Home / Publications / New hybrid chitosan–silicone-containing glycerohydrogels

New hybrid chitosan–silicone-containing glycerohydrogels

Elena Yuryevna Larchenko 1
Elena Yuryevna Larchenko
Elena Vladimirovna Shadrina 1
Elena Vladimirovna Shadrina
Tatyana Grigor'evna Khonina 1
Tatyana Grigor'evna Khonina
Oleg Nikolaevich Chupakhin 1
Oleg Nikolaevich Chupakhin
Published 2014-06-25
CommunicationVolume 24, Issue 4, 201-202
12
Share
Cite this
GOST
 | 
Cite this
GOST Copy
Larchenko E. Y. et al. New hybrid chitosan–silicone-containing glycerohydrogels // Mendeleev Communications. 2014. Vol. 24. No. 4. pp. 201-202.
GOST all authors (up to 50) Copy
Larchenko E. Y., Shadrina E. V., Khonina T. G., Chupakhin O. N. New hybrid chitosan–silicone-containing glycerohydrogels // Mendeleev Communications. 2014. Vol. 24. No. 4. pp. 201-202.
RIS
 | 
Cite this
RIS Copy
TY - JOUR
DO - 10.1016/j.mencom.2014.06.003
UR - https://mendcomm.colab.ws/publications/10.1016/j.mencom.2014.06.003
TI - New hybrid chitosan–silicone-containing glycerohydrogels
T2 - Mendeleev Communications
AU - Larchenko, Elena Yuryevna
AU - Shadrina, Elena Vladimirovna
AU - Khonina, Tatyana Grigor'evna
AU - Chupakhin, Oleg Nikolaevich
PY - 2014
DA - 2014/06/25
PB - Mendeleev Communications
SP - 201-202
IS - 4
VL - 24
ER -
BibTex
 | 
Cite this
BibTex (up to 50 authors) Copy
@article{2014_Larchenko,
author = {Elena Yuryevna Larchenko and Elena Vladimirovna Shadrina and Tatyana Grigor'evna Khonina and Oleg Nikolaevich Chupakhin},
title = {New hybrid chitosan–silicone-containing glycerohydrogels},
journal = {Mendeleev Communications},
year = {2014},
volume = {24},
publisher = {Mendeleev Communications},
month = {Jun},
url = {https://mendcomm.colab.ws/publications/10.1016/j.mencom.2014.06.003},
number = {4},
pages = {201--202},
doi = {10.1016/j.mencom.2014.06.003}
}
MLA
Cite this
MLA Copy
Larchenko, Elena Yuryevna, et al. “New hybrid chitosan–silicone-containing glycerohydrogels.” Mendeleev Communications, vol. 24, no. 4, Jun. 2014, pp. 201-202. https://mendcomm.colab.ws/publications/10.1016/j.mencom.2014.06.003.

Abstract

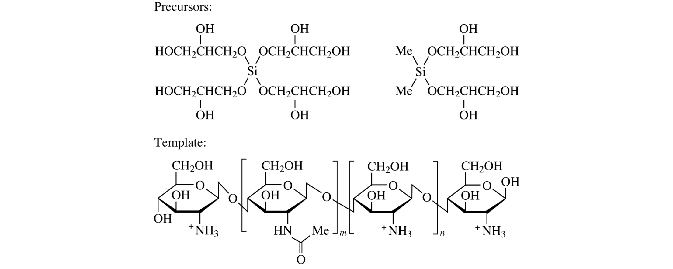
New biologically active hybrid chitosan–silicone-containing glycerohydrogels based on chitosan and silicon glycerolates were synthesized by a sol–gel method; the effect of silicon glycerolates and chitosan concentrations on the process of gel formation was evaluated.

