Home / Publications / Cascade synthesis of the first imidazo[4,5-e]-thiazolo[2,3-c][1,2,4]triazine derivative

Cascade synthesis of the first imidazo[4,5-e]-thiazolo[2,3-c][1,2,4]triazine derivative

8
Share
Cite this
GOST
 | 
Cite this
GOST Copy
Kravchenko A. N. et al. Cascade synthesis of the first imidazo[4,5-e]-thiazolo[2,3-c][1,2,4]triazine derivative // Mendeleev Communications. 2014. Vol. 24. No. 2. pp. 119-121.
GOST all authors (up to 50) Copy
Kravchenko A. N., Gazieva G. A., Vasilevskii S. V., Nelyubina Y. V. Cascade synthesis of the first imidazo[4,5-e]-thiazolo[2,3-c][1,2,4]triazine derivative // Mendeleev Communications. 2014. Vol. 24. No. 2. pp. 119-121.
RIS
 | 
Cite this
RIS Copy
TY - JOUR
DO - 10.1016/j.mencom.2014.03.019
UR - https://mendcomm.colab.ws/publications/10.1016/j.mencom.2014.03.019
TI - Cascade synthesis of the first imidazo[4,5-e]-thiazolo[2,3-c][1,2,4]triazine derivative
T2 - Mendeleev Communications
AU - Kravchenko, Angelina Nikolaevna
AU - Gazieva, Galina Anatol'evna
AU - Vasilevskii, Sergei Vitalyevich
AU - Nelyubina, Yulia Vladimirovna
PY - 2014
DA - 2014/02/21
PB - Mendeleev Communications
SP - 119-121
IS - 2
VL - 24
ER -
BibTex
 | 
Cite this
BibTex (up to 50 authors) Copy
@article{2014_Kravchenko,
author = {Angelina Nikolaevna Kravchenko and Galina Anatol'evna Gazieva and Sergei Vitalyevich Vasilevskii and Yulia Vladimirovna Nelyubina},
title = {Cascade synthesis of the first imidazo[4,5-e]-thiazolo[2,3-c][1,2,4]triazine derivative},
journal = {Mendeleev Communications},
year = {2014},
volume = {24},
publisher = {Mendeleev Communications},
month = {Feb},
url = {https://mendcomm.colab.ws/publications/10.1016/j.mencom.2014.03.019},
number = {2},
pages = {119--121},
doi = {10.1016/j.mencom.2014.03.019}
}
MLA
Cite this
MLA Copy
Kravchenko, Angelina Nikolaevna, et al. “Cascade synthesis of the first imidazo[4,5-e]-thiazolo[2,3-c][1,2,4]triazine derivative.” Mendeleev Communications, vol. 24, no. 2, Feb. 2014, pp. 119-121. https://mendcomm.colab.ws/publications/10.1016/j.mencom.2014.03.019.

Abstract

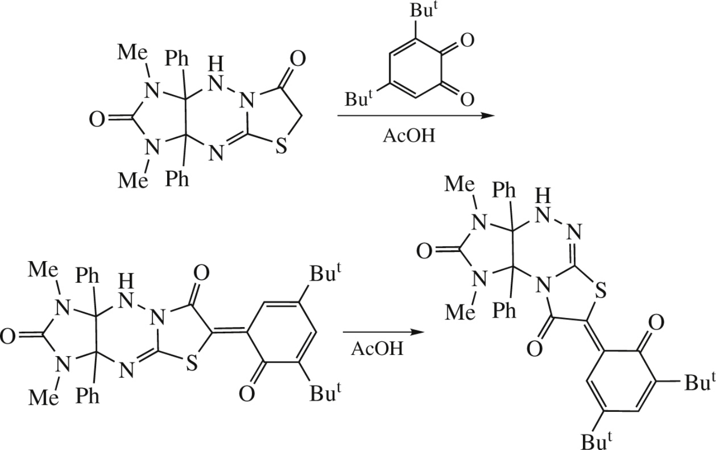
(Z)-7-(3,5-Di-tert-butyl-6-oxocyclohexa-2,4-dien-1-ylidene)-1,3-dimethyl-3a,9a-diphenyl-1,3a,4,9a-tetrahydroimidazo[4,5-e]thiazolo[2,3-c][1,2,4]triazine-2,8(3H,7H)-dione was obtained by aldol condensation of 3,5-di-tert-butyl-1,2-benzoquinone with 1,3-dimethyl-3a,9a-diphenyl-3,3a,9,9a-tetrahydroimidazo[4,5-e]thiazolo[3,2-b][1,2,4]triazine-2,7(1H,6H)-dione followed by intramolecular thiazole ring-opening/closing in the condensation primary adduct.

