Home / Publications / Regioselective synthesis of 2,8-disubstituted 1,5-diphenylglycolurils

Regioselective synthesis of 2,8-disubstituted 1,5-diphenylglycolurils

Vladimir Vladimirovich Baranov 1
Vladimir Vladimirovich Baranov
Maria Mikhailovna Antonova 1
Maria Mikhailovna Antonova
Natal'ya Georgievna Kolotyrkina 1
Natal'ya Georgievna Kolotyrkina
Igor Evgenievich Zanin 3
Igor Evgenievich Zanin
Angelina Nikolaevna Kravchenko 1
Angelina Nikolaevna Kravchenko
Nina Nikolaevna Makhova 1
Nina Nikolaevna Makhova
Published 2014-04-16
CommunicationVolume 24, Issue 3, 173-175
15
Share
Cite this
GOST
 | 
Cite this
GOST Copy
Baranov V. V. et al. Regioselective synthesis of 2,8-disubstituted 1,5-diphenylglycolurils // Mendeleev Communications. 2014. Vol. 24. No. 3. pp. 173-175.
GOST all authors (up to 50) Copy
Baranov V. V., Antonova M. M., Nelyubina Y. V., Kolotyrkina N. G., Zanin I. E., Kravchenko A. N., Makhova N. N. Regioselective synthesis of 2,8-disubstituted 1,5-diphenylglycolurils // Mendeleev Communications. 2014. Vol. 24. No. 3. pp. 173-175.
RIS
 | 
Cite this
RIS Copy
TY - JOUR
DO - 10.1016/j.mencom.2014.04.017
UR - https://mendcomm.colab.ws/publications/10.1016/j.mencom.2014.04.017
TI - Regioselective synthesis of 2,8-disubstituted 1,5-diphenylglycolurils
T2 - Mendeleev Communications
AU - Baranov, Vladimir Vladimirovich
AU - Antonova, Maria Mikhailovna
AU - Nelyubina, Yulia Vladimirovna
AU - Kolotyrkina, Natal'ya Georgievna
AU - Zanin, Igor Evgenievich
AU - Kravchenko, Angelina Nikolaevna
AU - Makhova, Nina Nikolaevna
PY - 2014
DA - 2014/04/16
PB - Mendeleev Communications
SP - 173-175
IS - 3
VL - 24
ER -
BibTex
 | 
Cite this
BibTex (up to 50 authors) Copy
@article{2014_Baranov,
author = {Vladimir Vladimirovich Baranov and Maria Mikhailovna Antonova and Yulia Vladimirovna Nelyubina and Natal'ya Georgievna Kolotyrkina and Igor Evgenievich Zanin and Angelina Nikolaevna Kravchenko and Nina Nikolaevna Makhova},
title = {Regioselective synthesis of 2,8-disubstituted 1,5-diphenylglycolurils},
journal = {Mendeleev Communications},
year = {2014},
volume = {24},
publisher = {Mendeleev Communications},
month = {Apr},
url = {https://mendcomm.colab.ws/publications/10.1016/j.mencom.2014.04.017},
number = {3},
pages = {173--175},
doi = {10.1016/j.mencom.2014.04.017}
}
MLA
Cite this
MLA Copy
Baranov, Vladimir Vladimirovich, et al. “Regioselective synthesis of 2,8-disubstituted 1,5-diphenylglycolurils.” Mendeleev Communications, vol. 24, no. 3, Apr. 2014, pp. 173-175. https://mendcomm.colab.ws/publications/10.1016/j.mencom.2014.04.017.

Abstract

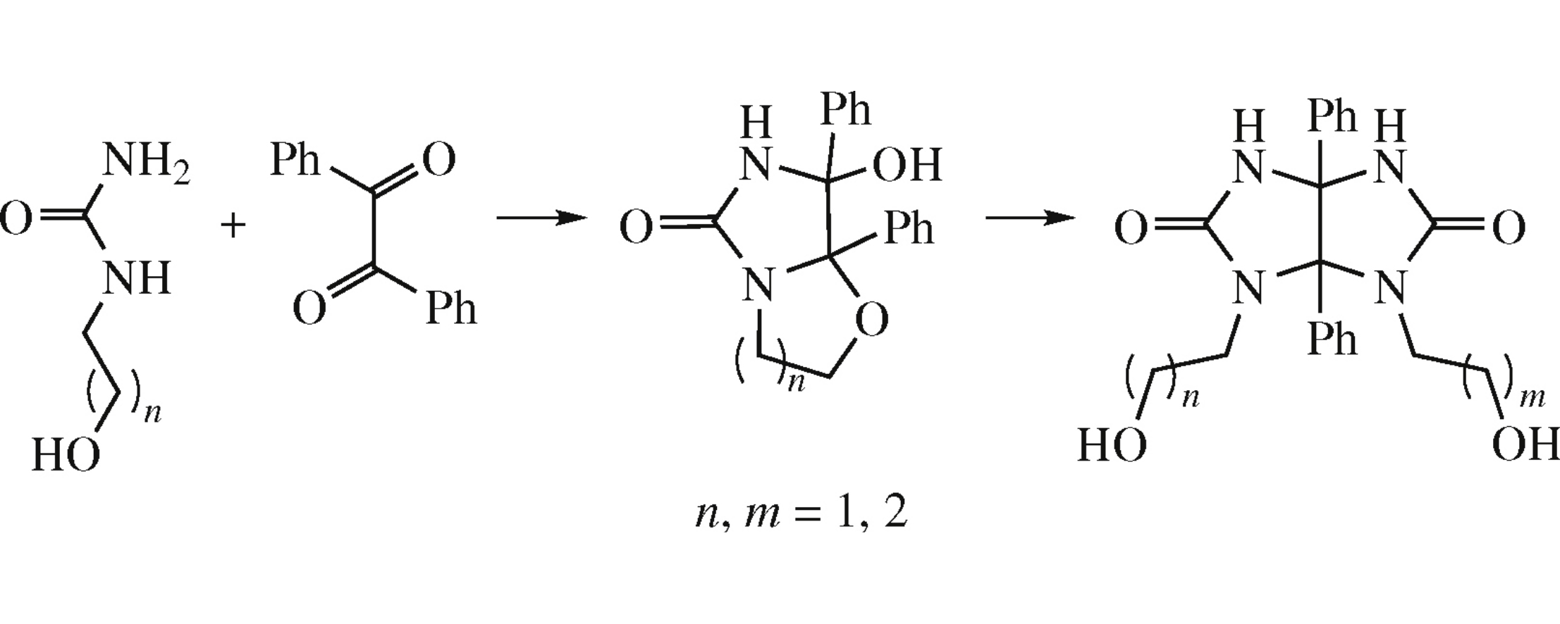
A new synthetic approach to 2,8-disubstituted 1,5-diphenylglycolurils is based on condensation of 1-(hydroxyalkyl)ureas (ureido alcohols) with tetrahydroimidazooxazolone and tetrahydroimidazooxazinone derivatives which were unexpectedly obtained by acid-catalyzed reaction of ureido alcohols with benzil. An X-ray diffraction study of the supramolecular organization of the obtained compounds revealed the chirality of the crystals of achiral glycoluril molecules.

