthrachinon‐1.5‐dicarbonsäure und einige einfache und gemischte Anthrachinon‐carbonsäure‐anhydride
Scholl R., Hass S., Meyer H.K.
Berichte der deutschen chemischen Gesellschaft (A and B Series), 1929
19.
Poly(3-hexylthiophene): synthetic methodologies and properties in bulk heterojunction solar cells
Marrocchi A., Lanari D., Facchetti A., Vaccaro L.
Energy and Environmental Science, 2012
21.
Photoinduced Electron Transfer from a Conducting Polymer to Buckminsterfullerene
23.
Electron Spin Resonance of Field-Induced Polarons in Regioregular Poly(3-alkylthiophene) Using Metal–Insulator–Semiconductor Diode Structures
Marumoto K., Muramatsu Y., Nagano Y., Iwata T., Ukai S., Ito H., Kuroda S., Shimoi Y., Abe S.
Journal of the Physical Society of Japan, 2005