References

1.
D. I. Trepanier and P. E. Krieger, US Patent, 3641019, C07D, 1968.(Chem. Abstr., 1972, 76, 127024).
2.
10.1016/j.mencom.2014.03.019_bib0010
Abdel-Rahman
Boll. Chim. Farm., 1994
3.
10.1016/j.mencom.2014.03.019_bib0015
Abdel-Rahman
Pharmazie, 1994
4.
Design, Synthesis, Cytoselective Toxicity, Structure–Activity Relationships, and Pharmacophore of Thiazolidinone Derivatives Targeting Drug-Resistant Lung Cancer Cells
Zhou H., Wu S., Zhai S., Liu A., Sun Y., Li R., Zhang Y., Ekins S., Swaan P.W., Fang B., Zhang B., Yan B.
Journal of Medicinal Chemistry, 2008
5.
Synthesis and evaluation of compounds that induce readthrough of premature termination codons
Jung M.E., Ku J., Du L., Hu H., Gatti R.A.
Bioorganic and Medicinal Chemistry Letters, 2011
7.
In vitro antiproliferative activity against human colon cancer cell lines of representative 4-thiazolidinones. Part I
Ottanà R., Carotti S., Maccari R., Landini I., Chiricosta G., Caciagli B., Vigorita M.G., Mini E.
Bioorganic and Medicinal Chemistry Letters, 2005
8.
Vasilevskii S.V., Nelyubina Y.V., Kolotyrkina N.G., Belyakov P.A., Kulikova L.B., Kravchenko A.N.
Mendeleev Communications, 2010
9.
Synthesis of New Imidazo[4,5-e][1,3]thiazolo-[3,2-b][1,2,4]triazine Derivatives
Gazieva G.A., Serkov S.A., Sigai N.V., Kostikova N.N., Nelyubina Y.V., Shishkova E.A., Kravchenko A.N.
Chemistry of Heterocyclic Compounds, 2013
10.
K. T. Finley, in The Chemistry of the Quinonoid Compounds, eds. S. Patai and Z. Rappoport, John Wiley & Sons, New York, 1988, vol. 2, p. 636.
12.
New method for the synthesis of β-tropolones: Structures of condensation products of o-quinones with 2-methylquinolines and the mechanism of their formation
Minkin V.I., Aldoshin S.M., Komissarov V.N., Dorogan I.V., Sayapin Y.A., Tkachev V.V., Starikov A.G.
Russian Chemical Bulletin, 2006
13.
Synthesis, structure, and photoisomerization of derivatives of 2-(2-quinolyl)-1,3-tropolones prepared by the condensation of 2-methylquinolines with 3,4,5,6-tetrachloro-1,2-benzoquinone
Sayapin Y.A., Duong B.N., Komissarov V.N., Dorogan I.V., Makarova N.I., Bondareva I.O., Tkachev V.V., Shilov G.V., Aldoshin S.M., Minkin V.I.
Tetrahedron, 2010
14.
New 2-(benzothiazol-2-yl)-1,3-tropolones derived from 3,4,5,6-tetrachloro-1,2-benzoquinone
Bondareva I.O., Sayapin Y.A., Komissarov V.N., Tkachev V.V., Shilov G.V., Aldoshin S.M., Minkin V.I.
Russian Chemical Bulletin, 2011
15.
Intramolecular S···O chalcogen bond in thioindirubin
Shishkin O.V., Omelchenko I.V., Kalyuzhny A.L., Paponov B.V.
Structural Chemistry, 2010
16.
Photoisomerization of quinolin-2-yl derivatives of β-tropolone
Makarova N.I., Metelitsa A.V., Bezuglyi S.O., Sayapin Y.A., Komissarov V.N., Starikov A.G., Korobov M.S., Borodkin G.S., Starikova Z.A., Antipin M.Y., Minkin V.I.
Russian Chemical Bulletin, 2006
17.
10.1016/j.mencom.2014.03.019_bib0085
Komissarov
Russ. J. Org. Chem., 1995
18.
Vasilevskii S.V., Belyakov P.A., Gazieva G.A., Nelyubina Y.V., Kolotyrkina N.G., Kravchenko A.N.
Mendeleev Communications, 2010
19.
Sigachev A.S., Kravchenko A.N., Lyssenko K.A., Belyakov P.A., Lebedev O.V., Makhova N.N.
Mendeleev Communications, 2003
20.
A short history of SHELX
Sheldrick G.M.
Acta Crystallographica Section A Foundations of Crystallography, 2007