Home / Publications / Syntheses of spiroindole melatonin analogues via 2-(indolin-3-ylidene)acetonitrile cycloadditions

Syntheses of spiroindole melatonin analogues via 2-(indolin-3-ylidene)acetonitrile cycloadditions

Natalia Alexandrovna Lozinskaya
Maria Sergeevna Volkova 1
Maria Sergeevna Volkova
Mikhail Yurievitch Seliverstov 1
Mikhail Yurievitch Seliverstov
Victor Vyacheslavovich Temnov 1
Victor Vyacheslavovich Temnov
Sergey Evgen'evich Sosonyuk 1
Sergey Evgen'evich Sosonyuk
Marina Valentinovna Proskurnina 1
Marina Valentinovna Proskurnina
Nikolai Serafimovich Zefirov 1
Nikolai Serafimovich Zefirov
Published 2014-09-04
CommunicationVolume 24, Issue 5, 260-261
9
Share
Cite this
GOST
 | 
Cite this
GOST Copy
Lozinskaya N. A. et al. Syntheses of spiroindole melatonin analogues via 2-(indolin-3-ylidene)acetonitrile cycloadditions // Mendeleev Communications. 2014. Vol. 24. No. 5. pp. 260-261.
GOST all authors (up to 50) Copy
Lozinskaya N. A., Volkova M. S., Seliverstov M. Y., Temnov V. V., Sosonyuk S. E., Proskurnina M. V., Zefirov N. S. Syntheses of spiroindole melatonin analogues via 2-(indolin-3-ylidene)acetonitrile cycloadditions // Mendeleev Communications. 2014. Vol. 24. No. 5. pp. 260-261.
RIS
 | 
Cite this
RIS Copy
TY - JOUR
DO - 10.1016/j.mencom.2014.09.003
UR - https://mendcomm.colab.ws/publications/10.1016/j.mencom.2014.09.003
TI - Syntheses of spiroindole melatonin analogues via 2-(indolin-3-ylidene)acetonitrile cycloadditions
T2 - Mendeleev Communications
AU - Lozinskaya, Natalia Alexandrovna
AU - Volkova, Maria Sergeevna
AU - Seliverstov, Mikhail Yurievitch
AU - Temnov, Victor Vyacheslavovich
AU - Sosonyuk, Sergey Evgen'evich
AU - Proskurnina, Marina Valentinovna
AU - Zefirov, Nikolai Serafimovich
PY - 2014
DA - 2014/09/04
PB - Mendeleev Communications
SP - 260-261
IS - 5
VL - 24
ER -
BibTex
 | 
Cite this
BibTex (up to 50 authors) Copy
@article{2014_Lozinskaya,
author = {Natalia Alexandrovna Lozinskaya and Maria Sergeevna Volkova and Mikhail Yurievitch Seliverstov and Victor Vyacheslavovich Temnov and Sergey Evgen'evich Sosonyuk and Marina Valentinovna Proskurnina and Nikolai Serafimovich Zefirov},
title = {Syntheses of spiroindole melatonin analogues via 2-(indolin-3-ylidene)acetonitrile cycloadditions},
journal = {Mendeleev Communications},
year = {2014},
volume = {24},
publisher = {Mendeleev Communications},
month = {Sep},
url = {https://mendcomm.colab.ws/publications/10.1016/j.mencom.2014.09.003},
number = {5},
pages = {260--261},
doi = {10.1016/j.mencom.2014.09.003}
}
MLA
Cite this
MLA Copy
Lozinskaya, Natalia Alexandrovna, et al. “Syntheses of spiroindole melatonin analogues via 2-(indolin-3-ylidene)acetonitrile cycloadditions.” Mendeleev Communications, vol. 24, no. 5, Sep. 2014, pp. 260-261. https://mendcomm.colab.ws/publications/10.1016/j.mencom.2014.09.003.

Abstract

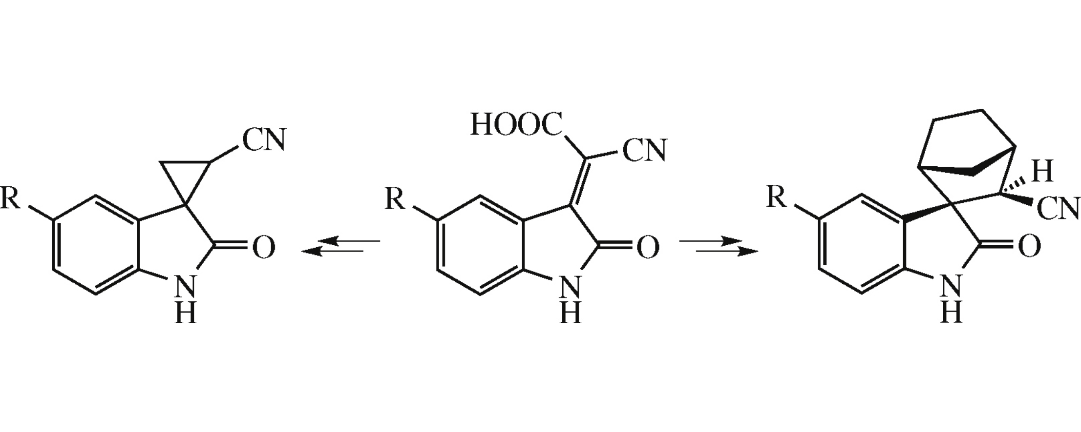
2-(2-Oxo-1,2-dihydro-3H-indol-3-ylidene)acetonitriles were subjected to cycloaddition reactions at the double bond affording spiroindole melatonin analogues.