References

1.
10.1016/j.mencom.2014.04.017_bib0005
Mashkovskii
Lekarstvennye sredstva (Drugs), Novaya Volna Moscow, 2013
2.
Ryzhkina I.S., Kiseleva Y.V., Mishina O.A., Timosheva A.P., Sergeeva S.Y., Kravchenko A.N., Konovalov A.I.
Mendeleev Communications, 2013
3.
Kravchenko A.N., Strelenko Y.A.
Mendeleev Communications, 2013
5.
Anion Receptors with Glycoluril Molecular Scaffold
Kang J., In S., Cho S.J.
Supramolecular Chemistry, 2007
6.
Molecular Encapsulation
Hof F., Craig S.L., Nuckolls C., Rebek Jr. J.
Angewandte Chemie - International Edition, 2002
7.
Bambus[n]urils: a New Family of Macrocyclic Anion Receptors
Havel V., Svec J., Wimmerova M., Dusek M., Pojarova M., Sindelar V.
Organic Letters, 2011
8.
Bambus[6]uril as a novel macrocyclic receptor for the cyanide anion
Toman P., Makrlík E., Vaňura P.
Chemical Physics Letters, 2012
9.
Glycoluril † as an efficient molecular template for intramolecular Claisen-type condensations
Sun S., Edwards L., Harrison P.
Journal of the Chemical Society Perkin Transactions 1, 1998
10.
Kinetics of glycoluril template-directed Claisen condensations and mechanistic implications
Rahimizadeh M., Kam K., Jenkins S.I., McDonald R.S., Harrison P.H.
Canadian Journal of Chemistry, 2002
11.
Multifunctionalized Glycolurils
Pryor K.E., Rebek J.
Organic Letters, 1999
12.
Reasons Why Aldehydes Do Not Generally Participate in Cucurbit[n]uril Forming Reactions
Ma D., Gargulakova Z., Zavalij P.Y., Sindelar V., Isaacs L.
Journal of Organic Chemistry, 2010
13.
Glycoluril Dimer Isomerization under Aqueous Acidic Conditions Related to Cucurbituril Formation
Stancl M., Gargulakova Z., Sindelar V.
Journal of Organic Chemistry, 2012
14.
The R 2 2 (8) Hydrogen-Bonded Supramolecular Synthon in Two Novel Glycoluril Derivatives
Cao L., Meng X., Ding J., Xi H., Wu A.
Journal of Chemical Crystallography, 2011
16.
New supramolecular organization for a glycoluril: chiral hydrogen-bonded ribbons
Johnson D.W., Palmer L.C., Hof F., Iovine P.M., Rebek J.
Chemical Communications, 2002
17.
Glycoluril ribbons tethered by complementary hydrogen bonds
Johnson D.W., Hof F., Palmer L.C., Martín T., Obst U., Rebek, Jr. J.
Chemical Communications, 2003
18.
10.1016/j.mencom.2014.04.017_bib0050
Lehn
Supramolecular Chemistry: Concepts and Perspectives,, 1995
25.
Condensation reactions of aryl acyloins with ureas in ethylene glycol
Kim Y.B., Kim C.S., Lee C.K.
Journal of Heterocyclic Chemistry, 1994
26.
Über die Einwirkung der Methyl-harnstoffe auf Benzil
Biltz H.
Berichte der deutschen chemischen Gesellschaft, 1908
27.
Synthesis of 2-monofunctionalized 2,4,6,8-tetraazabicyclo[3.3.0]octane-3,7- diones
Kravchenko A.N., Maksareva E.Y., Belyakov P.A., Sigachev A.S., Chegaev K.Y., Lyssenko K.A., Lebedev O.V., Makhova N.N.
Russian Chemical Bulletin, 2003