References

1.
Nanostructural Organization of Naturally Occurring Composites—Part II: Silica-Chitin-Based Biocomposites
Ehrlich H., Janussen D., Simon P., Bazhenov V.V., Shapkin N.P., Erler C., Mertig M., Born R., Heinemann S., Hanke T., Worch H., Vournakis J.N.
Journal of Nanomaterials, 2008
3.
Biomimetic Silicification of Fibrous Chitin from Diatoms
Spinde K., Kammer M., Freyer K., Ehrlich H., Vournakis J.N., Brunner E.
Chemistry of Materials, 2011
4.
Preparation of chitin–silica composites by in vitro silicification of two-dimensional Ianthella basta demosponge chitinous scaffolds under modified Stöber conditions
Wysokowski M., Behm T., Born R., Bazhenov V.V., Meißner H., Richter G., Szwarc-Rzepka K., Makarova A., Vyalikh D., Schupp P., Jesionowski T., Ehrlich H.
Materials Science and Engineering C, 2013
5.
10.1016/j.mencom.2014.06.003_bib0025
Jayakumar
E-Polymers, 2006
6.
Sulfated chitin and chitosan as novel biomaterials
Jayakumar R., Nwe N., Tokura S., Tamura H.
International Journal of Biological Macromolecules, 2007
7.
Synthesis, characterization and bioactivity studies of novel β-chitin scaffolds for tissue-engineering applications
Maeda Y., Jayakumar R., Nagahama H., Furuike T., Tamura H.
International Journal of Biological Macromolecules, 2008
8.
Novel chitin/nanosilica composite scaffolds for bone tissue engineering applications
Madhumathi K., Sudheesh Kumar P.T., Kavya K.C., Furuike T., Tamura H., Nair S.V., Jayakumar R.
International Journal of Biological Macromolecules, 2009
9.
In vitro comparative hemostatic studies of chitin, chitosan, and their derivatives
Janvikul W., Uppanan P., Thavornyutikarn B., Krewraing J., Prateepasen R.
Journal of Applied Polymer Science, 2006
10.
A chitosan-templated monolithic siliceous mesoporous-macroporous material
Pedroni V., Schulz P.C., Gschaider de Ferreira M.E., Morini M.A.
Colloid and Polymer Science, 2000
11.
Membrane of hybrid chitosan–silica xerogel for guided bone regeneration
12.
T. Coradin, R. Brayner, C. Gautier, M. Hemadi, P.J. Lopez and J. Livage, in Biomineralization: from Paleontology to Materials Science, eds. J. L. Arias and M. S. Fernandez, Editorial Universitaria S.A., 2007, pp. 419-430.
14.
Gelling of otherwise nongelable polysaccharides
Shchipunov Y.A., Karpenko T.Y., Krekoten A.V., Postnova I.V.
Journal of Colloid and Interface Science, 2005
15.
Synthesis, toxicity, and percutaneous activity of silicon glycerolates and related hydrogels
Khonina T.G., Chupakhin O.N., Larionov L.P., Boyakovskaya T.G., Suvorov A.L., Shadrina E.V.
Pharmaceutical Chemistry Journal, 2008
16.
Mechanism of structural networking in hydrogels based on silicon and titanium glycerolates
Khonina T.G., Safronov A.P., Shadrina E.V., Ivanenko M.V., Suvorova A.I., Chupakhin O.N.
Journal of Colloid and Interface Science, 2012
17.
10.1016/j.mencom.2014.06.003_bib0085
Yu. Larchenko
Perspektivnye Materialy, 2011
18.
Synthesis of hydrogels based on silicon polyolates
Khonina T.G., Shadrina E.V., Boyko A.A., Chupakhin O.N., Larionov L.P., Volkov A.A., Burda V.D.
Russian Chemical Bulletin, 2010
19.
Bionanocomposites formed by in situ charged chitosan with clay
Shchipunov Y., Ivanova N., Silant'ev V.
Green Chemistry, 2009
20.
Shchipunov Y.A., Ivanova N.A., Sarin S.A.
Mendeleev Communications, 2009