Home / Publications / Synthesis of trifluoromethylated [1,4]diazepines from 1,1,1-trifluoroalk-3-yn-2-ones

Synthesis of trifluoromethylated [1,4]diazepines from 1,1,1-trifluoroalk-3-yn-2-ones

23
Share
Cite this
GOST
 | 
Cite this
GOST Copy
Romanov A. R. et al. Synthesis of trifluoromethylated [1,4]diazepines from 1,1,1-trifluoroalk-3-yn-2-ones // Mendeleev Communications. 2014. Vol. 24. No. 5. pp. 269-271.
GOST all authors (up to 50) Copy
Romanov A. R., Rulev A. Y., Ushakov I. A., Muzalevskiy V. M., Nenajdenko V. G. Synthesis of trifluoromethylated [1,4]diazepines from 1,1,1-trifluoroalk-3-yn-2-ones // Mendeleev Communications. 2014. Vol. 24. No. 5. pp. 269-271.
RIS
 | 
Cite this
RIS Copy
TY - JOUR
DO - 10.1016/j.mencom.2014.09.007
UR - https://mendcomm.colab.ws/publications/10.1016/j.mencom.2014.09.007
TI - Synthesis of trifluoromethylated [1,4]diazepines from 1,1,1-trifluoroalk-3-yn-2-ones
T2 - Mendeleev Communications
AU - Romanov, Aleksey Radionovich
AU - Rulev, Alexander Yur'evich
AU - Ushakov, Igor Alekseevich
AU - Muzalevskiy, Vasilii Mikhailovich
AU - Nenajdenko, Valentin Georgievich
PY - 2014
DA - 2014/09/04
PB - Mendeleev Communications
SP - 269-271
IS - 5
VL - 24
ER -
BibTex
 | 
Cite this
BibTex (up to 50 authors) Copy
@article{2014_Romanov,
author = {Aleksey Radionovich Romanov and Alexander Yur'evich Rulev and Igor Alekseevich Ushakov and Vasilii Mikhailovich Muzalevskiy and Valentin Georgievich Nenajdenko},
title = {Synthesis of trifluoromethylated [1,4]diazepines from 1,1,1-trifluoroalk-3-yn-2-ones},
journal = {Mendeleev Communications},
year = {2014},
volume = {24},
publisher = {Mendeleev Communications},
month = {Sep},
url = {https://mendcomm.colab.ws/publications/10.1016/j.mencom.2014.09.007},
number = {5},
pages = {269--271},
doi = {10.1016/j.mencom.2014.09.007}
}
MLA
Cite this
MLA Copy
Romanov, Aleksey Radionovich, et al. “Synthesis of trifluoromethylated [1,4]diazepines from 1,1,1-trifluoroalk-3-yn-2-ones.” Mendeleev Communications, vol. 24, no. 5, Sep. 2014, pp. 269-271. https://mendcomm.colab.ws/publications/10.1016/j.mencom.2014.09.007.

Abstract

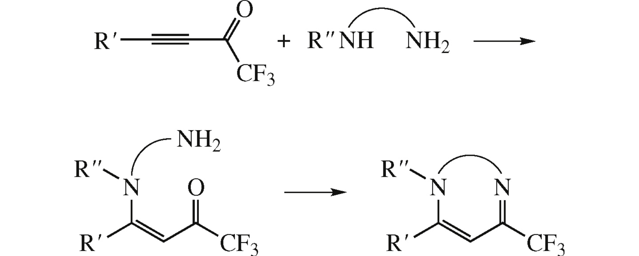
Reaction of 1,1,1-trifluoroalk-3-yn-2-ones with 1,2-diamines affords trifluoromethylated [1,4]diazepines.

References

1.
Synthesis and Biological Evaluation of the 1,5-Diarylpyrazole Class of Cyclooxygenase-2 Inhibitors:  Identification of 4-[5-(4-Methylphenyl)-3- (trifluoromethyl)-1H-pyrazol-1-yl]benzenesulfonamide (SC-58635, Celecoxib)
Penning T.D., Talley J.J., Bertenshaw S.R., Carter J.S., Collins P.W., Docter S., Graneto M.J., Lee L.F., Malecha J.W., Miyashiro J.M., Rogers R.S., Rogier D.J., Yu S.S., Anderson G.D., Burton E.G., et. al.
Journal of Medicinal Chemistry, 1997
2.
10.1016/j.mencom.2014.09.007_sbref0005b
Schutz
Heidelberg, 1982
3.
10.1016/j.mencom.2014.09.007_sbref0005c
Randall
1973
4.
Novel 1,5-Benzodiazepines as CCK-B Ligands. Effect of Aryl-Carbamic Substituents at the C-3 Position Together with Halogen Substitution on the Benzo-Fused Ring
Tranquillini M.E., Cassarà P.G., Corsi M., Curotto G., Donati D., Finizia G., Pentassuglia G., Polinelli S., Tarzia G., Ursini A., van Amsterdam F.T.
Archiv der Pharmazie, 1997
7.
Inhibition of HIV-1 Replication by a Nonnucleoside Reverse Transcriptase Inhibitor
Merluzzi V.J., Hargrave K.D., Labadia M., Grozinger K., Skoog M., Wu J.C., Shih C., Eckner K., Hattox S., Adams J., Rosenthal A.S., Faanes R., Eckner R.J., Koup R.A., Sullivan J.L., et. al.
Science, 1990
8.
Ultrasound enhanced synthesis of 1,5-benzodiazepinic heterocyclic rings
9.
New syntheses and spectral properties of diazepine fluorescent dyes with non-planar molecular structure
Horiguchi E., Shirai K., Jaung J., Furusyo M., Takagi K., Matsuoka M.
Dyes and Pigments, 2001
10.
A New Chiral Schiff Base with Ferroelectric Property
LI X., QU Z., XIONG R.
Chinese Journal of Chemistry, 2008
11.
Modern synthetic methods for fluorine-substituted target molecules.
Shimizu M., Hiyama T.
Angewandte Chemie - International Edition, 2005
14.
(a) V. I. Filyakova, N.S. Boltacheva, D.V. Sevenard and V. N. Charushin, Russ. Chem. Bull., Int. Ed., 2010, 59, 1791 (Izv. Akad. Nauk, Ser. Khim., 2010, 1744); (b) M. Narsaiah, R. Rao, R. Reddy, S. Rao and V. R. Yadla, J. Fluorine Chem., 2003, 124, 203; (c) D. L. Chizhov, M.G. Pervova, M.A. Samorukova, E.F. Khmara, V.I. Filyakova, V.I. Saloutin and V. N. Charushin, J. Fluorine Chem., 2011, 132, 394; (d) S. T. Purrington, B. Knight and R. Bereman, Inorg. Chim. Acta, 1994, 223, 187.
15.
Reaction of α-Bromo Enones with 1,2-Diamines. Cascade Assembly of 3-(Trifluoromethyl)piperazin-2-ones via Rearrangement
Rulev A.Y., Muzalevskiy V.M., Kondrashov E.V., Ushakov I.A., Romanov A.R., Khrustalev V.N., Nenajdenko V.G.
Organic Letters, 2013
19.
Intramolecular hydrogen bond in the push–pull CF3-aminoenones: DFT and FTIR study, NBO analysis
Chipanina N.N., Oznobikhina L.P., Aksamentova T.N., Romanov A.R., Rulev A.Y.
Tetrahedron, 2014