References

2.
2-(Substituted phenyl)amino analogs of 1-methoxyspirobrassinol methyl ether: Synthesis and anticancer activity
Kutschy P., Salayová A., Čurillová Z., Kožár T., Mezencev R., Mojžiš J., Pilátová M., Balentová E., Pazdera P., Sabol M., Zburová M.
Bioorganic and Medicinal Chemistry, 2009
3.
Synthesis and structure based optimization of novel Akt inhibitors
Lippa B., Pan G., Corbett M., Li C., Kauffman G.S., Pandit J., Robinson S., Wei L., Kozina E., Marr E.S., Borzillo G., Knauth E., Barbacci-Tobin E.G., Vincent P., Troutman M., et. al.
Bioorganic and Medicinal Chemistry Letters, 2008
4.
H. Sch. Eidam and P. A. Haile, US Patent 2008/0318990 A1, 2008.
5.
C-alkylated spiro[benzofuran-3(2H),4'-1'-methyl-piperidine-7-ols] as potent opioids: a conformation-activity study.
Tsai Y., Liou J., Liao R., Cheng C., Tao P.
Bioorganic and Medicinal Chemistry Letters, 1998
6.
Dihydropyridazinone cardiotonics: synthesis and inotropic activity of 5'-(1,4,5,6-tetrahydro-6-oxo-3-pyridazinyl)-spiro[cycloalkane-1,3'-[3H]indol]-2'(1'H)-ones
Robertson D.W., Krushinski J.H., Pollock G.D., Wilson H., Kauffman R.F., Hayes J.S.
Journal of Medicinal Chemistry, 1987
7.
Recent Advances in Melatonin Receptor Ligands
8.
Both physiological and pharmacological levels of melatonin reduce DNA adduct formation induced by the carcinogen safrole
Tan D., Reiter R.J., Chen L., Poeggeler B., Manchester L.C., Barlow-Walden L.R.
Carcinogenesis, 1994
9.
An assessment of the antioxidant and the antiamyloidogenic properties of melatonin: implications for Alzheimer's disease
Pappolla M.A., Chyan Y.-., Poeggeler B., Frangione B., Wilson G., Ghiso J., Reiter R.J.
Journal of Neural Transmission, 2000
10.
Melatonin Prevents Death of Neuroblastoma Cells Exposed to the Alzheimer Amyloid Peptide
Pappolla M.A., Sos M., Omar R.A., Bick R.J., Hickson-Bick D.L., Reiter R.J., Efthimiopoulos S., Robakis N.K.
Journal of Neuroscience, 1997
11.
Melatonin and circadian control in mammals
Armstrong S.M.
Cellular and Molecular Life Sciences, 1989
12.
Melatonin and Circadian Rhythms
Kennaway D., Wright H.
Current Topics in Medicinal Chemistry, 2002
13.
Synthesis of a Novel Series of Tricyclic Indan Derivatives as Melatonin Receptor Agonists
Uchikawa O., Fukatsu K., Tokunoh R., Kawada M., Matsumoto K., Imai Y., Hinuma S., Kato K., Nishikawa H., Hirai K., Miyamoto M., Ohkawa S.
Journal of Medicinal Chemistry, 2002
14.
Conformationally Restrained Melatonin Analogues:  Synthesis, Binding Affinity for the Melatonin Receptor, Evaluation of the Biological Activity, and Molecular Modeling Study
Spadoni G., Balsamini C., Diamantini G., Di Giacomo B., Tarzia G., Mor M., Plazzi P.V., Rivara S., Lucini V., Nonno R., Pannacci M., Fraschini F., Stankov B.M.
Journal of Medicinal Chemistry, 1997
15.
16.
Pharmacological characterization of human recombinant melatonin mt1 and MT2 receptors
Browning C., Beresford I., Fraser N., Giles H.
British Journal of Pharmacology, 2000
18.
Enzymatic Chemistry of Cyclopropane, Epoxide, and Aziridine Biosynthesis
Thibodeaux C.J., Chang W., Liu H.
Chemical Reviews, 2011
20.
Twenty-five years of dimethylsulfoxonium ethylide (corey's reagent)
Gololobov Y.G., Nesmeyanov A.N., lysenko V.P., Boldeskul I.E.
Tetrahedron, 1987
21.
Stereoselective Cyclopropanation Reactions
Lebel H., Marcoux J., Molinaro C., Charette A.B.
Chemical Reviews, 2003
22.
Reactivity of oxoindole-.DELTA.3,.alpha.-acrylates toward diazoalkanes: an unusual ring expansion
23.
10.1016/j.mencom.2014.09.003_bib0115
Arndt
Org. Synth., 1943
24.
Simple Synthesis of Some 2-Substituted Melatonin Derivatives
Lozinskaya N., Sosonyuk S., Volkova M., Seliverstov M., Proskurnina M., Bachurin S., Zefirov N.
Synthesis, 2010